第49页
- 第1页
- 第2页
- 第3页
- 第4页
- 第5页
- 第6页
- 第7页
- 第8页
- 第9页
- 第10页
- 第11页
- 第12页
- 第13页
- 第14页
- 第15页
- 第16页
- 第17页
- 第18页
- 第19页
- 第20页
- 第21页
- 第22页
- 第23页
- 第24页
- 第25页
- 第26页
- 第27页
- 第28页
- 第29页
- 第30页
- 第31页
- 第32页
- 第33页
- 第34页
- 第35页
- 第36页
- 第37页
- 第38页
- 第39页
- 第40页
- 第41页
- 第42页
- 第43页
- 第44页
- 第45页
- 第46页
- 第47页
- 第48页
- 第49页
- 第50页
- 第51页
- 第52页
- 第53页
- 第54页
- 第55页
- 第56页
- 第57页
- 第58页
- 第59页
- 第60页
- 第61页
- 第62页
- 第63页
- 第64页
- 第65页
- 第66页
- 第67页
- 第68页
- 第69页
- 第70页
- 第71页
- 第72页
- 第73页
- 第74页
- 第75页
- 第76页
- 第77页
- 第78页
- 第79页
- 第80页
- 第81页
- 第82页
- 第83页
- 第84页
- 第85页
- 第86页
- 第87页
5. 在$◯$里填上“$>$”“$<$”或“$=$”。
$\begin{array}{ccc}8-3+2 ◯ 10 & 2+8-6 ◯ 5 & 10-4+1 ◯ 6 \\5-2+6 ◯ 9 & 8+1-7 ◯ 3 & 4+2-5 ◯ 0$
$\end{array}$
$\begin{array}{ccc}8-3+2 ◯ 10 & 2+8-6 ◯ 5 & 10-4+1 ◯ 6 \\5-2+6 ◯ 9 & 8+1-7 ◯ 3 & 4+2-5 ◯ 0$
答案:
5.< > = < >
6. 看图列式并计算。

(1)
$2+□+□=□ \text { (只) }$
(2)
$7+□-□=□ \text { (辆) }$
$$
(3)
$8-□+□=□ \text { (只) }$
(4)

$□-□+□=□ \text { (只) }$
(1)
$2+□+□=□ \text { (只) }$
(2)
$7+□-□=□ \text { (辆) }$
(3)
$8-□+□=□ \text { (只) }$
(4)
$□-□+□=□ \text { (只) }$
答案:
6.
(1)2 4 8
(2)2 3 6
(3)4 2 6
(4)5 1 4 8
(1)2 4 8
(2)2 3 6
(3)4 2 6
(4)5 1 4 8
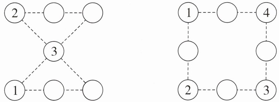
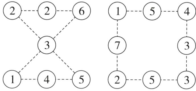
7. 在$◯$里填上合适的数,使每条线上的三个数加起来都是 10。

答案:
7.
7.
查看更多完整答案,请扫码查看