2025年轻松总复习暑假作业三年级数学
注:目前有些书本章节名称可能整理的还不是很完善,但都是按照顺序排列的,请同学们按照顺序仔细查找。练习册 2025年轻松总复习暑假作业三年级数学 答案主要是用来给同学们做完题方便对答案用的,请勿直接抄袭。
第17页
- 第1页
- 第2页
- 第3页
- 第4页
- 第5页
- 第6页
- 第7页
- 第8页
- 第9页
- 第10页
- 第11页
- 第12页
- 第13页
- 第14页
- 第15页
- 第16页
- 第17页
- 第18页
- 第19页
- 第20页
- 第21页
- 第22页
- 第23页
- 第24页
- 第25页
- 第26页
- 第27页
- 第28页
- 第29页
- 第30页
- 第31页
- 第32页
- 第33页
- 第34页
- 第35页
- 第36页
- 第37页
- 第38页
- 第39页
- 第40页
- 第41页
- 第42页
- 第43页
- 第44页
- 第45页
- 第46页
- 第47页
- 第48页
- 第49页
- 第50页
- 第51页
- 第52页
- 第53页
- 第54页
- 第55页
- 第56页
- 第57页
- 第58页
- 第59页
- 第60页
- 第61页
- 第62页
- 第63页
- 第64页
- 第65页
- 第66页
- 第67页
- 第68页
- 第69页
- 第70页
- 第71页
- 第72页
- 第73页
- 第74页
- 第75页
- 第76页
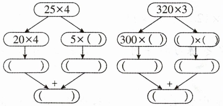
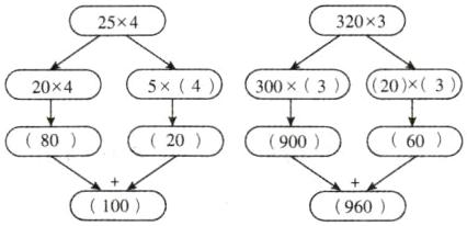
$16×5= (
想:$10×(
$(
$(
所以$16×5= (
80
)$想:$10×(
5
)= (50
)$,$(
6
)×(5
)= (30
)$,$(
50
)+(30
)= (80
)$,所以$16×5= (
80
)$。
答案:
80 5 50 6 5 30 50 30 80 80
【典例2】我会填。

答案:
【典例3】判断对错,并改正。
(1)
$\begin{array}{r}24\\×29\\\hline216\\48\\\hline264\end{array} $
改正:
(
(2)
$\begin{array}{r}28\\×21\\\hline28\\46\\\hline488\end{array} $
改正:
(
(1)
$\begin{array}{r}24\\×29\\\hline216\\48\\\hline264\end{array} $
改正:
(
×
)(2)
$\begin{array}{r}28\\×21\\\hline28\\46\\\hline488\end{array} $
改正:
(
×
)
答案:
(1)× 正确得数为:696
(2)× 正确得数为:588
(1)× 正确得数为:696
(2)× 正确得数为:588
【典例4】列竖式计算,并验算。
$23×18=$
验算:
$29×92=$
验算:
$23×18=$
414
验算:
18×23=414
$29×92=$
2668
验算:
92×29=2668
答案:
1. 计算$23×18$:
列竖式:
$23×18$,先算$23×8 = 184$,再算$23×10 = 230$,最后$184 + 230 = 414$。
验算:
交换因数位置,$18×23$,先算$18×3 = 54$,再算$18×20 = 360$,最后$54 + 360 = 414$。
2. 计算$29×92$:
列竖式:
$29×92$,先算$29×2 = 58$,再算$29×90 = 2610$,最后$58 + 2610 = 2668$。
验算:
交换因数位置,$92×29$,先算$92×9 = 828$,再算$92×20 = 1840$,最后$828 + 1840 = 2668$。
综上,$23×18 = 414$,$29×92 = 2668$。
列竖式:
$23×18$,先算$23×8 = 184$,再算$23×10 = 230$,最后$184 + 230 = 414$。
验算:
交换因数位置,$18×23$,先算$18×3 = 54$,再算$18×20 = 360$,最后$54 + 360 = 414$。
2. 计算$29×92$:
列竖式:
$29×92$,先算$29×2 = 58$,再算$29×90 = 2610$,最后$58 + 2610 = 2668$。
验算:
交换因数位置,$92×29$,先算$92×9 = 828$,再算$92×20 = 1840$,最后$828 + 1840 = 2668$。
综上,$23×18 = 414$,$29×92 = 2668$。
【典例5】时尚服装店新进一批牛仔裤,每条售价130元,如果平均每天能卖3条,一个星期正好全卖完,这批牛仔裤一共能卖多少元钱?
答案:
130×3×7
=390×7
=2730(元)
答:这批牛仔裤一共能卖2730元钱。
=390×7
=2730(元)
答:这批牛仔裤一共能卖2730元钱。
查看更多完整答案,请扫码查看