1. 物质由 ______ 态变成 ______ 态的过程叫熔化,此过程要 ______(填“吸热”或“放热”);物质由 ______ 态变成 ______ 态的过程叫凝固,此过程要 ______(填“吸热”或“放热”)。
答案:
固
液
吸热
液
固
放热
液
吸热
液
固
放热
2. 固体分晶体和非晶体,晶体和非晶体的重要区别是 ______,同种晶体的熔点和凝固点 ______;在①松香、②萘、③冰、④玻璃、⑤铁、⑥蜂蜡中,属于晶体的是 ______(填序号),它们都有固定的 ______。
答案:
晶体有熔点,非晶体没有熔点
相同
②③⑤
熔点
相同
②③⑤
熔点
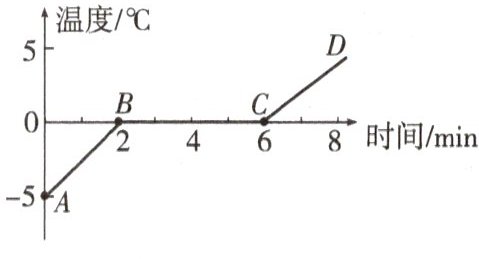
3. 如图所示是某种固体加热变成液态时的温度随时间变化的曲线图,观察图像并回答:

(1)固体在开始加热时的温度为 ______,固体的熔点为 ______℃。
(2)这种物质在固态时的名称为 ______。
(3)图中 BC 段表示物质处于 ______ 状态,物质的熔化过程共持续了 ______min。
(1)固体在开始加热时的温度为 ______,固体的熔点为 ______℃。
(2)这种物质在固态时的名称为 ______。
(3)图中 BC 段表示物质处于 ______ 状态,物质的熔化过程共持续了 ______min。
答案:
-5℃
0
冰
固液共存
4
-5℃
0
冰
固液共存
4
4. 把盛有碎冰块的大试管插入杯里的碎冰块中,用酒精灯加热,当烧杯中的冰块有大半熔化时,试管中的冰 ______(填“熔化”或“不熔化”)。由此可知,晶体熔化必须满足两个条件,一是要达到 ______,二是要继续 ______ 。
答案:
冰融化
熔点
吸热
熔点
吸热
5. 用湿的抹布去擦冰箱的冷冻室时,感到很费劲,抹布不时被粘住,原因是 ______。
答案:
抹布上的
水遇到温度很低的冷冻室内壁放热、凝固
水遇到温度很低的冷冻室内壁放热、凝固
6. 用电烙铁对收音机断开的电路进行焊接的过程中,焊锡发生的变化是 ( )
A.熔化
B.先熔化后凝固
C.凝固
D.先凝固后熔化
A.熔化
B.先熔化后凝固
C.凝固
D.先凝固后熔化
答案:
B
7. 在水凝固成冰的过程中,下列说法中正确的是 ( )
A.温度不变,从外界吸收热量
B.温度降低,向外界放出热量
C.温度升高,从外界吸收热量
D.温度不变,向外界放出热量
A.温度不变,从外界吸收热量
B.温度降低,向外界放出热量
C.温度升高,从外界吸收热量
D.温度不变,向外界放出热量
答案:
D
8. 钨的熔点是$3410\;^{\circ}C$,那么钨在$3410\;^{\circ}C$时处于下面哪种状态 ( )
A.固态
B.固液共存态
C.液态
D.以上三种情况都有可能
A.固态
B.固液共存态
C.液态
D.以上三种情况都有可能
答案:
D
9. 如图所示,表示石蜡凝固的是 ( )

答案:
A
查看更多完整答案,请扫码查看