二、选择。
新趋势 算法探究 一台复印机每分钟能复印48页。要复印一份272页的书稿,5分钟能复印完吗?两名同学分别用了下面两种估算方法,(

A.乐乐
B.珊珊
C.乐乐和珊珊
新趋势 算法探究 一台复印机每分钟能复印48页。要复印一份272页的书稿,5分钟能复印完吗?两名同学分别用了下面两种估算方法,(
C
)的方法合理。A.乐乐
B.珊珊
C.乐乐和珊珊
答案:
C
1. 直接写出得数。
$560÷7=
$96÷6=
$560÷7=
80
$ $25×4=100
$ $800÷4=200
$ $25×5=125
$$96÷6=
16
$ $24×3=72
$ $75÷5=15
$ $80÷5=16
$
答案:
560÷7=80;25×4=100;800÷4=200;25×5=125;96÷6=16;24×3=72;75÷5=15;80÷5=16
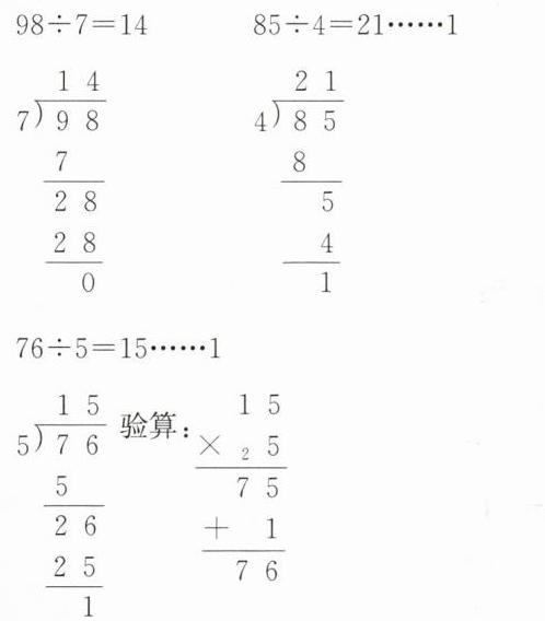
2. 用竖式计算,带☆的要验算。
$98÷7$ $85÷4$ $☆76÷5$
$98÷7$ $85÷4$ $☆76÷5$
答案:
1. 幼儿园的5位老师带着75名儿童到野外游玩,午间搭帐篷休息,至少要搭多少顶帐篷?

答案:
5+75=80(人)80÷6=13(顶)……2(人)13+1=14(顶)
2. 新趋势 创新应用 “我在高州有棵荔枝树”定制活动正在进行中。定制者只需要支付运费,最新鲜的荔枝便能送到家。定制者李阿姨付了96元运费,她收到的荔枝重多少千克?
运费价格
1千克及以内16元;超出1千克的部分,每千克8元。
运费价格
1千克及以内16元;超出1千克的部分,每千克8元。
答案:
96-16=80(元)80÷8=10(千克)10+1=11(千克)解析:荔枝的运费是分段计费。李阿姨付的运费除了1千克及以内的16元,超出1千克的部分付了96-16=80(元),超出1千克的部分每千克8元,所以收到的荔枝除了1千克外还有80÷8=10(千克),一共重10+1=11(千克)。
查看更多完整答案,请扫码查看