一、连一连。

答案:
1. 比一百万少十万的数写作(
900000
),比一百万多一万的数写作(1010000
)。
答案:
900000 1010000
2. 李伯伯家有一个边长为300米的正方形果园,占地(
9
)公顷。
答案:
9
3. 我们学过的角有(
锐角
)、(直角
)、(钝角
)、(平角
)、(周角
),直角是(90°
),平角是(180°
)。
答案:
锐角 直角 钝角 平角 周角 90° 180°
4. 把一个长为6厘米、宽为4厘米的长方形框架沿对角斜拉,就变成(
平行四边形
),说明平行四边形具有(容易变形
)的特性。继续斜拉这个平行四边形,(面积
)越来越小,而(周长
)不变。(最后两空选填“周长”或“面积”)
答案:
平行四边形 容易变形 面积 周长
5. 在有余数的除法里,被除数= (
商
)×(除数
)+(余数
)。
答案:
商 除数 余数
1. 下面四个数中,读数时只读一个0的是(
A.49000700
B.4970000
C.40900700
A
)。A.49000700
B.4970000
C.40900700
答案:
A
2. 估一估,下面这个长方形的面积大约是(

A.1公顷
B.10公顷
C.10平方千米
B
)。A.1公顷
B.10公顷
C.10平方千米
答案:
B
3. 把一个平角分成两个角,得到的可能是(
①2个锐角 ②2个直角 ③2个钝角 ④1个钝角和1个锐角
A.①②
B.②③
C.②④
C
)。①2个锐角 ②2个直角 ③2个钝角 ④1个钝角和1个锐角
A.①②
B.②③
C.②④
答案:
C
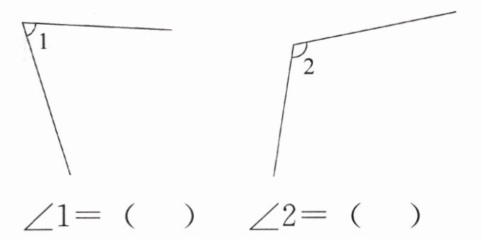
四、量出下面各角的度数。

70° 110°
答案:
70° 110°
查看更多完整答案,请扫码查看