1. 算一算,比一比。
$42÷3= $
$4.2÷3= $
比一比略
$42÷3= $
14
$91÷14= $6.5
$224÷4= $56
$4.2÷3= $
1.4
$9.1÷14= $0.65
$22.4÷4= $5.6
比一比略
答案:
14 6.5 56 1.4 0.65 5.6 比一比略
2. 在下面的( )里填上适当的数。
$0.36÷1.2= ($
$3.75÷2.5= ($
$0.36÷1.2= ($
3.6
$)÷12= ($0.3
$)$ $87÷0.3= ($870
$)÷3= ($290
$)$$3.75÷2.5= ($
37.5
$)÷25= ($1.5
$)$ $0.24÷0.6= ($2.4
$)÷6= ($0.4
$)$
答案:
3.6 0.3 870 290 37.5 1.5 2.4 0.4
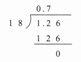
3. 下面的计算对吗?如果不对,说说错在哪里,并改正过来。
$1.26÷18= 0.7$ $11.7÷2.6= 45$
]


$1.26÷18= 0.7$ $11.7÷2.6= 45$
]
答案:
不对,按上述解析改正(答案体现正确结果即可)
4. 用竖式计算,并验算。
$43.5÷29$ $32.8÷16$ $15÷0.06$
$91.2÷3.8$ $15.6÷24$ $10÷25$
$43.5÷29$ $32.8÷16$ $15÷0.06$
$91.2÷3.8$ $15.6÷24$ $10÷25$
答案:
1.5 2.05 250 24 0.65 0.4 竖式略,验算略
(1)鸵鸟是世界上最大的鸟,它比天鹅重很多。请你算一算,鸵鸟的体重是天鹅的多少倍?

答案:
134.9÷9.5=14.2
查看更多完整答案,请扫码查看