2025年暑假作业贵州人民出版社三年级数学人教版
注:目前有些书本章节名称可能整理的还不是很完善,但都是按照顺序排列的,请同学们按照顺序仔细查找。练习册 2025年暑假作业贵州人民出版社三年级数学人教版 答案主要是用来给同学们做完题方便对答案用的,请勿直接抄袭。
答案:
答案:
二、列竖式计算。(带*的题要验算)
$ 88 ÷ 2 $=
$ *48 ÷ 2 $=
(竖式略,验算略)
$ 88 ÷ 2 $=
44
$ *63 ÷ 3 $=21
$ 72 ÷ 6 $=12
$ *48 ÷ 2 $=
24
$ 44 ÷ 4 $=11
$ 36 ÷ 3 $=12
商
除数
答案:
44 21 12 24 11 12(竖式略,验算略) 商 除数
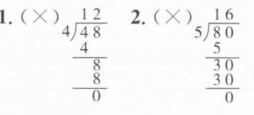
三、下面的计算对吗?对的画“√”,错的画“×”并改正。


答案:
查看更多完整答案,请扫码查看