2025年暑假作业兰州大学出版社高一地理
注:目前有些书本章节名称可能整理的还不是很完善,但都是按照顺序排列的,请同学们按照顺序仔细查找。练习册 2025年暑假作业兰州大学出版社高一地理 答案主要是用来给同学们做完题方便对答案用的,请勿直接抄袭。
2020年年初,“共饮最暖云咖啡”成为网络热门话题。武汉一家咖啡店每天免费为附近的医护人员送咖啡,众多网友通过网络下单,表达对这份善意和这场战“疫”的支持。这也体现了服务业与现代技术的结合。据此,完成1~2题。
1.城市中的咖啡店 (
A.均分布于城市中心,为全市居民服务
B.分散在城市中,多与其他服务业集聚
C.主要分布在高速公路沿线,服务郊区
D.为利用便捷网络,集中于中心商务区
2.现代服务业受 (
A.交通的影响逐渐减弱
B.市场的影响逐渐减弱
C.科技的影响逐渐增强
D.距离的影响逐渐增强
1.城市中的咖啡店 (
B
)A.均分布于城市中心,为全市居民服务
B.分散在城市中,多与其他服务业集聚
C.主要分布在高速公路沿线,服务郊区
D.为利用便捷网络,集中于中心商务区
2.现代服务业受 (
C
)A.交通的影响逐渐减弱
B.市场的影响逐渐减弱
C.科技的影响逐渐增强
D.距离的影响逐渐增强
答案:
【解析】:1. 城市中咖啡店服务范围较小,不可能均分布于城市中心为全市居民服务,A错误;咖啡店分散在城市各处,多与其他服务业集聚以共享客源,B正确;高速公路沿线主要服务过往车辆,不是咖啡店主要分布区,C错误;咖啡店分布与网络便捷性有关,但并非集中于中心商务区,D错误。
2. 现代服务业如网络咖啡订单等,依赖科技手段,科技的影响逐渐增强,C正确;交通、市场对现代服务业影响依然重要,距离影响因科技发展逐渐减弱,A、B、D错误。
【答案】:1.B
2.C
2. 现代服务业如网络咖啡订单等,依赖科技手段,科技的影响逐渐增强,C正确;交通、市场对现代服务业影响依然重要,距离影响因科技发展逐渐减弱,A、B、D错误。
【答案】:1.B
2.C
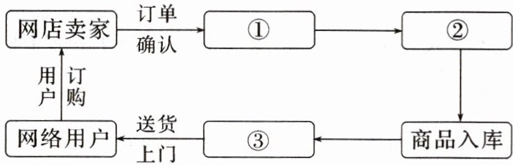
网上购物,网民足不出户就可以货比三家,并且网购具有“商品种类齐全、价格实惠、送货上门”等优势。结合“某商品网购物流示意图”,完成3~4题。

3.①②③网购流程环节排序正确的是 (
A.订单分发、物流配送、采购
B.订单分发、采购、物流配送
C.物流配送、订单分发、采购
D.物流配送、采购、订单分发
4.与传统商业流通相比,网购的优点不包括 (
A.效率高
B.成本低
C.风险小
D.结算简便
3.①②③网购流程环节排序正确的是 (
B
)A.订单分发、物流配送、采购
B.订单分发、采购、物流配送
C.物流配送、订单分发、采购
D.物流配送、采购、订单分发
4.与传统商业流通相比,网购的优点不包括 (
C
)A.效率高
B.成本低
C.风险小
D.结算简便
答案:
【解析】:3. 题目考查网购流程环节排序。根据示意图,用户订购后,网店卖家确认订单,之后应先进行订单分发(①),订单分发后需要采购商品(②),采购的商品入库,再由物流配送(③)给网络用户。所以①是订单分发,②是采购,③是物流配送,B选项正确。
4. 题目考查网购与传统商业流通相比的优点。网购通过网络平台,减少中间环节,效率高、成本低,且多采用线上结算,结算简便。但网购存在商品质量不符、退换货等风险,风险并不小,C选项符合题意。
【答案】:3.B
4.C
4. 题目考查网购与传统商业流通相比的优点。网购通过网络平台,减少中间环节,效率高、成本低,且多采用线上结算,结算简便。但网购存在商品质量不符、退换货等风险,风险并不小,C选项符合题意。
【答案】:3.B
4.C
生产性服务业是指为生产、商务活动而非直接向个体消费者提供服务的行业。生产性服务业在市中心的集聚,形成集聚效应,但过度集聚也会产生一些城市问题。下图示意影响生产性服务业的三大因素。读图,完成5~7题。

5.以下行业中属于生产性服务业的是 (
A.餐饮业
B.旅游业
C.家电生产
D.软件开发
6.市中心大量的民用住宅转租成办公场所,是 (
A.区位条件引起的扩散
B.经济导向引起的集聚
C.政府规划引起的集聚
D.政府规划引起的扩散
7.针对市中心生产性服务业过度集聚的现象,政府可以引导 (
A.市区的金融机构迁至郊区
B.市中心发展现代物流业
C.技术服务业迁至高校园区
D.减少市中心的办公用地
5.以下行业中属于生产性服务业的是 (
D
)A.餐饮业
B.旅游业
C.家电生产
D.软件开发
6.市中心大量的民用住宅转租成办公场所,是 (
B
)A.区位条件引起的扩散
B.经济导向引起的集聚
C.政府规划引起的集聚
D.政府规划引起的扩散
7.针对市中心生产性服务业过度集聚的现象,政府可以引导 (
C
)A.市区的金融机构迁至郊区
B.市中心发展现代物流业
C.技术服务业迁至高校园区
D.减少市中心的办公用地
答案:
【解析】:5. 题目考查生产性服务业的概念。生产性服务业是为生产、商务活动服务,非直接向个体消费者。餐饮业、旅游业直接服务个体消费者,A、B错;家电生产是制造业,C错;软件开发为生产、商务活动提供技术支持,D对。
6. 市中心民用住宅转租办公场所,是因市中心经济活动集中,办公需求大,租金高,吸引住宅转为办公,属于经济导向的集聚,B对;不是扩散,A、D错;非政府规划,C错。
7. 过度集聚问题需合理引导扩散。金融机构对市中心区位依赖大,迁至郊区不合适,A错;现代物流业占地大,市中心土地紧张,B错;高校园区有人才、技术优势,技术服务业迁至高校园区可利用资源,C对;减少市中心办公用地不现实,D错。
【答案】:5.D
6.B
7.C
6. 市中心民用住宅转租办公场所,是因市中心经济活动集中,办公需求大,租金高,吸引住宅转为办公,属于经济导向的集聚,B对;不是扩散,A、D错;非政府规划,C错。
7. 过度集聚问题需合理引导扩散。金融机构对市中心区位依赖大,迁至郊区不合适,A错;现代物流业占地大,市中心土地紧张,B错;高校园区有人才、技术优势,技术服务业迁至高校园区可利用资源,C对;减少市中心办公用地不现实,D错。
【答案】:5.D
6.B
7.C
查看更多完整答案,请扫码查看