第14页
- 第1页
- 第2页
- 第3页
- 第4页
- 第5页
- 第6页
- 第7页
- 第8页
- 第9页
- 第10页
- 第11页
- 第12页
- 第13页
- 第14页
- 第15页
- 第16页
- 第17页
- 第18页
- 第19页
- 第20页
- 第21页
- 第22页
- 第23页
- 第24页
- 第25页
- 第26页
- 第27页
- 第28页
- 第29页
- 第30页
- 第31页
- 第32页
- 第33页
- 第34页
- 第35页
- 第36页
- 第37页
- 第38页
- 第39页
- 第40页
- 第41页
- 第42页
- 第43页
- 第44页
- 第45页
- 第46页
- 第47页
- 第48页
- 第49页
- 第50页
- 第51页
- 第52页
- 第53页
- 第54页
- 第55页
- 第56页
- 第57页
- 第58页
- 第59页
- 第60页
- 第61页
- 第62页
- 第63页
- 第64页
- 第65页
- 第66页
- 第67页
- 第68页
- 第69页
- 第70页
- 第71页
- 第72页
- 第73页
- 第74页
- 第75页
- 第76页
(2024安庆期末)下图示意亚洲沿30°N地形剖面。据此完成7~9题。

7. 与图中甲山脉的形成密切相关的两大板块是 (
A. 太平洋板块、亚欧板块
B. 非洲板块、亚欧板块
C. 印度洋板块、亚欧板块
D. 非洲板块、印度洋板块
8. 乙地形区对亚洲河流发育的影响主要体现在 (
A. 径流量季节变化
B. 河流结冰期
C. 河流含沙量
D. 河流流向
9. 丙、丁所在的亚洲地理分区人口稠密的主要原因是 (
A. 自然条件优越,人类居住的历史悠久
B. 位于低纬度地区,气候温暖湿润
C. 特产丰富,经济发达,人口大量迁入
D. 资本主义发展早,商业活动频繁
7. 与图中甲山脉的形成密切相关的两大板块是 (
C
)A. 太平洋板块、亚欧板块
B. 非洲板块、亚欧板块
C. 印度洋板块、亚欧板块
D. 非洲板块、印度洋板块
8. 乙地形区对亚洲河流发育的影响主要体现在 (
D
)A. 径流量季节变化
B. 河流结冰期
C. 河流含沙量
D. 河流流向
9. 丙、丁所在的亚洲地理分区人口稠密的主要原因是 (
A
)A. 自然条件优越,人类居住的历史悠久
B. 位于低纬度地区,气候温暖湿润
C. 特产丰富,经济发达,人口大量迁入
D. 资本主义发展早,商业活动频繁
答案:
7. C 8. D 9. A
10. 某中学地理兴趣小组探究“大洲的地理位置和自然环境及其相互影响”,搜集了如下资料,请你与该小组一起完成探究任务。

探究一:认识自然地理特征
[地理位置]
(1)从纬度位置看,亚洲和北美洲都被
[地形特征]
(2)读图可知,亚洲中部地形以
[气候特征]
(3)亚洲和北美洲共同的气候特征是
(4)读图2可知,亚洲同纬度地区的A地气温比B地低,主要受
[河流特征]
(5)受地形地势的影响,亚洲的许多大河呈放射状流向周边海洋;请你描述密西西比河东西两侧主要支流的流向特点:
探究二:地理要素间的相互影响
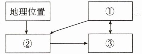
(6)把“地形、气候、河流”填在合适的位置,补充完整地理要素关系图。

①
探究一:认识自然地理特征
[地理位置]
(1)从纬度位置看,亚洲和北美洲都被
北极圈和北回归线
穿过,跨寒、温、热三带;从海陆位置看,亚洲和北美洲共同濒临北冰洋和太平洋
两个大洋。[地形特征]
(2)读图可知,亚洲中部地形以
高原、山地
为主,北美洲的地势特征是东西高、中部低
。[气候特征]
(3)亚洲和北美洲共同的气候特征是
气候复杂多样或大陆性气候分布广
。(4)读图2可知,亚洲同纬度地区的A地气温比B地低,主要受
地形地势
的影响。[河流特征]
(5)受地形地势的影响,亚洲的许多大河呈放射状流向周边海洋;请你描述密西西比河东西两侧主要支流的流向特点:
从东西两侧汇入中部干流
。探究二:地理要素间的相互影响
(6)把“地形、气候、河流”填在合适的位置,补充完整地理要素关系图。
①
地形
,②气候
,③河流
。
答案:
(1)北极圈和北回归线 北冰洋和太平洋
(2)高原、山地 东西高、中部低
(3)气候复杂多样或大陆性气候分布广
(4)地形地势
(5)从东西两侧汇入中部干流
(6)地形 气候 河流
(1)北极圈和北回归线 北冰洋和太平洋
(2)高原、山地 东西高、中部低
(3)气候复杂多样或大陆性气候分布广
(4)地形地势
(5)从东西两侧汇入中部干流
(6)地形 气候 河流
查看更多完整答案,请扫码查看