1.关于我国发射的“亚洲一号”地球同步通讯卫星的下列说法中正确的是

    A.若其质量加倍,则轨道半径也要加倍

    B.它在北京上空运行,故可用于我国的电视广播

    C.它以第一宇宙速度运行

    D.它运行的角速度与地球自转角速度相同

试题详情>>

2.三个相同的金属小球a、b和c,原来c不带电,而a和b带等量异种电荷,相隔一定距离放置,a、b之间的静电力大小为F。现将c球分别与a、b接触后拿开,则a、b之间的静电力大小将变为

A.F/2                                                      B.F/4

C.F/8                                                      D.3F/8

试题详情>>

3.如图所示的电路,闭合开关S,滑动变阻器滑片6ec8aac122bd4f6e向左移动,下列结论正确的是

试题详情>>

       A.电流表读数变小,电压表读数变大

试题详情>>

       B.小电泡6ec8aac122bd4f6e变亮

       C.电容器C上电荷量减小

       D.电源的总功率变大

试题详情>>

4.如图所示,虚线a、b、c代表电场中的三个等势面,相邻等势面之间的电势差相等,即6ec8aac122bd4f6e.实线为一带正电的质点仅在电场力作用下通过该区域时的运动轨迹,P、Q是这条轨迹上的两点,据此可知

试题详情>>

       A.三个等势面中,a的电势最高

       B.带电质点通过P点时的电势能较大

       C.带电质点通过P点时的动能较大

       D.带电质点通过P点时的加速度较小

试题详情>>

5.物体做自由落体运动,6ec8aac122bd4f6e表示动能,6ec8aac122bd4f6e表示势能,6ec8aac122bd4f6e表示下落的距离,以水平地面为零势能面,下列所示图像中,能正确反映各物理量之间关系的是

试题详情>>

6.一轻杆一端固定质量为m的小球,以另一端6ec8aac122bd4f6e为圆心,使小球在竖直平面内作半径为R的圆周运动,如图所示,则

试题详情>>

       A.小球过最高点时,杆所受弹力可以为零

试题详情>>

       B.小球过最高点时的最小速度是6ec8aac122bd4f6e

       C.小球过最高点时,杆对球的作用力可以与球所受重力方向相反,此时重力一定大于或等于杆对球的作用力

       D.小球过最高点时,杆对球的作用力一定跟小球所受重力的方向相反

试题详情>>

7.如图所示,质量为m的小球6ec8aac122bd4f6e沿高度为6ec8aac122bd4f6e倾角为6ec8aac122bd4f6e的光滑斜面以初速6ec8aac122bd4f6e滑下.同时另一   个质量与6ec8aac122bd4f6e相同的小球6ec8aac122bd4f6e自相同高度由静止落下,结果两球同时落地。下列说法正确的是

试题详情>>

       A.落地前的瞬间6ec8aac122bd4f6e球的速度大于6ec8aac122bd4f6e球的速度

       B.重力对两球做的功相同

试题详情>>

       C.落地前的瞬间6ec8aac122bd4f6e球重力的瞬时功率大于6ec8aac122bd4f6e球重力的瞬时功率

       D.两球重力的平均功率一定相同

试题详情>>

8.理发用的电吹风机中有电动机和电热丝,电动机带动风叶转动,电热丝给空气加热,得到热风将头发吹干。设电动机线圈的电阻为R1,它与电热丝的电阻R2相串联,接到电源上时,电吹风机两端电压为U,电流为I,消耗的电功率为P,则有

      A.P=I2(R1+R2)                                       B.P=IU

       C.P=U2/(Rl+R2)                                   D.P>I2(Rl+R2

试题详情>>

9.平行板电容器的两极板A、B接于电池两极,一带正电小球悬挂于电容器内部,闭合开   关S,电容器充电,这时悬线偏离竖直方向的夹角为6ec8aac122bd4f6e,如图所示,则

试题详情>>

       A.保持开关S闭合,带正电的A板向B板靠近,则6ec8aac122bd4f6e不变

试题详情>>

       B.保持开关S闭合,带正电的A板向B板靠近,则6ec8aac122bd4f6e增大

试题详情>>

       C.开关S断开,带正电的A板向B板靠近,则6ec8aac122bd4f6e不变

试题详情>>

       D.开关S断开,带正电的A板向B板靠近,则6ec8aac122bd4f6e增大

试题详情>>

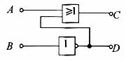
10.(6分)

       在如图所示的逻辑电路中,当么端输入电信号“1”、B端输入电信号“l”时,则在C端输出的电信号为     ,D端输出的电信号为       。(填“1”或“0”

试题详情>>

11.(10分)

       (1)利用重锤的自由下落验证机械能守恒定律,下面哪些测量工具是必需的?        

      A.天平                                                      B.4~6V的低压直流电源

      C.刻度尺                                                   D.停表   

试题详情>>

    (2)在使用重锤和打点计时器验证机械能守恒定律的实验中,选定了一条较为理想的纸带,如图所示,“0”为起始点,以后纸带上所打的各点依次记为1、2、3….测得重锤从开始运动到各时刻下落的高度分别是s1、s2、s3…,则重物由“0”点运动到“4”点,重力势能减少量的表达式为        ,动能增量的表达式为          (重锤质量为m,打点计时器的打点周期为T),实验结果发现动能增量总             (填“大于”、“等于”或“小于”)重力势能的减少量,主要的原因是                                 

试题详情>>

12.(16分)

       (1)用螺旋测微器测金属导线一的直径,其示数如图所示,该金属导线的直径为________         mm.

试题详情>>

       (2)实验桌上有下列实验仪器:

试题详情>>

       A.待测电源(电动势约3V,内阻约76ec8aac122bd4f6e);

试题详情>>

       B.直流电流表(量程0~0.6~3A,0.6A档的内阻约0.56ec8aac122bd4f6e3A档的内阻约0.16ec8aac122bd4f6e;)

试题详情>>

       C.直流电压表(量程0~3~15V,3V档内阻约5k6ec8aac122bd4f6e,1.5V档内阻约25k6ec8aac122bd4f6e);

试题详情>>

       D.滑动变阻器(阻值范围为0~156ec8aac122bd4f6e,允许最大电流为lA);

试题详情>>

       E.滑动变阻器(阻值范围为O~10006ec8aac122bd4f6e,允许最大电流为0.2A);

       F.开关、导线若干;

试题详情>>

       G.小灯泡"4V、0.4A"。

请你解答下列问题:

①利用给出的器材测量电源的电动势和内阻,要求测量有尽可能高的精度且便于调节,应选择的滑动变阻器是                 (填序号)。

②请将图甲中实物连接成实验电路图;

试题详情>>

③某同学根据测得的数据,作出电源的6ec8aac122bd4f6e图象如图乙中图线6ec8aac122bd4f6e所示,由此可知电源的电动势 6ec8aac122bd4f6e             V,内阻6ec8aac122bd4f6e            6ec8aac122bd4f6e

试题详情>>

6ec8aac122bd4f6e

④若要利用给出的器材通过实验描绘出小灯泡的伏安特性曲线,要求测量多组实验数据,且电压从零开始连续变化,请你在虚线框内画出实验原理电路图:

试题详情>>

⑤将④中得到的数据在同一6ec8aac122bd4f6e坐标系内描点作图,得到如图乙所示的图线6ec8aac122bd4f6e,如果将此小灯泡与上述电源组成闭合回路,此时小灯泡的实际功率为      W.

试题详情>>

13.(14分)

2007年10月24日18时05分,我国成功发射了“嫦娥一号”探月卫星。某同学查阅了一些与地球、月球有关的数据资料并设计了以下两个问题。

       (1)已知地球半径为R,地球表面的重力加速度为g,月球绕地球运动的周期为T,月球绕地球的运动可以近似看做匀速圆周运动。试求月球绕地球运动的轨道半径r。

       (2)假设某宇航员乘登月飞船登陆月球后,在月球表面用弹簧秤测出质量为m的物体重力为F0已知月球半径为R,万有引力常量G。试求月球的质量M

试题详情>>

14.(14分)

试题详情>>

       如图所示,为使带负电的点电荷q在一匀强电场中沿直线匀速地由A点运动到B点,必须对该电荷施加一个恒力F,如图所示。若AB=20cm6ec8aac122bd4f6e37°,q=-3×10-7C,F=1.2×10-4k,A点的电势6ec8aac122bd4f6e(不计负电荷的重力),求:

试题详情>>

      (1)B点的电势是多少?

  (2)在图中用实线画出电场线,用虚线画出通过A、B两点的等势面,并标明它们的电势;

试题详情>>

       (3)点电荷q在由A到B的过程中电势能的变化量是多少?(sin37°=0.6,cos37°=0.8)

试题详情>>

15.(13分)

试题详情>>

       一辆汽车的质量为5×103kg,发动机的额定功率为60 kW,汽车所受阻力恒为5 000 N,如果汽车从静止开始以0.5 m/s2的加速度做匀加速直线运动,功率达到额定值后,又以额定功率运动了一段距离,汽车达到最大速度,在整个过程中,汽车运动了125 m.问在这个过程中,汽车发动机的桥引力做功多少?下面是某位同学的 解法:

试题详情>>

6ec8aac122bd4f6e6ec8aac122bd4f6e

       (1)这位同学的解法是否正确?

       (2)若不正确,请给出正确的解法。

试题详情>>

16.(16分)

       如图所示,光滑绝缘的细圆管弯成半径为R的半圆形,固定在竖直面内,管口B、C的连线是水平直径,现有一带正电小球(可视为质点)从B点正上方的A点自由下落,A、B两点间距离为4R,从小球进入管口开始,整个空间中突然加上一个匀强电场,电场力竖直向上的分力大小与重力大小相等,结果小球运动到管口C时对圆管的外壁压力为3mg。设小球运动过程中带电量没有改变,重力加速度为g,求:

试题详情>>

       (1)小球到达B点的速度大小:

       (2)小球受到的电场力的大小和方向;

       (3)小球从管口C处脱离圆管后,其运动轨迹经过AB连线上某点P,P点到B点的距离;

       (4)小球到达P点的速度的大小和方向。

试题详情>>
关闭