2025年核心素养学练评五年级数学上册人教版
注:目前有些书本章节名称可能整理的还不是很完善,但都是按照顺序排列的,请同学们按照顺序仔细查找。练习册 2025年核心素养学练评五年级数学上册人教版 答案主要是用来给同学们做完题方便对答案用的,请勿直接抄袭。
第1页
- 第1页
- 第2页
- 第3页
- 第4页
- 第5页
- 第6页
- 第7页
- 第8页
- 第9页
- 第10页
- 第11页
- 第12页
- 第13页
- 第14页
- 第15页
- 第16页
- 第17页
- 第18页
- 第19页
- 第20页
- 第21页
- 第22页
- 第23页
- 第24页
- 第25页
- 第26页
- 第27页
- 第28页
- 第29页
- 第30页
- 第31页
- 第32页
- 第33页
- 第34页
- 第35页
- 第36页
- 第37页
- 第38页
- 第39页
- 第40页
- 第41页
- 第42页
- 第43页
- 第44页
- 第45页
- 第46页
- 第47页
- 第48页
- 第49页
- 第50页
- 第51页
- 第52页
- 第53页
- 第54页
- 第55页
- 第56页
- 第57页
- 第58页
- 第59页
- 第60页
- 第61页
- 第62页
- 第63页
- 第64页
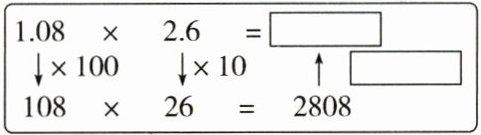
1. 下面是丽丽在计算$1.08×2.6$时的思考过程,请你补充完整。

答案:
1.÷1000 2.808(从下往上)
2. $3.09×0.48$的积是(
四
)位小数,如果用“四舍五人”法保留两位小数,得数是(四
)。
答案:
2.四 1.48
3. 根据$794×98=77812$,填出下面各式的得数。
$79.4×0.98=$(
$79.4×0.98=$(
77.812
) $79.4×980=$(77812
) $7.94×0.98=$(7.7812
)
答案:
3.77.812 77812 7.7812
4. 在$◯$里填上“>”“<”或“=”。
$1.03×0.76◯0.76$ $5.6◯5.6×0.9$ $9.5×1.02◯9.5$
$12.4×0.98◯12.4$ $1.2×45◯45×1.2$ $2.34×10.4◯23.4×1.04$
$1.03×0.76◯0.76$ $5.6◯5.6×0.9$ $9.5×1.02◯9.5$
$12.4×0.98◯12.4$ $1.2×45◯45×1.2$ $2.34×10.4◯23.4×1.04$
答案:
4.> > > < = =
5. 把$7.7681$保留整数约是(
8
),精确到千分位约是(8
)。
答案:
5.8 7.768
6. 根据运算律,在$□$里填上合适的数。
$6.8×2.56=□×□$
$2.5×(1.32×0.4)=□×□×□$
$5.7×3.8+4.3×3.8=(□+□)×□$
$6.8×2.56=□×□$
$2.5×(1.32×0.4)=□×□×□$
$5.7×3.8+4.3×3.8=(□+□)×□$
答案:
6.2.56 6.8 2.5 0.4 1.32 5.7 4.3 3.8
7. 小明从家骑车到学校,要用$0.45$小时,平均每小时行$15$km。小明家到学校的距离是(
6.75
)km。
答案:
7.6.75
8. 某文体商店中书包和笔袋的价格如图,赵老师带了$100$元,打算买3个书包和6个笔袋,赵老师带的钱(

够
)(填“够”或“不够”)。
答案:
8.够
二、判断对错。(对的画“√”,错的画“×”)(5分)
1. 两个小数相乘,积一定是小数。 (
2. $8.3×9.5$的积一定是两位小数。 (
3. $3.6×1.4+3.6×8.6=3.6×(1.4+8.6)$应用了乘法结合律。 (
4. $0.7×0.7$的积用“四舍五人法”保留一位小数约是$0.5$。 (
5. $7.6×0.99=7.6×1-7.6×0.1$ (
1. 两个小数相乘,积一定是小数。 (
×
)2. $8.3×9.5$的积一定是两位小数。 (
√
)3. $3.6×1.4+3.6×8.6=3.6×(1.4+8.6)$应用了乘法结合律。 (
×
)4. $0.7×0.7$的积用“四舍五人法”保留一位小数约是$0.5$。 (
√
)5. $7.6×0.99=7.6×1-7.6×0.1$ (
×
)
答案:
二、1.× 2.√ 3.× 4.√ 5.×
1. 下面各式的积小于$0.68$的是(
A.$0.68×1.01$
B.$0.68×0.99$
C.$0.68×1$
B
)。A.$0.68×1.01$
B.$0.68×0.99$
C.$0.68×1$
答案:
三、1.B
查看更多完整答案,请扫码查看