1.下列有关性染色体组成为XY的受精卵和初级精母细胞形成精子的分裂过程的叙述中,与正常情况下的事实不符的一项是

A.产生染色单体和染色单体变成染色体的过程一定发生在同一个细胞中

B.进行卵裂的细胞中性染色体不会只有XX(或只有YY)

C.出现X和Y分离现象,发生在初级精母细胞形成精子的过程中

D.出现着丝点分裂的同时含XXYY的细胞,发生在卵裂过程中

试题详情>>

2.人类的皮肤含有黑色素,黑人含量最多,白人含量最少。皮肤中黑色素的多少,由两对独立遗传的基因(A和a,B和b)所控制;显性基因A和B可以使黑色素量增加,两者增加的量相等,并且可以累加。若一纯种黑人与一纯种白人配婚,后代肤色为黑白中间色;如果该后代与同基因型的异性婚配,其子代可能出现的基因型种类和不同表现型的比例为

A.3种;3:1

B.3种;1:2:l

C.9种;9:3:3:1

D.9种;l:4:6:4:1

试题详情>>

3.下列有关生物工程方面的叙述中,正确的是

A.叶肉细胞离体培养时,经再分化过程可形成愈伤组织

B.培养流感病毒时应选用无菌的牛肉汤

C.在青霉菌体内获取青霉素属于基因工程的实例

D.基因工程、细胞工程都能克服远缘物种杂交之间的障碍

试题详情>>

4.某组织培养实验室的愈伤组织被真菌严重污染,为查找污染原因设计了4个实验,实验条件除图示外其他均相同。下列各图表示实验结果,据图不可得出的初步结论是

试题详情>>

A.污染主要不是培养基灭菌时间短造成的

B.污染主要来源于组织培养所用的离体组织

C.调节培养温度能解决污染问题

D.调节培养基酸碱度不能解决污染问题

试题详情>>

5.科学家用含3H标记的亮氨酸培养豚鼠的胰腺腺泡细胞,下表为在腺泡细胞几种结构中最早检测到放射性的时间表。下列叙述中正确的是

细胞结构

附有核糖体的内质网

高尔基体

靠近细胞膜的囊泡

时间/min

3

17

117

A.形成分泌蛋白的多肽最早在内质网内合成

B.高尔基体膜向内与内质网膜相连,向外与细胞膜相连

C.高尔基体能对蛋白质进行初步折叠、组装,形成比较成熟的蛋白质

D.靠近细胞膜的囊泡可由高尔基体形成

试题详情>>

6.据报道,我国拥有完全自主产权环保型的氢氧燃料电池车在北京奥运会期间为运动员提供服务。某种氢氧燃料电池的电解液为KOH溶液。下列有关该电池的叙述正确的是

试题详情>>

A.正极反应式为:O2+2H2O+2e=4OH

B.工作一段时间后,电解液中KOH的物质的量发生变化

C.该燃料电池的总反应方程式为:2H2+O2=2H2O

试题详情>>

D.用该电池电解CuCl2溶液,产生2.24 L Cl2(标准状况)时,有0.1 mol电子转移

试题详情>>

7.阿伏加德罗常数约为6.02×1023 mol。下列叙述中正确的是

试题详情>>

A.标准状况下,2.24 L苯中约含有3.612×1023个碳原子

试题详情>>

B.常温常压下,氧气和臭氧的混合物16 g中约含有6.02×1023个氧原子

试题详情>>

C.25℃时,1 L pH=13的氢氧化钠溶液中约含有6.02×1023个氢氧根离子

试题详情>>

D.0.5 mol CH4中约含有3.01×1024个电子

试题详情>>

8.下列反应的离子方程式,正确的是

试题详情>>

A.Fe2O3溶于过量的氢酸碘中:Fe2O3+6H====2Fe+3H2O

试题详情>>

B.向NaAlO2溶液中通人过量CO2:AlO+CO2+2H2O====A1(OH)3↓+CO

试题详情>>

C.向漂白粉溶液中通人SO2气体:Ca+2C1O+SO2+H2O====CaSO3↓+2HClO

试题详情>>

D.向Fe(NO32溶液中加人稀盐酸:3Fe+4H+NO====3Fe+NO↑+2H2O

试题详情>>

9.2008年北京奥运会“祥云”奥运火炬所用环保型燃料为丙烷(C3H8),悉尼奥运会所用火炬燃料为65%丁烷(C4H10)和35%丙烷。已知:

试题详情>>

CO:2CO(g)+O2(g)====2CO2(g);H====566.0 kJ/mol。

试题详情>>

丙烷:C3 H8(g)+5O2(g)====3CO2(g)+4H2O(1);H====2221.5 kJ/mol。

试题详情>>

正丁烷:C4H10(g)+6.5O2(g)====4CO2(g)+5H2O(I);H====2878.0 kJ/mol。

试题详情>>

异丁烷:C4H10(g)+6.5O2(g)====4CO2(g)+5H2O(1);H====2869.6 kJ/mol。

下列有关说法正确的是

试题详情>>

A.常温下,正丁烷的燃烧热为2878.0 kJ/mol

B.相同质量的丙烷和正丁烷分别完全燃烧,前者需要的氧气少,产生的热量也少

试题详情>>

C.常温下,CO的燃烧热为283.0 kJ/mol

D.人类利用的能源都是通过化学反应获得的

试题详情>>

10.在一定温度下,一定体积的密闭容器中有如下平衡:H2(气)+I2(气)K2HI(气)已知H2和I2的起始浓度均为0.10 mol・L时,达平衡时HI的浓度为0.16 mo1・L。若H2和I2的起始浓度均变为0.20 mol・L。则平衡时H2的浓度(mol・L)是

试题详情>>

A.0.16                 B.0.08                  C.0.04                    D.0.12

试题详情>>

11,已知0.1 mol・L的二元酸H2A溶液的pH= 4.0,则下列说法中不正确的是

A.在Na2A、NaHA两溶液中,离子种类相同

B.在溶质物质的量相等的Na2A、NaHA两溶液中,阴离子总数不相等

试题详情>>

C.在NaHA溶液中一定有:[Na]+[H]==== [HA]+[OH]+2[A]

试题详情>>

D.在Na2A溶液中一定有:[Na]>[A]>[H]>[OH]

试题详情>>

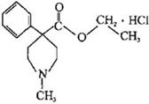
12.国际奥委会公布的违禁药物目前有138种。某种兴奋剂的结构为关于它的说法中不正确的是

A.从结构上看,它不属于芳香烃

B.它的分子中所有的碳原子共平面

C.该物质的分子式为C15H22ClNO2

D.1 mol该物质最多能与2 mol氢氧化钠反应

试题详情>>

13.镁铁混合物13.8 g溶解在足量某浓度的稀硝酸中,完全反应,其还原产物只有一氧化氮(0.3 mo1),则向反应后的溶液中加人足量的NaOH溶液,可生成的沉淀质量为

试题详情>>

A.26 g                       B.28 g                    C.29.5 g               D.29.1 g

试题详情>>

14.关于质点的运动,下列叙述正确的是

试题详情>>

A.如果质点做简谐运动,周期内加速度的方向都相同

B.如果质点做匀速圆周运动,每秒内质点所受合力的冲量都相同

C.如果质点做平抛运动,每秒内质点的动量增量都相同

试题详情>>

D.如果质点做自由落体运动,每下降1 m质点所受重力做功都相等。

试题详情>>

15.如图所示,直线为点电荷的电场中的一条电场线,带电粒子在电场力作用下,沿曲线由运动,下列说法正确的是

试题详情>>

A.点电荷是正电荷                                    B.电势

试题详情>>

C.电场强度                                     D.带电粒子的动能

试题详情>>

16.可见光光子的能量在1.61eV~3.10eV范围内。若氢原子从高能级跃迁到量子数为的低能级的谱线中有可见光,根据氢原子能级图可判断

试题详情>>

                                                     E/eV

试题详情>>

       ――――――――――――――0

试题详情>>

       4                               0.85

试题详情>>

       3                               1.51

试题详情>>

       2                               3.40

试题详情>>

       1                               13.60

A.1                        B.2                         C.3                         D.4

试题详情>>

17.如图所示,一束由两种频率的光组成的复色光经过梯形玻璃砖的两次折射后分为两束单色光,关于两束单色光,以下描述正确的是

试题详情>>

A.玻璃砖对光的折射率大于对光的折射率

试题详情>>

B.光的频率大于光的频率

试题详情>>

C.光在真空中的波长大于光在真空中的波长

试题详情>>

D.光在水中的传播速度小于光在水中的传播速度

试题详情>>

18.如下页右图所示,位于光滑固定斜面上的小物块受到一水平向右的推力的作用,已知物块沿斜面加速下滑,现保持的方向不变,使其变大,则加速度

试题详情>>

A.一定变小

B.一定变大

C.一定不变

D.可能变小,可能变大,也可能不变

试题详情>>

19.如图所示,波源产生的简谐波向右传播,振动频率是100 Hz,波速80 m/s。波在传播过程巾经过两点。已知距离。在某一时刻,当点经过平衡位置向上运动时,两点所在位置为

试题详情>>

A.点处于波峰,点也处于波峰

试题详情>>

B.点处于波谷,点也处于波谷

试题详情>>

C.点处于波峰,点处于波谷

试题详情>>

D.点处于波谷,点处于波峰

试题详情>>

20.有一段长12 cm的汞柱,在均匀玻璃管中封住一定质量的气体,若开口向上将玻璃管放置在倾角为30°的光滑斜面上,在下滑过程中被封住气体的压强为(大气压强 

A.76 cm汞柱           B.82 cm汞柱          C.88 cm汞柱          D.70 cm汞柱

试题详情>>

21.一个圆形闭合线圈固定在垂直纸面的匀强磁场中,线圈平面与磁场方向垂直,如图甲所示。设垂直于纸面向内的磁感应强度方向为正,垂直于纸面向外的磁感应强度方向为负。线圈中顺时针方向的感应电流为正,逆时针方向的感应电流为负。己知圆形线圈中的感应电流随时间变化的图象如图乙所示,则线圈所处的磁场的磁感应强度随时间变化的图象可能是下图中的

试题详情>>

 

第Ⅱ卷

本卷共10小题,共174分。

试题详情>>

22.(17分)(1)(6分)一水平放置的圆盘绕过其圆心的竖直轴匀速转动,盘边缘上固定一竖直的挡光片,盘转动时挡光片从一光电数字计时的光电门的狭缝中经过,如图甲所示。图乙为光电数字计时器的示意图。光源中射出的光可照到中的接收器上(朱在圆盘上),若间的光路被遮断,显示器上可显出光线被遮住的时间。

试题详情>>

挡光片的宽度用螺旋测微器测得,结果如图丙所示,圆盘直径用游标卡尺测得,结果如图丁所示。由图可知:

① 挡光片的宽度为             mm;

② 圆盘的直径为               cm;

试题详情>>

③ 若光电数字计时器所显示的时间为50.0 ms,则圆盘转动的角度速度为          弧度/秒(保留3位有效数字)。

试题详情>>

(2)(11分)甲同学设计了如图所示的电路测电源电动势及电阻的阻值,实验器材有:待测电源(不计内阻),待测电阻,待测电阻,电压表V(量程为1.5 V,内阻很大),电阻箱(0~99.99 ),单刀单掷开关S1,单刀双掷开关S2,导线若干。

试题详情>>

① 先测电阻的阻值,请将甲同学的操作补充完整。闭合,将切换到,调节电阻箱,读出其示数和对应的电压表示数,保持电阻箱示数不变,           ,读出电压表的示数,则电阻的表达式为           

试题详情>>

② 甲同学已经测得电阻,继续测电源电动势和电阻的阻值。该同学的做法是:闭合,将切换到,多次调整电阻值,读出多组电阻箱示数和对应的电压表示数,由测得的数据,绘出了如图所示的~图线,则电源电动势           V,电阻         

试题详情>>

③ 利用甲同学设计的电路和测得的电阻,乙同学测电源电动势和电阻的阻值的做法是;闭合,将切换到,多次调节电阻箱,读出多组电阻箱示数和对应的电压表示数,由测得的数据,绘出了相应的~图线,根据图线得到电源电动势和电阻,这种做法与甲同学的做法比较,由于电压表测得的数据范围           (选填“较大”、“较小”或“相同”),所以              同学的做法更恰当些。

试题详情>>

23.(15分)如图所示,宇航员站在某质量分布均匀的星球表面的一斜坡上点,沿水平方向以初速度抛出一个小球,测得小球经时间落到斜坡上另一点,斜面的倾角为,已知该星球的半径为,万有引力常量为。求:该星球的密度

试题详情>>

 

 

 

 

 

 

试题详情>>

24.(19分)质量为的钢板与直立轻弹簧的上端连接,弹簧下端固定在地上,平衡时,弹簧的压缩量为60 cm,如图所示。物块从钢板上方距离为处自由落下,打在钢板上并立刻与钢板一起向下运动但不粘连,它们到达最低点后又向上运动。已知物块质量为时,它们恰能回到点。若物块质量为2,仍从处自由落下,则物块与钢板回到点时,还具有向上的速度。求:

(1)物块与钢板碰撞前的速度;

试题详情>>

(2)物块与钢板碰撞刚完时,弹簧的弹性势能

试题详情>>

    (3)当物块质量为2 ,物块与钢板共同向上运动时,二者在何处分离?

试题详情>>

(4)物块向上运动到达的最高点与点的距离

 

 

 

 

 

 

试题详情>>

25(20分)如图所示,一个质量为、电荷量为的正离子,在处沿图示方向以一定的速度射入磁感应强度为的匀强磁场中,此磁场方向是垂直纸面向里。结果离子正好从距点为的小孔沿垂直于电场方向进入匀强电场,此电场方向与平行且向上,最后离子打在处,而处距。不计离子重力,离子运动轨迹在纸面内。求:

试题详情>>

(1)正离子从处运动到处所需时间为多少?

试题详情>>

(2)正离子到达处时的动能为多少?

 

 

 

 

 

 

试题详情>>

26.(12分)过氧化氢(H2O2)又称双氧水,常温下它是一种液体,它难电离,且易分解。随着社会需求的增长,尤其是生态环境保护的需要,过氧化氢近年来更受到人们的青睐,并称其为绿色氧化剂。为了贮存、运输、使用的方便,工业上采用“醇析法”将其转化成固态的过碳酸钠晶体(其化学式为2Na2CO3・3H2O2),该晶体具有Na2CO3和H2O2的双重性质。根据上述材料,回答下列问题:

(1)依据你已有的知识,写出H2O2的结构式             。你认为H2O2被称为绿色氧化剂的主要原因是:                              

(2)S2Cl2的分子结构与H2O2类似,电子式为                ,属         分子(选填 “极性”或“非极性”)。

(3)H2O2是一种二元弱酸,其电离方程式为:                              

它与过量的Ba(OH)2反应的化学方程式为:                 

(4)H2O2还有一定的还原性,能使酸性KMnO4溶液褪色,其离子反应方程式为    

                                                                            

(5)我们知道,稀硫酸不与铜反应,但在稀硫酸中加入H2O2后,则可使铜顺利溶解,写出该反应的离子方程式:                     

试题详情>>

27.(18分)I.红热的铁能与水蒸气反应,有氢气生成,现用下图所示装置进行铁在高

温下与水蒸气反应的实验,并用简单的方法收集、检验生成的氢气。请回答下列问题:

(1)写出铁在高温下与水蒸气反应的化学方程式                    

试题详情>>

(2)干燥管内盛放的药品是                             (填化学式)。干燥管的             (选填“m”或“n”)端与g导管相连接。

试题详情>>

(3)在D处画出用简单方法用试管来收集氢气的装置图(所需其他仪器自由选择)。

(4)怎样用简单的方法检验收集到的气体是氢气,简述实验操作步骤和现象         

Ⅱ.设计简单实验说明下列物质的氧化性由强到弱:C12>FeCl3>KI,可选用的药品有:氯水、FeCl3溶液、碘水、KI溶液、NaOH溶液、稀硫酸、盐酸、KSCN溶液、碘化钾淀粉溶液、

FeCl2溶液、H2O2等。所需仪器自由选择。简述实验步骤、现象、结论:

(1)                                                                     

(2)                                                                      

试题详情>>

28.(14分)从某物质A的水溶液出发,有下图所示的一系列变化(参加反应或反应生成

的水没有标出):

试题详情>>

(1)写出下列物质的名称:H          ,G          ,W         ,Y         

    (2)写出A+X→B+C+D的化学方程式                       

(3)写出G+W→B+X+H的化学方程式                      

试题详情>>

29.(16分)酚是重要的化工原料,通过下列流程可合成阿司匹林、香料和一些高分子化

合物。已知:

试题详情>>

(1)写出C的结构简式                       

(2)写出反应②的化学方程式                     

(3)写出G的结构简式                          

    (4)写出反应⑧的化学方程式                       

(5)写出反应类型:④              ,⑦              

(6)下列可检验阿司匹林样品中混有水杨酸的试剂是             

a.三氯化铁溶液         b.碳酸氢钠溶液         c.石蕊试液

试题详情>>

30.(20分)下图表示碳在人体内的转移途径以及在无机环境和生物群落巾的循环流动,请据图回答:

(1)若图中的X是在胰岛A细胞中合成的,且与血糖调节有关,则X是         ;若图中的X是一种抗病毒的特效药,它在效应T细胞内合成,并可干扰、破坏病毒DNA在宿主细胞中的复制,则X是         ;若X是抗体,则e过程发生在                 细胞中。

试题详情>>

 

(2)若F以大出汗的形式排出,一般而言体内的抗利尿激素的分泌量将            ,醛固酮的分泌量将                    

(3)当某人进食后,胰岛素的分泌量增加,可促进             (填图中字母)进行。

(4)d表示的生理过程是                     

(5)从生态系统的角度看,能发生a、b两个生理过程的是生态系统中的           

(成分),能发生c过程的可能是生态系统中的             (成分)。

(6)f之前的(C6H10O5n和g之后的(C6H10O5)。所指的物质和分布有何不同?f之前的(C6H10O5)。是                 ,分布在                ;g之后的(C6H10O5)。是                        ,分布在                    

试题详情>>

31.(22分)某兴趣学习小组利用下列装置研究CO2含量以及光照强度对某种绿叶光合作用的综合影响。实验过程用同种、状况相同的若干新鲜叶片在室温25℃下进行,通过缓冲液调节使密闭小室空间内CO:的浓度保持相对恒定。对相应装置精确测量的结果如下表。请分析回答:

试题详情>>

组别

实验条件

液滴移动(mL/h)

光强(lx)

CO2(%)

1

800

试题详情>>

右移0.3

2

1000

试题详情>>

右移9.0

3

1000

试题详情>>

右移11.2

4

1500

试题详情>>

右移11.2

5

1500

试题详情>>

右移9.0

试题详情>>

(1)第3组装置中液滴右移的生理原因是                   。该装置在2 h内,缓冲液释放到密闭小室空间的CO2约为                     mg。第3、4两组的结果相同,限制第4组装置光合作用的非生物因素主要是                    

(2)装置虽置于25℃环境下,但有同学认为液滴移动的量不一定真正代表光合作用释放O2的量,因为光照引起的             会导致密闭小室内气体的物理性膨胀。因此,实验方案应再作相应改善。

(3)某同学认为本实验不能令人信服地说明光照强度和CO2浓度的相互作用,为了使  光合作用进一步增强,该研究小组又增设一组实验,你认为该组实验的条件组合是                                                        

(4)请你利用该装置研究叶片有氧呼吸强度随时间变化而变化的趋势:

A.方法步骤:

①                                                                     

②                                                                    

③                                                                    

B.预期结果:                                                        

2009年曲靖一中年高考冲刺卷理综(五)

 

试题详情>>

1.A      2.D      3.D      4.C       5.D      6.C       7.B       8.D      9.C       10.C

试题详情>>

11.D     12.B     13.D

试题详情>>

14.CD         15.D     16.B     17.C     18.D     19.C     20.A     21.CD

试题详情>>

22.(18分)(每空2分)

试题详情>>

(1)① 10.243          ② 24.220    ③ 1.69

试题详情>>

(2)将S2切换到                   1.43(或)    1.2       较小       甲

试题详情>>

23.(15分)解答:设该星球表现的重力加速度为g,根据平抛运动规律:

试题详情>>

         (2分)                                                                            (2分)

试题详情>>

(2分)               得                                            (2分)

试题详情>>

设该星球质量.对该星球表现质量为的物体有                (2分)

试题详情>>

(1分)           得    (2分)

试题详情>>

代人的值解得                                                                        (2分)

试题详情>>

24.(19分)本厨涉及两大物理过程,第一大过程就是下落与钢板的作用过程;第二大过程就是2下落与钢板作用过程。第一大过程包含自由落体、碰撞、振动3个子过程;第二过程中包含自由落体、碰撞、振动、竖直上抛4个子过程。

试题详情>>

(1)物块与钢板碰撞时的速度:由                                        (2分)

试题详情>>

得:                                                                         (2分)

试题详情>>

  (2)设表示质量为物块与钢板碰撞后一起开始向下运动的速度,因碰撞时间极短,动量守恒:(2分)                                               (2分)

试题详情>>

刚碰完时弹簧的弹性势能为。当它们一起回到点时,弹簧无形变。弹性势能为零。根据题给条件,这时物块与钢板的速度为零,由机械能守恒:

试题详情>>

              (2分)                                                     (2分)

试题详情>>

(3)当质量为的物块与钢板一起回到点时,弹簧的弹力为零,物块与钢板只受到重力作用,加速度为g,过点,钢板受到弹簧向下的拉力作用,加速度人于g,由于物块与钢板不粘连.物块不可能受到钢板的拉力,其加速度仍为g。故在点物块与钢板分离。

试题详情>>

(4)设表示质量为的物块与铜板碰撞后开始一起

试题详情>>

  向下运动的速度.则有:(2分)                        (1分)

试题详情>>

分离后,物块以速度竖直上抛,物块向上运动所达到最高点与点的距离为,刚碰完时弹簧的弹性势能也为,它们回到点时.弹性势能为零.但它们仍继续向上运动,设此时速度为,则有:

试题详情>>

                                                               (2分)

试题详情>>

得:                                                                       (2分)

试题详情>>

25.(20分)

(1)正离子轨迹如下图所示.在磁场中圆周运动的时间为;

试题详情>>

                                                                                       (2分)

试题详情>>

圆周运动半径满足:                                                                              (2分)

试题详情>>

                                                                                                    (2分)

试题详情>>

              解得:                                                                                         (1分)

试题详情>>

设离子在磁场中运动速度为,则有:                                      (2分)

试题详情>>

解得:                                                                                   (1分)

试题详情>>

离子从过程的时间为:                                           (2分)

试题详情>>

离子从D→C→G的总时间为:                               (2分)

试题详情>>

(2)设电场强度为,离子在电场中运动过程有:                         (1分)

试题详情>>

                                                                                             (2分)

试题详情>>

由动能定理得                                                          (2分)

试题详情>>

解得:                                                                            (1分)

试题详情>>

答:(1);(2)

试题详情>>

26.(12分)

(1)H―O―O―H(1分);H2O2的还原产物为H2O,反应时不产生污染物(1分)

试题详情>>

(2);极性(各1分)

试题详情>>

(3)H2O2H+HO        HOH+O(2分)

             H2O2+Ba(OH)2====BaO2+2H2O(2分)

试题详情>>

(4)5H2O2+2MnO+6H====5O2↑+2Mn+8H2O(2分)

试题详情>>

(5)Cu+H2O2+2H====Cu+2H2O(2分)

试题详情>>

27.(18分)

试题详情>>

I.(1)3Fe+4H2O(g)Fe3O4+4H2(3分)

(2)CaCl2、碱石灰或CaO;n(3分)

(3)向下排空气法、导管口伸人试管底部(3分)

(4)提示:试管口向上,用拇指堵住试管口,靠近酒精灯火焰,松开拇指,能燃烧或发出爆鸣声.说明收集的是H2(3分)

Ⅱ.(1)取FeCl2溶液少许,加入KSCN溶液.无明显现象,加氯水少许,变为血红色溶液,说明氧化性Cl2>FeCl3(3分)

(2)取无色的碘化钾淀粉溶液,加人FeCl3溶渣,变蓝色.说明氧化性FeCl3>KI(3分)

试题详情>>

28.(14分)

试题详情>>

(1)H:Fe;G:H2S;W:FeCl3;Y:苯酚(各2分)

(2)K2S2O3+2HCl====2KCl+S↓+SO2↑+H2O(3分)

(3)H2S+2FeCl3==== S↓+2HCl+2FeCl2(3分)

试题详情>>

29.(16分)

试题详情>>

       (1)(3分)

       (2)(3分)

试题详情>>

             

试题详情>>

       (3)(3分)

试题详情>>

       (4)(3分)

(5)加成反应、消去反应(2分)

(6)a(2分)

试题详情>>

30.(20分)

(1)胰高血糖素         干扰素    效应B(6分)

(2)增加     增加(2分)

(3)g、h、c(1分)

(4)转氨基(氨基转换)作用(1分)

(5)生产者  生产者、消费者、分解者(2分)

(6)淀粉     植物细胞  糖元  动物细胞(8分)

试题详情>>

31.(22)

(1)光合作用产生的O2大于呼吸作用消耗的O244      CO2浓度(6分)

(2)温度变化(升高)  (2分)

试题详情>>

(3)光强为800lx,CO2浓度为0.05%  (2分) 

(4)A方法步骤:①用同种、状况相同的新鲜叶片和相应的死叶片分别完成题中装置(各三套).置于温度相同的暗室中;

② 每隔一定时间观测毛细刻度管中液滴移动的量,取相同处理结果的平均值;

③ 记录结果。(9分)

预期结果:液滴左移,且速率渐慢,直至不再移动(3分)

试题详情>>
关闭