一、在$◯$里填上“>”“<”或“=”。
$9-3-3◯$
$6+2+1◯$
$9-3-3◯$
<
$6$ $7+1+2◯$=
$10$ $5+2+2◯$>
$8$ $10-7+5◯$>
$3$$6+2+1◯$
>
$7$ $10-4-2◯$>
$3$ $8-1-5◯$<
$4$ $4+2-3◯$=
$3$
答案:
< = > > > > < =
二、看图列式计算。
1.

2.

3.
(只)
4.
(个)
1.
3
+4
+3
= 10
(只)2.
9
-3
-2
= 4
(只)3.
4
+
5
-
2
=7
4.
8
-
4
+
3
=7
答案:
1. 3+4+3=10 2. 9-3-2=4 3. 4+5-2=7 4. 8-4+3=7
三、在$□$里填上“+”或“-”,使算式成立。
$2$
$2$
+
$3$+
$4= 9$ $8$-
$5$+
$3= 6$ $10$-
$7$+
$2= 5$
答案:
+ + - + - +
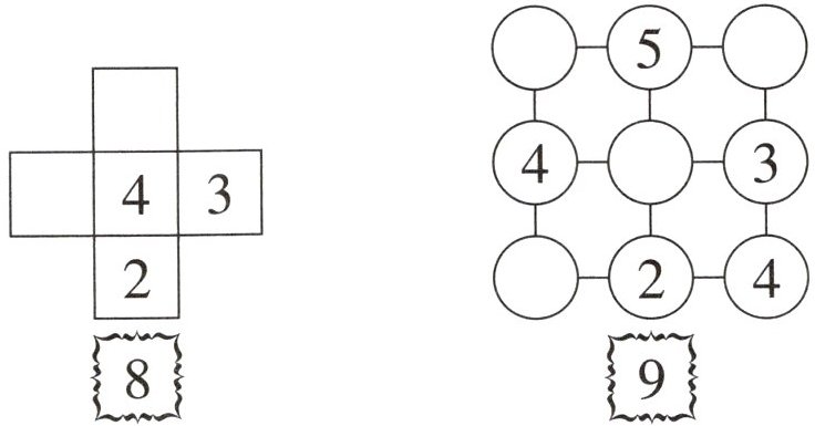
四、填一填,使横行、竖行上的三个数相加都等于下面的数。

答案:
查看更多完整答案,请扫码查看