1、已知全集,集合,则

试题详情>>

A.     B.      C.    D.

试题详情>>

2、某大型超市销售的乳类商品有四种:液态奶、酸奶、婴幼儿奶粉、成人奶粉,且液态奶、酸奶、婴幼儿奶粉、成人奶粉分别有40种、10种、30种、20种不同的品牌,现从中抽取一个容量为20的样本进行三聚氰胺安全检测.若采用分层抽样的方法抽取样本,则抽取的酸奶与成人奶粉品牌数之和是

A.7       B.6       C.5       D.4

试题详情>>

3、已知定义在复数集上的函数满足,则等于 

试题详情>>

A.            B.           C.              D.

试题详情>>

4、已知两个平面,直线,则“”是“直线”的

A.充分不必要条件                 B.必要不充分条件

C.充要条件                  D.既不充分也不必要条件

试题详情>>

5、已知函数,其导函数的部分图象如图所示,则函数的解析式为

试题详情>>

6、下列命题中是假命题的是

试题详情>>

A.上递减

试题详情>>

D.都不是偶函数

试题详情>>

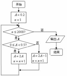
7、已知某程序框图如图所示,则该程序运行后输出的结果为

试题详情>>

A.                 B.

试题详情>>

C.                 D.

试题详情>>

8、对于非零向量,定义运算“#”:

试题详情>>

,其中的夹角.有两两不共线的三个向量,下列结论:①若,则;②;③若,则;④;⑤.其中正确的个数有

A.1个      B.2个      C.3个      D.4个

试题详情>>

9、已知满足且目标函数的最大值为7,最小值为1,

试题详情>>

A.2         B.1           C.-1          D.-2

试题详情>>

10、定义在上的函数满足,当,则

试题详情>>

A.              B.

试题详情>>

C.            D.

 

第Ⅱ卷(非选择题 共100分)

试题详情>>

11、已知双曲线的右焦点为,一条渐近线方程为,则此双曲线的标准方程是   ▲   

 

试题详情>>

12、已知某个几何体的三视图如图所示,根据图中标出的尺寸(单位:cm),可得这个几何体的体积是  ▲ cm3

 

试题详情>>

13、若的展开式中,二项式系数最大的项只有第三项,则展开式中常数项的值为  ▲   .(用数字作答)

 

试题详情>>

14、若过点可作圆的两条切线,则实数的取值范围为 ▲ 

 

试题详情>>

15、已知一个公园的形状如图所示,现有4种不同的植物要种在此公园的A,B,C,D,E这五个区域内,要求有公共边界的的两块相邻区域种不同的植物,共有 ▲   种不同的种法.

 

试题详情>>

16、由9个正数组成的矩阵中,每行中的三个数成等差数列,且

试题详情>>

成等比数列.给出下列结论:①第2列中的必成等比数列;②第1列中的不一定成等比数列;③;④若9个数之和等于9,则.其中正确的序号有

试题详情>>

  ▲   (填写所有正确结论的序号).

试题详情>>

17、若函数,其图象如图所示,则    ▲   

 

 

试题详情>>

18、(本小题14分)

试题详情>>

中,角A、B、C的对边分别为a、b、c,且边上的中线的长为

试题详情>>

(Ⅰ) 求角和角的大小;

试题详情>>

(Ⅱ) 求的面积.

 

 

 

 

试题详情>>

19、(本小题14分)

试题详情>>

盒子中装着标有数字1、2、3、4的卡片分别有1张、2张、3张、4张,从盒子中任取3张卡片,每张卡片被取出的可能性都相等,用表示取出的3张卡片的最大数字,求:

(Ⅰ)取出的3张卡片上的数字互不相同的概率;

试题详情>>

(Ⅱ)随机变量的概率分布和数学期望;

试题详情>>

(Ⅲ)设取出的三张卡片上的数字之和为,求

 

 

 

 

试题详情>>

20、(本小题14分)

试题详情>>

如图,已知为平行四边形,,点上,于点,现将四边形沿折起,使点在平面上的射影恰在直线上.

试题详情>>

(Ⅰ) 求证:平面

试题详情>>

(Ⅱ) 求折后直线与直线所成角的余弦值;

试题详情>>

(Ⅲ) 求三棱锥的体积.

试题详情>>



 

 

 

 

 

 

 

试题详情>>

21、(本小题15分)

试题详情>>

已知椭圆的长轴长为,离心率为分别为其左右焦点.一动圆过点,且与直线相切.

试题详情>>

(Ⅰ) (?)求椭圆的方程;

试题详情>>

(?)求动圆圆心轨迹的方程;

试题详情>>

(Ⅱ) 在曲线上有两点,椭圆上有两点,满足共线,共线,且,求四边形面积的最小值.

 

 

 

 

试题详情>>

22、(本小题15分)

试题详情>>

已知函数

试题详情>>

(Ⅰ) 若的极值点,求实数的值;

试题详情>>

(Ⅱ) 若上为增函数,求实数的取值范围;

试题详情>>

(Ⅲ) 若时,方程有实根,求实数的取值范围.

 

 

 

 

 

 

 

 

 

 

 

 

 

 

 

 

 

 

 

 

 

宁波市2009年高三模拟考试卷

试题详情>>
关闭