2025年暑假总动员一年级数学北师大版宁夏人民教育出版社
注:目前有些书本章节名称可能整理的还不是很完善,但都是按照顺序排列的,请同学们按照顺序仔细查找。练习册 2025年暑假总动员一年级数学北师大版宁夏人民教育出版社 答案主要是用来给同学们做完题方便对答案用的,请勿直接抄袭。
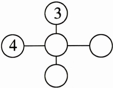
例1 在$◯$
里填上5,6,7三个数字,使横行、竖行的三个数字的和都是15。

分析 (1)解决数阵问题,关键在于找准突破口。方法是从数阵中已知的数入手,算出能求出的数。
(2)观察数阵,竖行最上面的数字是3,剩下的两个数字的和是(
(3)观察发现,中间的数字是横行和竖行共有的数字,确定中间的数字是解决问题的关键。通过上面的分析可知中间的数字是(
思考过程如下:
通过分析,可知中间应该填共同需求的数字“5”,则5的下方填(
分析 (1)解决数阵问题,关键在于找准突破口。方法是从数阵中已知的数入手,算出能求出的数。
(2)观察数阵,竖行最上面的数字是3,剩下的两个数字的和是(
12
),是5,6,7三个数字中(5
)与(7
)的和.同样可以判断横行剩下的两个数字的和是(11
),是5,6,7三个数字中(5
)与(6
)的和。(3)观察发现,中间的数字是横行和竖行共有的数字,确定中间的数字是解决问题的关键。通过上面的分析可知中间的数字是(
5
)。试一试,你能将上面的数阵填完整吗?思考过程如下:
通过分析,可知中间应该填共同需求的数字“5”,则5的下方填(
7
),5的右边填(6
)。
答案:
例1:
(2)12 5 7 11 5 6
(3)5 7 6
(2)12 5 7 11 5 6
(3)5 7 6
1. 如图,选择数字0,1,2,3,4,5,6,7,8,9填在下图的$◯$里。在每一道题中,同一个数字不能重复出现。每条直线上的三个数字的和为10。

答案:
1.答案合理即可,如:
1.答案合理即可,如:
查看更多完整答案,请扫码查看