第10页
- 第1页
- 第2页
- 第3页
- 第4页
- 第5页
- 第6页
- 第7页
- 第8页
- 第9页
- 第10页
- 第11页
- 第12页
- 第13页
- 第14页
- 第15页
- 第16页
- 第17页
- 第18页
- 第19页
- 第20页
- 第21页
- 第22页
- 第23页
- 第24页
- 第25页
- 第26页
- 第27页
- 第28页
- 第29页
- 第30页
- 第31页
- 第32页
- 第33页
- 第34页
- 第35页
- 第36页
- 第37页
- 第38页
- 第39页
- 第40页
- 第41页
- 第42页
- 第43页
- 第44页
- 第45页
- 第46页
- 第47页
- 第48页
- 第49页
- 第50页
- 第51页
- 第52页
- 第53页
- 第54页
- 第55页
- 第56页
- 第57页
- 第58页
- 第59页
- 第60页
- 第61页
- 第62页
- 第63页
- 第64页
- 第65页
- 第66页
- 第67页
- 第68页
- 第69页
- 第70页
- 第71页
- 第72页
- 第73页
- 第74页
- 第75页
- 第76页
- 第77页
- 第78页
- 第79页
5.(自贡市中考)某物体从地面上某一点出发沿直线运动,其s-t图像如图所示,关于物体的运动情况,下列说法错误的是(

A.物体在6s内运动的路程为15m
B.物体在前2s内和最后2s内的速度相等
C.物体在2~4s内处于静止状态
D.物体在6s内的平均速度为2.5m/s
B
)A.物体在6s内运动的路程为15m
B.物体在前2s内和最后2s内的速度相等
C.物体在2~4s内处于静止状态
D.物体在6s内的平均速度为2.5m/s
答案:
5.B
6. 小明想测量无锡地铁的运行速度。他测得地铁从堰桥站出发到达锡北运河站的时间为2min,在手机中的“百度地图”上截取了一张地图(如图所示),用刻度尺测得地图上两站间的距离为

2.00
cm,若地图上1cm等于实际路程1km,则地铁在两站之间运行的平均速度为60
km/h。
答案:
6.2.00 60
7. 在测量纸锥下落速度的实验中,小明用每隔0.5s拍摄1次的相机,拍得如图所示的照片,右侧为纸锥从E到F过程的放大图。

(1)纸锥从A运动到D的时间是
(2)纸锥从A运动到D的过程属于
(3)从E到F过程中,纸锥运动的平均速度是
(4)小组间交流时,发现不同小组测得纸锥下落的最大速度不同,请你猜想影响最大速度的因素可能是
(1)纸锥从A运动到D的时间是
1.5
s;(2)纸锥从A运动到D的过程属于
变速
(选填“匀速”或“变速”)直线运动,判断的依据是纸锥从 A 运动到 D 的过程中,在相同的时间内通过的路程越来越大
;(3)从E到F过程中,纸锥运动的平均速度是
0.4
m/s,A到F的平均速度小于
(选填“大于”“等于”或“小于”)E到F的平均速度;(4)小组间交流时,发现不同小组测得纸锥下落的最大速度不同,请你猜想影响最大速度的因素可能是
纸锥的横截面积
(写出一个影响因素即可)。
答案:
7.
(1)1.5
(2)变速 纸锥从 A 运动到 D 的过程中,在相同的时间内通过的路程越来越大
(3)0.4 小于
(4)纸锥的横截面积
(1)1.5
(2)变速 纸锥从 A 运动到 D 的过程中,在相同的时间内通过的路程越来越大
(3)0.4 小于
(4)纸锥的横截面积
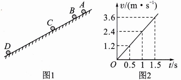
8.【科学探究】在“测量物体运动的平均速度”实验中:

(1)小球从A处沿斜面由静止开始滚下,频闪照相机记录了小球在相同时间内通过的路程,如图1所示,小球在做
(2)为进一步探究小球在斜面上运动的速度与时间的关系,根据所测数据作出了v-t图像,如图2所示,假设斜面足够长,小球从A处滚下,经过2s到达E点时的速度为
(3)小球在运动过程中,经过路程$s_{AB}中点时的速度为v_{1}$,经过时间$t_{AB}中点时的速度为v_{2}$,则$v_{1}$
(4)在不更换斜面的前提下,要使小球的平均速度增大,可采取的方法有
(1)小球从A处沿斜面由静止开始滚下,频闪照相机记录了小球在相同时间内通过的路程,如图1所示,小球在做
加速
(选填“加速”“减速”或“匀速”)运动。(2)为进一步探究小球在斜面上运动的速度与时间的关系,根据所测数据作出了v-t图像,如图2所示,假设斜面足够长,小球从A处滚下,经过2s到达E点时的速度为
4.8
m/s。(3)小球在运动过程中,经过路程$s_{AB}中点时的速度为v_{1}$,经过时间$t_{AB}中点时的速度为v_{2}$,则$v_{1}$
>
(选填“>”“<”或“=”)$v_{2}$。(4)在不更换斜面的前提下,要使小球的平均速度增大,可采取的方法有
增大斜面的倾斜程度
。
答案:
8.
(1)加速
(2)4.8
(3)>
(4)增大斜面的倾斜程度
(1)加速
(2)4.8
(3)>
(4)增大斜面的倾斜程度
查看更多完整答案,请扫码查看