第20页
- 第1页
- 第2页
- 第3页
- 第4页
- 第5页
- 第6页
- 第7页
- 第8页
- 第9页
- 第10页
- 第11页
- 第12页
- 第13页
- 第14页
- 第15页
- 第16页
- 第17页
- 第18页
- 第19页
- 第20页
- 第21页
- 第22页
- 第23页
- 第24页
- 第25页
- 第26页
- 第27页
- 第28页
- 第29页
- 第30页
- 第31页
- 第32页
- 第33页
- 第34页
- 第35页
- 第36页
- 第37页
- 第38页
- 第39页
- 第40页
- 第41页
- 第42页
- 第43页
- 第44页
- 第45页
- 第46页
- 第47页
- 第48页
- 第49页
- 第50页
- 第51页
- 第52页
- 第53页
- 第54页
- 第55页
- 第56页
- 第57页
- 第58页
- 第59页
- 第60页
- 第61页
- 第62页
- 第63页
- 第64页
- 第65页
- 第66页
- 第67页
- 第68页
1. 在□里填上合适的数。
(45 - 5)×8 = 45×□ - 5×□ 370×17 + 370×3 = 370×(□ + □)
78×101 - 78 = 78×(□ - □) 104×58 = 100×□ + □×58
(45 - 5)×8 = 45×□ - 5×□ 370×17 + 370×3 = 370×(□ + □)
78×101 - 78 = 78×(□ - □) 104×58 = 100×□ + □×58
答案:
8@@8@@17@@3@@101@@1@@58@@4
2. 在〇里填上“>”“<”或“=”。
85×18 + 85×2 〇 85×18×2 39×19 〇 39×20 - 39
20×(15×3) 〇 20×(15 + 3) 67×99 〇 67×100 - 67
(40 - 4)×25 〇 40×25 - 4×25 91×30 + 1 〇 91×31 - 91
85×18 + 85×2 〇 85×18×2 39×19 〇 39×20 - 39
20×(15×3) 〇 20×(15 + 3) 67×99 〇 67×100 - 67
(40 - 4)×25 〇 40×25 - 4×25 91×30 + 1 〇 91×31 - 91
答案:
<@@=@@>@@=@@=@@>
3. 用简便方法计算下面各题。
37×102 - 37×2 (80 - 8)×125 45×98
37×102 - 37×2 (80 - 8)×125 45×98
答案:
$37×102 - 37×2 =37×(102 - 2) =37×100=3700$
$(80 - 8)×125 =80×125 - 8×125 =10000-1000 =9000$
$45×98=45×(100 - 2) =45×100 - 45×2 =4500 - 90 =4410$
$(80 - 8)×125 =80×125 - 8×125 =10000-1000 =9000$
$45×98=45×(100 - 2) =45×100 - 45×2 =4500 - 90 =4410$
4. [新情境·人文景观]张家界国家森林公园的门票每张227元,九寨沟为全国重点风景名胜区,有“童话世界”之誉,旺季门票每张190元。买3张张家界国家森林公园的门票比买3张九寨沟景区旺季门票贵多少元?

答案:
$(227 - 190)×3 = 111$(元)
答:买3张张家界国家森林公园的门票比买3张九寨沟景区旺季门票贵111元。
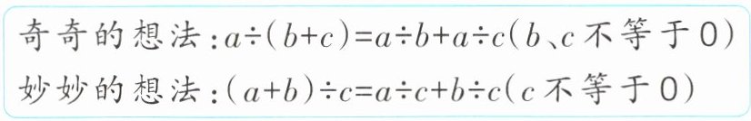
5. (聊城茌平区期末)在学习了乘法分配律后,奇奇和妙妙总结出了以下两种不同的“除法分配律”,你赞同谁的想法呢?请你举例验证。

答案:
奇奇:令$a = 60$,$b = 2$,$c = 3$,
$a÷(b + c)=12$
$a÷b + a÷c = 50$
所以$a÷(b + c)≠a÷b + a÷c$,奇奇的想法错误。
妙妙:令$a = 20$,$b = 30$,$c = 5$
$(a + b)÷c = 10$
$a÷c + b÷c = 10$
所以$(a + b)÷c = a÷c + b÷c$,妙妙的想法正确,我赞同妙妙的想法。
$a÷(b + c)=12$
$a÷b + a÷c = 50$
所以$a÷(b + c)≠a÷b + a÷c$,奇奇的想法错误。
妙妙:令$a = 20$,$b = 30$,$c = 5$
$(a + b)÷c = 10$
$a÷c + b÷c = 10$
所以$(a + b)÷c = a÷c + b÷c$,妙妙的想法正确,我赞同妙妙的想法。
查看更多完整答案,请扫码查看