第53页
- 第1页
- 第2页
- 第3页
- 第4页
- 第5页
- 第6页
- 第7页
- 第8页
- 第9页
- 第10页
- 第11页
- 第12页
- 第13页
- 第14页
- 第15页
- 第16页
- 第17页
- 第18页
- 第19页
- 第20页
- 第21页
- 第22页
- 第23页
- 第24页
- 第25页
- 第26页
- 第27页
- 第28页
- 第29页
- 第30页
- 第31页
- 第32页
- 第33页
- 第34页
- 第35页
- 第36页
- 第37页
- 第38页
- 第39页
- 第40页
- 第41页
- 第42页
- 第43页
- 第44页
- 第45页
- 第46页
- 第47页
- 第48页
- 第49页
- 第50页
- 第51页
- 第52页
- 第53页
- 第54页
- 第55页
- 第56页
- 第57页
- 第58页
- 第59页
- 第60页
- 第61页
- 第62页
- 第63页
- 第64页
- 第65页
- 第66页
- 第67页
- 第68页
- 第69页
- 第70页
- 第71页
- 第72页
- 第73页
- 第74页
- 第75页
- 第76页
- 第77页
- 第78页
- 第79页
- 第80页
- 第81页
- 第82页
- 第83页
- 第84页
- 第85页
- 第86页
- 第87页
5. 看图列式并计算。

(1)
一共要晒几件?
$□ ◯ □ = □$(件)
(2)
$□ ◯ □ ◯ □ = □$(只)
(1)
一共要晒几件?
$□ ◯ □ = □$(件)
(2)
$□ ◯ □ ◯ □ = □$(只)
答案:
5.
(1)7+2 9
(2)4+5-3 6
(1)7+2 9
(2)4+5-3 6
6. $□$里最小可以填几?
$10 - □ < 4$ $5 + □ > 6$ $□ + 2 > 5$ $□ - 4 > 3$
$4 + □ > 7$ $8 - □ < 3$ $□ + 5 > 7$ $8 - □ < 6$
$10 - □ < 4$ $5 + □ > 6$ $□ + 2 > 5$ $□ - 4 > 3$
$4 + □ > 7$ $8 - □ < 3$ $□ + 5 > 7$ $8 - □ < 6$
答案:
6.7 2 4 8 4 6 3 3
7. 看图列式并计算。

公共汽车从人民路站发车时,车上有几人?
$□ ◯ □ ◯ □ = □$(
公共汽车从人民路站发车时,车上有几人?
$□ ◯ □ ◯ □ = □$(
人
)
答案:
7.10-6+2 6 人
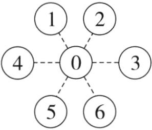
8. 把$0$、$1$、$2$、$3$、$4$、$5$、$6$填在$◯$里,使每条线上的三个数相加的得数相等。

每个数只能用$1$次。
每个数只能用$1$次。
答案:
8.(答案不唯一)
8.(答案不唯一)
查看更多完整答案,请扫码查看