1.下列有关实验的描述,正确的是

  A.可溶性还原糖鉴定,需要用酒精灯直接加热煮沸才能生成砖红色沉淀

  B.观察植物细胞有丝分裂实验中,需解离染色后漂洗制片

  C.用高浓度NaCl溶液代替蔗糖溶液不能引起细胞质壁分离

  D.叶绿体色素提取实验中,加入碳酸钙是为了防止色素受到破坏

试题详情>>

2.下图为青霉菌在含有葡萄糖和乳糖的培养基中的生长曲线,以下分析错误的是

试题详情>>

高考资源网( www.1010jiajiao.com),中国最大的高考网站,您身边的高考专家。

  A.培养基中糖类为青霉菌提供了碳源和能源

  B.分解乳糖的酶是在乳糖诱导下合成的诱导酶

  C.采用连续培养的方法有助于延长对数期,提高青霉素产量

  D.青霉菌通过酶合成调节避免了细胞内物质和能量的浪费

试题详情>>

3.下列关于绿色植物新陈代谢相关知识的叙述,正确的是

  A.C3植物CO2的固定和还原都需要ATP提供能量

  B.将一植株的叶子去掉一半,将直接影响对矿质养料的吸收

  C.叶子变黄后主要依靠类胡萝卜素实现光能转换为电能

  D.C4植物叶片的维管束鞘细胞内出现淀粉粒

试题详情>>

4.下列有关真核细胞基因的描述,正确的是w.w.w.k.s.5.u.c.o.m

  A.真核细胞基因与基因之间依靠非编码区间隔开来

  B.基因结构中非编码序列是位于编码区上游和下游核苷酸序列

  C.非编码区是DNA上不具有遗传效应的片段

  D.与RNA聚合酶结合位点属于调控遗传信息表达的核苷酸序列

试题详情>>

5.下列关于生态系统的表述正确的是

  A.生态系统的成分与营养结构决定着其自动调节能力的大小

  B.一个生态系统中的最高营养级储存有最多的能量

  C.植物的光合作用和动植物的呼吸作用能完成碳循环

  D.生物圈遭到严重破坏后,可以在人类积极干预下很快恢复到正常状态

试题详情>>

6.化学与生活、社会密切相关,下列说法不正确的是

  A.压缩天然气和液化石油气是清洁燃料,它们的主要成分属于碳氢化合物

  B.臭氧可吸收太阳光中的紫外线,因此臭氧对人体健康有益无害

  C.液氯罐泄漏时,可向出事地点的空气中喷洒石灰水

  D.不锈钢和目前流通的硬币都是合金

试题详情>>

7.有下列四种体系:①)NaHCO3溶液;②KCl溶液;③熔化状态的NaCl;④新制的氯水。其中存在电离平衡的是

  A.①②    B.①④    C.①③④    D.①②④

试题详情>>

8.下列现象或事实可用同一原理解释的是

  A.烧碱和五氧化二磷暴露在空气中变质

  B.活性炭和双氧水使品红试液褪色

  C.明矾、漂白粉分别用于自来水的净化、消毒

  D.葡萄糖和麦芽糖均能发生银镜反应

试题详情>>

9.设NA 为阿伏加德罗常数,下列叙述中正确的是

  A.14g乙烯和丁烯的混合物中总原子数为3 NA

试题详情>>

  B.1 L 0.5 mol/L CuCl2溶液中含有Cu2+0.5 NA

试题详情>>

  C.2.24 L SO2中含有的分子数为0.1 NA

试题详情>>

  D.0.1 mol氯酸钾中含有氯离子数为0.1NA

试题详情>>

10.某密闭容器中进行如下反应:2X(g)+Y(g)高考资源网( www.1010jiajiao.com),中国最大的高考网站,您身边的高考专家。2Z(g),若要使平衡时反应物总物质的量与生成物的总物质的量相等,且用X、Y作反应物,则X、Y的初始物质的量之比的范围应满足

试题详情>>

A.高考资源网( www.1010jiajiao.com),中国最大的高考网站,您身边的高考专家。    B.高考资源网( www.1010jiajiao.com),中国最大的高考网站,您身边的高考专家。    C.高考资源网( www.1010jiajiao.com),中国最大的高考网站,您身边的高考专家。   D.高考资源网( www.1010jiajiao.com),中国最大的高考网站,您身边的高考专家。

试题详情>>

11.A、B、C均为短周期主族元素,它们在周期表中位于相邻的位置,且A、B的原子序数之和等于C的原子序数,则符合上述条件的三种元素的组合共有

  A.4组       B.3组        C.2组       D.1组

试题详情>>

12.镁燃料电池以镁合金作为电池的一极,另一极充入过氧化氢,电解质是酸化的氯化钠溶液,放电时总反应为:Mg+2H++H2O2 = Mg2++2H2O。关于该电池的说法错误的是

  A.镁合金为电源负极,发生氧化反应

  B.电解质溶液中的H+向正极移动

试题详情>>

  C.正极反应为:H2O2+2高考资源网( www.1010jiajiao.com),中国最大的高考网站,您身边的高考专家。 =2高考资源网( www.1010jiajiao.com),中国最大的高考网站,您身边的高考专家。

  D.放电时正极周围溶液的pH升高

试题详情>>

13.美籍华裔科学家钱永键、日本科学家下修村和美国科学家马丁・沙尔菲因在发现和研究绿色荧光蛋白(GFP)方面做出突出贡献而分享了2008年诺贝尔化学奖。经研究发现GFP中的生色基团结构如图所示,下列有关说法中正确的是

试题详情>>

高考资源网( www.1010jiajiao.com),中国最大的高考网站,您身边的高考专家。

  A.该有机物不属于芳香族化合物

  B.1 mol该有机物分子中只有1 mol碳碳双键

  C.该有机物与溴水只能发生加成反应

  D.该有机物不能与稀硫酸反应

试题详情>>

14.重核裂变和轻核聚变是人们获得核能的两个途径,下列说法中正确的是

  A.裂变过程质量增加,聚变过程质量亏损

  B.裂变过程质量亏损,聚变过程质量增加

  C.裂变过程和聚变过程都有质量增加

  D.裂变过程和聚变过程都有质量亏损

试题详情>>

15.固定在水平面上的气缸内封闭一定质量的气体,气缸壁和活塞绝热性能良好,气缸内气体分子问相互作用的势能忽略不计,则以下说法正确的是

试题详情>>

高考资源网( www.1010jiajiao.com),中国最大的高考网站,您身边的高考专家。

  A.使活塞向左移动,气缸内气体分子的平均动能增大

  B.使活塞向左移动,气缸内气体的内能不变

  C.使活塞向右移动,气缸内每个气体分子的动能都减小

  D.使活塞向右移动,气缸内所有气体分子撞击气缸壁的作用力都减小

试题详情>>

16.在抗震救灾中,直升机悬停在空中向地面投放装有救灾物资的箱子,如图所示。假设投放时无风无雨,箱子的初速度可视为零,箱子所受的空气阻力与箱子下落速度的平方成正比,下落过程中箱子始终保持图示状态。则箱子

试题详情>>

高考资源网( www.1010jiajiao.com),中国最大的高考网站,您身边的高考专家。

  A.在下落过程中先做匀加速运动,后做匀速运动

  B.在下落过程中,箱内物体始终处于完全失重状态

  C.在开始下落的一小段时间内,箱内物体对箱子底部的压力逐渐增大

  D.在开始下落的一小段时间内,箱内物体对箱子底部的压力逐渐减小

试题详情>>

17.据美国媒体报道,美国和俄罗斯的两颗通信卫星于2009年2月11日在西伯利亚上空相撞,这是人类有史以来的首次卫星碰撞事件。碰撞发生的地点位于西伯利亚上空490英里处(约790公里),恰好比国际空间站的轨道高270英里(约434公里)。则以下相关说法中正确的是

  A.碰撞后的碎片若受到大气层的阻力作用,轨道半径将变小,则有可能与国际空间站相碰撞

  B.在碰撞轨道上运行卫星的周期比国际空间站的周期小

试题详情>>

  C.发射一颗到碰撞轨道运行的卫星,则发射速度要大于11.2km/s

  D.在同一轨道上,若后面的卫星一旦加速,将与前面的卫星相碰撞

试题详情>>

18.如图所示,一细光束通过玻璃三棱镜折射后分成a、b、c三束单色光,对于三种单色光下列说法正确的是

试题详情>>

高考资源网( www.1010jiajiao.com),中国最大的高考网站,您身边的高考专家。

  A.在真空中a的传播速度最大

  B.在真空中c的波长最大

  C.若分别用这三种单色光做双缝干涉实验,且保持其实验条件不变,则a光产生的干涉条纹间距最大

  D.若用b光照射某金属板能发生光电效应,则用c光照射该金属板也一定发生光电效应

试题详情>>

19.两个简谐波信号在水平弹性绳中相向传播,波长均为2m,波速均为1m/s。t=0时,两个波的前端相距lm,波形如图,则图中各波形对应的时刻t1、t2、t3、t4分别为

试题详情>>

  A.2s,1.5s,1 s,2.5s                       B.2s.1s,1.5s,2.5s

试题详情>>

  C.1s,1.5s,2s,2.5s                        D.1s,2s,1.5s,4s

试题详情>>

20.如图所示,a、b、c、d是某匀强电场中的四个点,它们是一个四边形的四个顶点,ab∥cd,ab⊥bc,2ab=cd=bc=2L,电场线与四边形所在平面平行。已知a点电势为20V,b点电势为24V,d点电势为8V。一个质子经过b点的速度大小为υ0,方向与bc成45°,一段时间后经过c点。不计质子的重力。则

试题详情>>

高考资源网( www.1010jiajiao.com),中国最大的高考网站,您身边的高考专家。

  A.a点电势高于c点电势                   B.场强的方向由a指向c

试题详情>>

  C.质子从b运动到c所用的时间为 高考资源网( www.1010jiajiao.com),中国最大的高考网站,您身边的高考专家。     D.质子从b运动到c,电场力做功为4eV

试题详情>>

21.环型对撞机是研究高能粒子的重要装置。正、负离子由静止经过电压为U的加速器加速后,沿圆环切线方向注入对撞机的真空环状空腔内,环状空腔内存在着与圆环平面垂直的匀强磁场,磁感应强度大小为B。两种带电粒子将被局限在环状空腔内,沿相反方向做半径相等的匀速圆周运动,从而在碰撞区迎面相撞,为维持带电粒子在环状空腔中的匀速圆周运动,下列说法正确的是

试题详情>>

  A.对于给定的加速电压,带电粒子的比荷高考资源网( www.1010jiajiao.com),中国最大的高考网站,您身边的高考专家。越大,磁感应强度B越大

试题详情>>

  B.对于给定的加速电压,带电粒子的比荷高考资源网( www.1010jiajiao.com),中国最大的高考网站,您身边的高考专家。越大,磁感应强度B越小

  C.对于给定的带电粒子,加速电压U越大,粒子运动的周期越小

  D.对于给定的带电粒子,不管加速电压U多大,粒子运动的周期都不变

第Ⅱ卷  (非选择题,共174分)

试题详情>>

22.(18分)

I.(1)用图示的多用电表正确测量了一个10Ω的电阻后,需要继续测量一个阻值大约是3kΩ的电阻,在用红、黑表笔接触这个电阻两端之前,以下哪些操作是必须的,请选择其中有用的,按操作顺序写出:                    

    A.调节调零旋钮使表针指着欧姆零点

    B.用螺丝刀调节表盘下中间部位的调零螺丝,使表针指零

    C.将红表笔和黑表笔接触

    D.把选择开关旋转到“×100Ω位置

    E.把选择开关旋转到“×1kΩ”位置

(2)多用电表指针的位置如图所示,若选择开关处在下面表格中所指的挡位,则相应的读数是多少?请填在表中。

试题详情>>

高考资源网( www.1010jiajiao.com),中国最大的高考网站,您身边的高考专家。

Ⅱ.“验证机械能守恒定律”的实验可以采用如图所示的图甲或乙方案来进行。

  ①比较这两种方案,                (填“甲”或“乙”)方案好些,理由是        

试题详情>>

②如图丙是该实验中得到的一条纸带,测得每两个计数点间的距离如图中所示,已知每两个计数点之间的时间T=0.1s。物体运动的加速度a=          ;该纸带是采用    (填“甲”或“乙”)实验方案得到的。简要写出判断依据                  

试题详情>>

③如图丁是采用(甲)方案时得到的一条纸带,在计算图中N点速度时,几位同学分别用下列不同的方法进行,其中正确的是

试题详情>>

A.高考资源网( www.1010jiajiao.com),中国最大的高考网站,您身边的高考专家。                    B.高考资源网( www.1010jiajiao.com),中国最大的高考网站,您身边的高考专家。

试题详情>>

C.高考资源网( www.1010jiajiao.com),中国最大的高考网站,您身边的高考专家。              D.高考资源网( www.1010jiajiao.com),中国最大的高考网站,您身边的高考专家。

试题详情>>

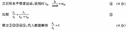
23、(16分)如图所示,AB之间有三条光滑轨道:直道1、曲道2、直角管道3(BC为水平管道,拐角C处圆滑连接),小明想研究小球沿直道l和曲道2下滑的时间关系,老师提示他先研究小球沿直道1和直角管道3下滑的时间关系。

试题详情>>

将小球先后从轨道顶端A处由静止释放,沿直道1滑到轨道末端B用时t1,沿直角管道3滑到B处用时t2。已知小球直径略小于直角管道3的直径,θ=37°,求t1┱t2(sin37°=0.6,COS37°=0.8)。

试题详情>>

24.(18分)如图所示,FI、MN、PQ、HJ四根相互平行的长金属导轨处于同一水平面内,相邻两导轨之间的距离均为L=30cm。长为3L、电阻为R=0.3Ω的金属棒可紧贴四根导轨,沿导轨方向无摩擦的运动。在导轨MN、PQ的左端连接有阻值为R0=0.1Ω的电阻,在金属导轨FI、HJ的右端连接有一对水平放置、间距为d=18cm的平行金属板。除该金属板外,整套装置处于垂直于导轨平面的匀强磁场中,磁感应强度的大小为B=0.4T。用一适当的拉力使金属棒以速率υ=5m/s向右运动,此时金属板间一带电微粒恰好悬浮在两板的正中央。除电阻R和R0外,不计其他电阻,g=10/s2,求:

试题详情>>

(1)带电微粒的比荷高考资源网( www.1010jiajiao.com),中国最大的高考网站,您身边的高考专家。

(2)为维持金属棒的匀速运动,加在金属棒上的拉力的功率。

试题详情>>

25.(20分)在光滑水平面上有一质量为M=1kg的足够长的木板C,在木板左端和离木板左端L=4.5m处各放置一质量均为m=1kg的物块A和B(均可视为质点),两物块与木板间动摩擦因数均为μ=0.2,g取10m/s2。现给A物块一水平向右的初速度υ0=6m/s。求:

试题详情>>

(1)A物块从开始运动到与B物块相碰需多长时间?

(2)若两物块碰后粘合在一起,则B物块将相对木板滑行多远?

试题详情>>

26.(15分)某固体混合物可能由A1、(NH4)2SO4、MgCl2、AlCl3、CuCl2中的一种或几种组成,现对该混合物做如下实验,所得现象和有关数据如图所示(气体体积已折算成标准状况)。

试题详情>>

高考资源网( www.1010jiajiao.com),中国最大的高考网站,您身边的高考专家。

请回答下列问题:

(1)混合物中是否存在CuCl2?        (填“是”或“否”)。

(2)混合物中是否存在(NH4)2SO4?                    (填“是”或“否”),你的判断依据是                                

(3)写出步骤④中发生反应的离子方程式:               

(4)通过计算确定原混合物中是否存在A1Cl3?写出计算推理过程。

 

 

试题详情>>

27.(15分)中学化学中常见的单质、化合物A~N有如下图所示的转化关系。其中G是一种黑色晶体,J是一种红褐色沉淀,N是一种淡黄色固体,且组成N的两种元素形成的简单离子的电子层结构相同。部分反应条件略去。

试题详情>>

高考资源网( www.1010jiajiao.com),中国最大的高考网站,您身边的高考专家。

(1)B的电子式          ,K的分子式        

(2)可以通过               (填实验名称),来检验A中的金属阳离子。

(3)M的溶液显       性,其原因是(用离子方程式解释)                      

(4)反应②的离子方程式:                       ;N、H、F按物质的量之比2┱2┱3发生反应③,写出该反应的化学方程式                 

试题详情>>

28.(14分)某化学学习小组通过查阅有关资料,自己动手实验,制备纳米铁粉。

试题详情>>

[实验原理]

试题详情>>

(1)用硫酸亚铁、草酸两溶液制备草酸亚铁晶体(FeC2O4 ・2H2O,溶解度较小)。该反应的化学方程式是                            

试题详情>>

(2)焙烧草酸亚铁晶体:FeC2O4 ・2H2O高考资源网( www.1010jiajiao.com),中国最大的高考网站,您身边的高考专家。Fe +2CO2↑+2H2O↑

试题详情>>

[操作步骤]

试题详情>>

草酸亚铁晶体的制备:

试题详情>>

I.分别配制1 L l moL/L的FeSO4溶液和1 L 1 mol/L的草酸溶液

试题详情>>

Ⅱ.取等体积的两溶液混合、过滤、洗涤所得沉淀

试题详情>>

Ⅲ.将所得沉淀放入烘箱,在50℃以下烘干

试题详情>>

(3)现有烧杯、量筒、玻璃棒、药匙、滤纸、托盘天平、FeSO4・7H2O、草酸晶体等实验用品和药品,为配制上述两溶液,缺少的仪器有                              

试题详情>>

(4)若配制的FeSO4溶液略现黄色,可能的原因是                         

试题详情>>

(5)如何用pH试纸及必要仪器检验草酸亚铁晶体是否洗净?具体操作方法是           

试题详情>>

纳米铁粉的制备:

试题详情>>

将一根长度约为12~14cm的玻璃管在酒精喷灯上烧制成如图所示形状,向其中加入草酸亚铁晶体。再将管口部分加热拉细,然后在酒精喷灯上均匀加热。当草酸亚铁受热完全变黑,立即将管口拉细的部分放在火焰上烧熔封闭,这样便得到了高纯度的纳米铁粉。

试题详情>>

(6)实验中分解产生CO2所起的作用                            

试题详情>>

(7)指导老师提醒同学们应准确把握玻璃管烧熔封闭时间。你认为烧熔过早、过晚的后果是                                  

试题详情>>

29.(16分)已知:

试题详情>>

I.部分有机物之间的转化关系以及转化过程中相对分子质量变化关系如下:

试题详情>>

  物质转化关系:R―CH2OH 高考资源网( www.1010jiajiao.com),中国最大的高考网站,您身边的高考专家。RCHO高考资源网( www.1010jiajiao.com),中国最大的高考网站,您身边的高考专家。RCOOH

试题详情>>

  相对分子质量:  M             M -     M+14

试题详情>>

Ⅱ.物质A中只含有C、H、O三种元素,一定条件下能发生银镜反应,物质B的相对分子质量为72,C的相对分子质量为104,G内含有A中的某种官能团。A与其它物质之间的转化关系如下图所示:

试题详情>>

请回答下列问题:

试题详情>>

(1)写出下列物质的结构简式:A                     ,B                 

试题详情>>

(2)反应②的反应类型是                     

试题详情>>

(3)写出B与新制Cu(OH)2反应的化学方程式                             

试题详情>>

(4)反应①的化学方程式:                                

试题详情>>

(5)A有多种同分异构体,写出与A所含官能团不同,但能与NaOH溶液反应的所有同分异构体的结构简式                                   

试题详情>>

30.(20分)I.甲状腺功能亢进的病人,血液中甲状腺激素含量较正常人         ,因为甲状腺激素能          ,所以病人易出现食量大而身体消瘦。

试题详情>>

  Ⅱ.为研究甲状腺激素对小鼠新陈代谢的影响,设计了如下实验装置:500mL广口瓶的瓶盖为胶塞,其上有三个小孔。一个插温度计;一个插水检压计;另一个插入一支底部开口的试管,开口边缘向内翻,放一浸透液体的棉球。该装置是通过测定动物在一定时间内的耗氧量,计算其代谢率。请回答下列问题:

试题详情>>

高考资源网( www.1010jiajiao.com),中国最大的高考网站,您身边的高考专家。(1)棉球浸透的溶液为              ,目的是                     

(2)实验步骤:

  ①选10只健康、体重相近的雄性小白鼠。

  ②将每只小白鼠分别放入以上装置的广口瓶中,待动物适应测定环境和瓶内的温度稳定后,然后用注射器(5mL)向广口瓶内注入5mL空气,记录水检压计右侧液面下降单位刻度所需时间t1

  ③给每只小白鼠注射适量的甲状腺激素溶液,在相同的环境下,按步骤②的方法重测一次。记录水检压计右侧液面下降单位刻度所需时间t2

(3)实验分析:

  ①该实验最可能的结果是           

  ②注射甲状腺激素溶液后,小白鼠自身产生的甲状腺激素          (增加、不变、减少),原因是                          

  ③若环境温度降低,重复上述实验,水检压计右侧液面下降单位刻度所需时间       (变长、不变、变短)。

  ④有人认为该实验设计不够严密,缺少对照。你认为呢?                         

试题详情>>

31.(22分)果蝇每两周就能繁殖出新的一代,具有培养周期短,易于区

分的相对性状等特点,下表是果蝇的三对相对性状的杂交实验记录,

请分析回答:

 

甲组

乙组

P

抗CO2、长翅、红眼

CO2敏感、残翅、白眼

CO2敏感、残翅、白眼

抗CO2、长翅、红眼

F1

抗CO2、长翅、红眼

抗CO2、长翅、红眼

CO2敏感、长翅、红眼

CO2敏感、长翅、白眼

(1)甲乙两组杂交方式在遗传实验中互称为                    

(2)以上三对性状中,其遗传符合孟德尔规律的是               

(3)通过上述     (甲或乙)组杂交结果可判断:控制果蝇眼色基因位于    染色体上。

请用遗传图解表示分析过程(果蝇眼色基因用A、a表示)

 

(4)让F1甲中雄果蝇与F1乙中雌果蝇杂交得到F2,F2中雌果蝇表现型为         ,雄果蝇表现型为          。F2中CO2敏感长翅红眼雄果蝇占                 

 

试题详情>>

高考资源网( www.1010jiajiao.com),中国最大的高考网站,您身边的高考专家。

第I卷

试题详情>>

1.D  2.C  3.D  4.D  5.A

试题详情>>

6.B  7.D  8.D  9.A  10.C  11.B  12.C  13.B

试题详情>>

14.D 15.A 16.C 17.A 18.CD  19.A  20.AC 21.BC

试题详情>>

w.w.w.k.s.5.u.c.o.m

试题详情>>

26.(15分)

(1)否(2分)

试题详情>>

(2)是(1分);混合气体通过碱石灰时,体积不变,再通过浓硫酸体积减少4.48 L(2分)

试题详情>>

(3)高考资源网( www.1010jiajiao.com),中国最大的高考网站,您身边的高考专家。+高考资源网( www.1010jiajiao.com),中国最大的高考网站,您身边的高考专家。=H2O(2分)

试题详情>>

高考资源网( www.1010jiajiao.com),中国最大的高考网站,您身边的高考专家。+高考资源网( www.1010jiajiao.com),中国最大的高考网站,您身边的高考专家。+H2O=A1(OH)3↓(2分)

试题详情>>

(4)由题可知:V(H2)=6.72 L,则n(Al)=高考资源网( www.1010jiajiao.com),中国最大的高考网站,您身边的高考专家。

试题详情>>

又V(NH3)=11.2L ? 6.72L=4.48L

试题详情>>

则n[(NH4)2SO4]高考资源网( www.1010jiajiao.com),中国最大的高考网站,您身边的高考专家。

试题详情>>

又n[Mg(OH)2]=5.80 g

试题详情>>

则n(MgCl2)=n[Mg(OH)2]=高考资源网( www.1010jiajiao.com),中国最大的高考网站,您身边的高考专家。

试题详情>>

n(A1)+m[(NH4)2SO4]+m(MgCl2)=0.2 mol×27 g/mol+0.1 mol× 132 g/mol+0.1 mol×95 g/mol=28.1 g<30.0 g(2分)

故原混合物中存在A1C13(1分)

试题详情>>

27 . ( 15 分)w.w.w.k.s.5.u.c.o.m
(1)高考资源网( www.1010jiajiao.com),中国最大的高考网站,您身边的高考专家。( 2 分)02 ( 2 分)
(2)焰色反应(2 分)
(3)酸(l 分)Fe3++3H2O高考资源网( www.1010jiajiao.com),中国最大的高考网站,您身边的高考专家。Fe(OH)3 +3H+ ( 2 分)
(4)Fe3O4+8H+=Fe2+ +2Fe3++4H2O ( 3 分)
4Na2O2 + 6H2O + 4FeC12 = 8NaCl + 4Fe(OH)3+O2 ( 3 分)

 

28 . ( 14 分)
(1) FeSO4 + H2C2O4+2H2O = FeC2O4・ 2H2O↓+H2SO4(3 分)
(3)1000mL容量瓶、胶头滴管(2 分)
(4)样品中可能含有Fe3+、蒸馏水未事先加热煮沸、溶液配制时间过长等等(答出其中一点即可)( 2 分)
(5)将pH 试纸放在洁净的玻璃片(或表面血)上,用洁净的玻璃棒蘸取最后一次洗涤液点在试纸上,与标准比色卡对比。若pH=7 ,则说明已洗净;若pH < 7 ,则未洗净。(3 分)
(6)排出装置中的空气和生成的水蒸气,防止生成的铁被氧化(2 分)
(7)过早未能分解完全,过晚造成铁粉被氧化,都将导致所得纳米铁粉纯度不够(2 分)

 

试题详情>>

29.(16分)

(1)HOCH2CH2CHO   HOOCCH2COOH

(2)消去反应

试题详情>>

(3)OHCCH2CHO+4Cu(OH)2 高考资源网( www.1010jiajiao.com),中国最大的高考网站,您身边的高考专家。HOOCCH2COOH+2Cu2O+4H2O

试题详情>>

(4)nCH2 = CH―CHO 高考资源网( www.1010jiajiao.com),中国最大的高考网站,您身边的高考专家。 高考资源网( www.1010jiajiao.com),中国最大的高考网站,您身边的高考专家。

( 5 ) CH3CH2C00H 、CH3COOCH3 、HC00CH2CH3 (各2 分,共6 分)

试题详情>>

30.(20分)w.w.w.k.s.5.u.c.o.m

试题详情>>

I.高(2 分)促进物质氧化分解(2 分)
II.(1)KOH(Na0H)(2分)吸收装置内的C02 (2分)
(3)① t1 > t2(2分)
② 减少(2 分)注射甲状腺激素后使血液中甲状腺激素增多,抑制下丘脑和垂体产生促甲状腺激素释放激素和促甲状腺激素,从而减少自身甲状腺分泌甲状腺激素。(3分)
③ 变短(2 分)
④ 不缺少,本实验采用的是自身对照(3 分)
31.(22分)(1)正交和反交(2分)
(2)长翅→残翅、红眼→白眼(4分)
(3)乙(2 分)X (2分)
遗传图解如下:( 6 分)

试题详情>>

高考资源网( www.1010jiajiao.com),中国最大的高考网站,您身边的高考专家。
( 4 ) CO2敏感长翅红眼、CO2敏感残翅红眼(2 分)
CO2敏感长翅红眼、CO2敏感残翅红眼、CO2敏感长翅白眼、CO2敏感残翅白眼(2 分)高考资源网( www.1010jiajiao.com),中国最大的高考网站,您身边的高考专家。( 2 分)

 

 

试题详情>>
关闭