7. 如图所示,坐在船中的人用力向前推动另一艘船时,发现自己坐的船______(选填“前进”“后退”或“不动”),说明力可以改变物体的______,还可说明物体间力的作用是______。

答案:
后退 运动状态 相互的
8. 一根弹簧竖直挂在支架上,当在下方悬挂重力为 $0.5\ \text{N}$ 的钩码时,弹簧长度为 $10\ \text{cm}$,钩码受到的拉力是由______形变产生的。如果撤去钩码,改用 $2.5\ \text{N}$ 的力沿竖直方向向下拉弹簧(仍在弹性限度内),那么弹簧长度将会______(选填“大于”“小于”或“等于”)$10\ \text{cm}$。
答案:
弹簧 大于
9. 大量的生活经验告诉我们,质量不同的物体所受的重力不同。某实验小组的同学们想通过实验探究物体重力的大小与它的质量的关系,得到的数据如下表所示。
|质量 $m/\text{kg}$| $0.1$ | $0.2$ | $0.3$ | $0.4$ | $0.5$ | $0.6$ | $0.7$ |
|重力 $G/\text{N}$| $0.98$ | $1.96$ | $2.94$ | $3.92$ | $4.90$ | $5.88$ | |
(1)实验中用到的测量器材有:______和______。
(2)分析上表数据可知:质量为 $0.7\ \text{kg}$ 的物体受到的重力是______$\text{N}$。
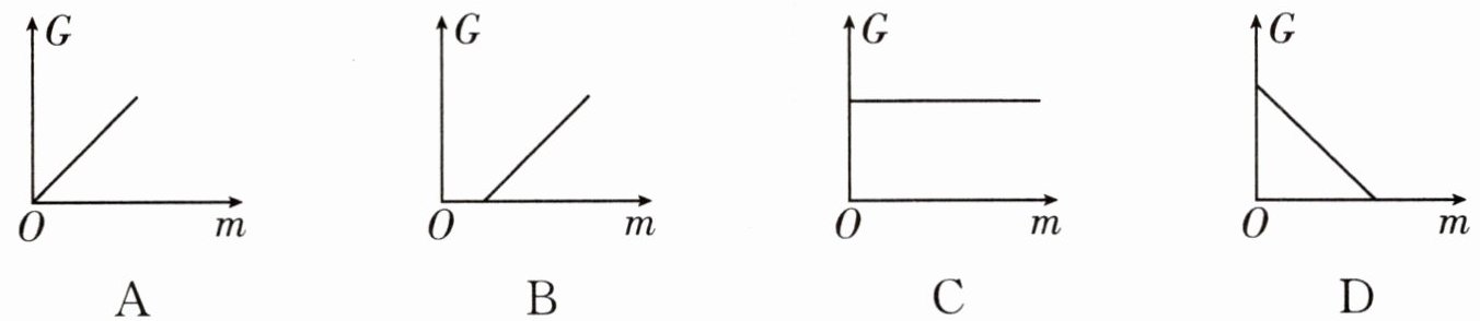
(3)以下四个图像中,符合物体重力的大小与其质量的关系的是______。由此得出实验结论:物体所受的重力跟它的质量成______。

|质量 $m/\text{kg}$| $0.1$ | $0.2$ | $0.3$ | $0.4$ | $0.5$ | $0.6$ | $0.7$ |
|重力 $G/\text{N}$| $0.98$ | $1.96$ | $2.94$ | $3.92$ | $4.90$ | $5.88$ | |
(1)实验中用到的测量器材有:______和______。
(2)分析上表数据可知:质量为 $0.7\ \text{kg}$ 的物体受到的重力是______$\text{N}$。
(3)以下四个图像中,符合物体重力的大小与其质量的关系的是______。由此得出实验结论:物体所受的重力跟它的质量成______。
答案:
(1) 托盘天平 弹簧测力计
(2) 6.86
(3) A 正比
(1) 托盘天平 弹簧测力计
(2) 6.86
(3) A 正比
查看更多完整答案,请扫码查看