2025年暑假作业山东美术出版社高二化学人教版
注:目前有些书本章节名称可能整理的还不是很完善,但都是按照顺序排列的,请同学们按照顺序仔细查找。练习册 2025年暑假作业山东美术出版社高二化学人教版 答案主要是用来给同学们做完题方便对答案用的,请勿直接抄袭。
(1)①
②
(2)
(3)
(4)①
②
羟基
;加成反应
②
浓硫酸,加热
;碳碳双键
(2)
C₇H₁₀O
;O>C>H
;5
(3)
AC
(4)①
${C6H5CH3 + Cl2 \xrightarrow{光照} C6H5CH2Cl + HCl}$
②
${C6H5CH2Br}$
答案:
(1)①羟基;加成反应
②浓硫酸,加热;碳碳双键
(2)C₇H₁₀O;O>C>H;5
(3)AC
(4)①${C6H5CH3 + Cl2 ->[光照] C6H5CH2Cl + HCl}$
②${C6H5CH2Br}$
(1)①羟基;加成反应
②浓硫酸,加热;碳碳双键
(2)C₇H₁₀O;O>C>H;5
(3)AC
(4)①${C6H5CH3 + Cl2 ->[光照] C6H5CH2Cl + HCl}$
②${C6H5CH2Br}$
3 真题体验
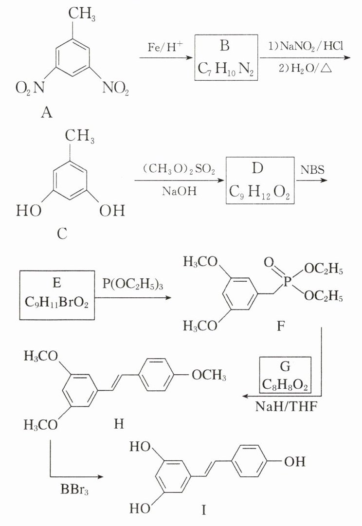
1. (2024·全国甲卷) 白藜芦醇 (化合物 I) 具有抗肿瘤、抗氧化、消炎等功效。以下是某课题组合成化合物 I 的路线。

回答下列问题:
(1) A 中的官能团名称为 ____。
(2) B 的结构简式为 ____。
(3) 由 C 生成 D 的反应类型为 ____。
(4) 由 E 生成 F 的化学方程式为 ____。
(5) 已知 G 可以发生银镜反应,G 的化学名称为 ____。
(6) 选用一种鉴别 H 和 I 的试剂并描述实验现象 ____。
(7) I 的同分异构体中,同时满足下列条件的共有 ____ 种 (不考虑立体异构)。
① 含有手性碳 (连有 4 个不同的原子或基团的碳为手性碳);② 含有两个苯环;③ 含有两个酚羟基;④ 可发生银镜反应。
1. (2024·全国甲卷) 白藜芦醇 (化合物 I) 具有抗肿瘤、抗氧化、消炎等功效。以下是某课题组合成化合物 I 的路线。
回答下列问题:
(1) A 中的官能团名称为 ____。
(2) B 的结构简式为 ____。
(3) 由 C 生成 D 的反应类型为 ____。
(4) 由 E 生成 F 的化学方程式为 ____。
(5) 已知 G 可以发生银镜反应,G 的化学名称为 ____。
(6) 选用一种鉴别 H 和 I 的试剂并描述实验现象 ____。
(7) I 的同分异构体中,同时满足下列条件的共有 ____ 种 (不考虑立体异构)。
① 含有手性碳 (连有 4 个不同的原子或基团的碳为手性碳);② 含有两个苯环;③ 含有两个酚羟基;④ 可发生银镜反应。
答案:
$(1)$硝基
$(2)$
$(3)$取代反应
$(4)$

$(5)$对羟基苯甲醛
$(6)$ 试剂为$FeCl_3$溶液,取少量 两种试剂于试管中,分别加入$FeCl_3$溶液,溶液呈紫色的 为试剂为$I,$无明显现象的试剂为$H$
$(7)9$
$(1)$硝基
$(2)$
$(3)$取代反应
$(4)$
$(5)$对羟基苯甲醛
$(6)$ 试剂为$FeCl_3$溶液,取少量 两种试剂于试管中,分别加入$FeCl_3$溶液,溶液呈紫色的 为试剂为$I,$无明显现象的试剂为$H$
$(7)9$
2. (2024·新课标卷) 四氟咯草胺 (化合物 G) 是一种新型除草剂,可有效控制稻田杂草。G 的一条合成路线如下 (略去部分试剂和条件,忽略立体化学)。


回答下列问题:
(1) 反应①的反应类型为
(6) G 中手性碳原子是
(7) 化合物 H 是 B 的同分异构体,具有苯环结构,核磁共振氢谱中显示为四组峰,且可以发生已知反应Ⅱ。则 H 的可能结构是 ____。
回答下列问题:
(1) 反应①的反应类型为
取代反应
;加入$ \mathrm{K}_2\mathrm{CO}_3 $的作用是 吸收反应生成的HCl,促进反应进行
。(2) D 分子中采用$ \mathrm{sp}^3 $杂化的碳原子数是 5
。(3) 对照已知反应Ⅰ,反应③不使用$ (\mathrm{C}_2\mathrm{H}_5)_3\mathrm{N} $也能进行,原因是 D分子中含有叔胺结构,可吸收反应生成的HCl
。(4) E 中含氧官能团名称是 酯基、羰基
。(5) F 的结构简式是 ____;反应⑤分两步进行,第一步产物的分子式为$ \mathrm{C}_{15}\mathrm{H}_{18}\mathrm{F}_3\mathrm{NO}_4,$其结构简式是 ____。(6) G 中手性碳原子是
4
(写出标号)。(7) 化合物 H 是 B 的同分异构体,具有苯环结构,核磁共振氢谱中显示为四组峰,且可以发生已知反应Ⅱ。则 H 的可能结构是 ____。
答案:
(1)取代反应;吸收反应生成的HCl,促进反应进行
(2)5
(3)D分子中含有叔胺结构,可吸收反应生成的HCl
(4)酯基、羰基
(5)
(6)4
(7)
(1)取代反应;吸收反应生成的HCl,促进反应进行
(2)5
(3)D分子中含有叔胺结构,可吸收反应生成的HCl
(4)酯基、羰基
(5)
(6)4
(7)
查看更多完整答案,请扫码查看