1.放射性元素的原子核在α衰变或β衰变生成新原子核时,往往会同时伴随______辐射。在α射线、β射线、X射线、红外线、γ射线、紫外线中,不属于电磁波的为_____________。

试题详情>>

2.一物体从某一行星表面竖直向上抛出(不计空气阻力)。t=0时抛出,得到如图所示的s-t图象,则该行星表面重力加速度大小为    m/s2,物体被抛出时的初速度大小为________________m/s。

试题详情>>

3.左图为一列简谐横波在t=20 秒时波形图,右图是x=200厘米处质点P的振动图线,那么该波的传播速度为________厘米/秒,传播方向为________________。

试题详情>>

4.在竖直向上的匀强磁场中,水平放置一个不变形的单匝金属圆线圈,线圈所围的面积为0.1m2,线圈电阻为1.如图1所示.磁场的磁感应强度B随时间t的变化规律如图2所示.则在时间0~5s内感应电流I的方向为__________________,线圈最大发热功率为______________W。

试题详情>>

5.如图所示,在竖直平面内的直角坐标系中,存在一个匀强电场。一个质量为m的电量为q的带电体,从坐标原点O由静止开始恰好沿直线ON斜向下运动,直线ON与y轴负方向成θ角(θ<π/4)。则电场强度E的大小至少为____________;若E=mgtanθ/q,则带电体的电势能大小的变化情况是_________。

试题详情>>

Ⅰ.单项选择题

试题详情>>

6.下列关于简谐振动和机械波的说法正确的是

       A.弹簧振子的周期与振幅有关

       B.单摆作简谐振动需要摆角不大于5°

       C.波传播方向上两个振动情况完全相同的质点间距离为一个波长

       D.波传播方向上的某个质点的振动速度就是波的传播速度

试题详情>>

7.下列说法正确的是 

       A.由于分子总在做无规则运动,因而分子的速率分布没有规律性

B.物体的内能增加,温度一定升高

       C.扩散现象表明分子间不存在引力

       D.温度越高,物体分子热运动的平均动能一定越大

试题详情>>

8.如图所示,一向右开口的汽缸放置在水平地面上,活塞可无摩擦移动且不漏气,汽缸中间位置有小挡板。初始时,外界大气压p0,活塞紧压小挡板处,现缓慢升高缸内气体温度,则下列p-T图象能正确反应缸内气体压强变化情况的是

试题详情>>

      (A)             (B)           (C)            (D) 

试题详情>>

9.如图所示,为某种用来束缚原子的磁场的磁感线分布情况,以O点(图中白点)为坐标原点,沿Z轴正方向磁感应强度B大小的变化最有可能为 

试题详情>>

10.如图所示电路中,电源的电动势为E,内电阻为r,当滑动变阻器的滑片P由a向b滑动的过程中,下列说法正确的

试题详情>>

       A.电流表示数一直减小,电压表示数一直增大

       B.电流表示数一直增大,电压表示数一直减小

       C.电压表读数U与电流表读数I的比值不变

试题详情>>

       D.电压表读数的变化量ΔU与电流表读数的变化量ΔI的比值不变

Ⅱ.多项选择题

试题详情>>

11.下列关于物理学史及物理现象的说法中正确的是

       A.用白光作为光源的杨氏双缝干涉实验中,屏上将呈现黑白相间的条纹

       B.单缝衍射图象中条纹间距随缝宽度的减小而增大

       C.查德威克在用a粒子轰击铍核的实验中发现了中子

       D.用紫光照射某金属能发生光电效应,那么用紫外线照射该金属也一定能发生光电效应

试题详情>>

12.一绝缘细线oa下端系一质量为m的带正电小球,在正下方有一光滑的绝缘水平细杆,一带负电的小球b穿过杆处在左侧较远处,小球由于受到水平绝缘细线的拉力而静止,如图所示,现保持悬线与竖直方向的夹角为,从静止开始在较远处释放小球b,让其从远处沿杆向右移动到a点的正下方,在此过程中

试题详情>>

A.悬线oa的拉力逐渐增大                     B.水平细线的拉力在逐渐减小

C.b球的速度始终增大                           D.b球的加速度为先增大后减小

试题详情>>

13.如图所示,一个物体的离开地面的高度与运动时间平方的关系,则 

试题详情>>

       A.物体在竖直方向为匀加速运动

       B.若h0=20m,则物体可能做平抛运动

       C.若h0=20m,则物体机械能一定守恒

       D.若h0=10m,则物体的机械能可能守恒

试题详情>>

14.如图a所示在光滑水平面上用恒力F拉质量m的单匝均匀正方形铜线框,边长为a,在1位置以速度v0进入磁感应强度为B的匀强磁场并开始计时t=0,若磁场的宽度为b(b>3a),在3t0时刻线框到达2位置速度又为v0并开始离开匀强磁场。此过程中v-t图象如图b所示,则

试题详情>>

       A.t=0时,线框右侧边MN的两端电压为Ba v0

       B.在t0时刻线框的速度为v02F t0/m

       C.线框完全离开磁场的瞬间位置3速度一定比t0时刻线框的速度大

       D.线框从1位置进入磁场到完全离开磁场位置3过程中,线框中产生的电热为2Fb

试题详情>>

15.(4分)在“双缝干涉”实验中,在光屏处放上照相底片,减弱光的强度,使弱光通过狭缝。实验表明:如果曝光时间不太长,底片上只能出现一些不规则的点迹;如果曝光时间足够长,底片上就会出现规则的干涉条纹。对该实验现象的解释正确的是

       A.曝光时间不长时,到达光屏光的光能太少,条纹看不清楚,故出现不规则的点迹;

       B.单个光子的行为表现出粒子性,没有确定的轨道,故出现不规则的点迹;

       C.大量光子的行为表现出粒子性,所以会出现规则的干涉条纹;

       D.干涉条纹中亮条纹处表示有光子到达,暗条纹处表示没有光子到达。

试题详情>>

16.(6分) 在“用DIS描绘电场的等势线”实验中,按图所示连接电路。在电极A、B的连线上等距离地取a、b、c、d、e 等5个基准点。将电压传感器的两个接线柱分别和两个探针相连接。当正接线柱的电势高于负接线柱时,读数为正。

试题详情>>

未标题-12

   (1)若在图中连接电压传感器正接线柱的探针接触a点,连接负接线柱的探针接触b点时,读数为负,则可以判断电极A接在电源的_____极上(选填“正”或“负”)。

20090531

   (3)对于该实验的认识与判断,下列说法正确的是                                          (    )

        A.电压传感器为零时表明所测两点电势相等

        B.如果将一根探针接触连线中点,另一探针从一个电极沿连线逐渐移动到另一电极,电压传感器的读数是逐渐变小的

        C.在实验过程中电极与导电纸的相对位置不能再改变

        D.从实验原理来说,如用电流传感器代替电压传感器亦可以描绘出等势线

试题详情>>

17.(6分)某同学利用如图所示的装置测量当地的重力加速度。实验步骤如下:

试题详情>>

A.按装置图安装好实验装置;

B.用三角尺测量小球的直径 d;

C.用米尺测量悬线的长度 l;

试题详情>>

D.让小球在竖直平面内小角度摆动。当小球经过最低点时开始计时,并计数为0,此后小球每经过最低点一次,依次计数1、2、3……。当数到40时,停止计时,测得时间为 t;

E.多次改变悬线长度,对应每个悬线长度,都重复实验步骤C、D;

F.计算出每个悬线长度对应的 t 2

G.以 t 2 为纵坐标、(l+d)为横坐标,作出 t 2 ?( l+d) 图像。

试题详情>>

   (1)该同学根据实验数据,利用计算机作出 t 2 ? (l+d)图像如图所示。根据图像拟合得到方程为:t 2 =1616.0 (l+d) - 14(s2)。由此可以得出当地的重力加速度g =        m/s2。(取π 2 = 9.86,结果保留3位有效数字)

试题详情>>

   (2)图像没有过坐标原点的原因可能是      (    )

A.不应在小球经过最低点时开始计时,应该在小球运动到最高点开始计时

B.开始计时后,不应记录小球经过最低点的次数,而应记录小球全振动的次数

C.不应作 t 2 ? l+d 图像,而应作 t ?( d+l) 图像

试题详情>>

D.不应作 t 2 ?( l+d) 图像,而应作 t 2 ?(l+d)图像

试题详情>>

18.(6分)如图所示,某小组同学利用DIS实验装置研究支架上力的分解。A、B为两个相同的双向力传感器,该型号传感器在受到拉力时读数为正,受到压力时读数为负。A连接质量不计的细绳,可沿固定的板做圆弧形移动。B固定不动,通过光滑铰链连接长0.3m的杆。将细绳连接在杆右端O点构成支架。保持杆在水平方向,按如下步骤操作:

试题详情>>

①测量绳子与水平杆的夹角∠AOB=θ

②对两个传感器进行调零

③用另一绳在O点悬挂在一个钩码,记录两个传感器读数

④取下钩码,移动传感器A改变θ

重复上述①②③④,得到图示表格a。

   (1)根据表格a,A传感器对应的是表中力    (填“F1或“F2)。钩码质量为     kg(保留1位有效数字)。

F1

试题详情>>

0.580

试题详情>>

1.002

F2

试题详情>>

-0.868

试题详情>>

-0.291

试题详情>>

0.865

θ

30°

60°

150°

   (2)(单选题)本实验中多次对传感器进行调零,对此操作说明正确的是         (    )

A.因为事先忘记调零

B.何时调零对实验结果没有影响

C.为了消除横杆自身重力对结果的影响

D.可以完全消除实验的误差

试题详情>>

19.(8分)图(1)所示电路中,定值电阻R0=10Ω,R为电阻箱,S2为单刀双掷开关.闭合S1,将S2切换到a,调节电阻箱,读出其阻值为R1,记录电压传感器测得的数据为Ul,然后保持电阻箱阻值不变,将S2切换到b,记录电压传感器示数为U2.则电阻Rx的表达式:____________________若电阻Rx=2.5Ω,将S2切换到a,多次调节电阻箱,读出多组电阻箱阻值R和记录对应的电压传感器数据U,对测得的数据进行处理,绘出如图(2)所示的图线.则电源电动势E=_________(V),内阻r=_______(Ω).

试题详情>>

20.(10分)如图所示,足够长的圆柱形气缸竖直放置,其横截面积为1×103m2,气缸内有质量m=2kg的活塞,活塞与气缸壁封闭良好,不计摩擦。开始时活塞被销子K销于如图位置,离缸底12cm,此时气缸内被封闭气体的压强1.5×105 Pa,温度为300K。外界大气压为1.0×105Pa,g=10m/s2

   (1)现对密闭气体加热,当温度升到400K,其压强多大?

   (2)若在此时拔去销子K,活塞开始向上运动,当它最后静止在某一位置时,气缸内气体的温度为360K,则这时活塞离缸底的距离为多少?

试题详情>>

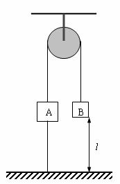
21.(12分)如图所示,物块A的质量为m,物块B 的质量是M。且m<M。二物块用细线通过轻质滑轮连接,物块B 到地面的距离是l。现将物块A下方的细线剪断,A距滑轮足够远且不计一切阻力。

求:物块A上升的最大高度?一位同学解题过程:设A上升的最大高度为h

∵AB整体的机械能守恒最高点时AB的速度为零

∴MgL=mgh∴h=ML/m

你同意上述解法吗?若同意,说明理由;若不同意,求出你认为正确的答案

试题详情>>

22.(12分)一架轰炸式飞机在离地H处沿水平方向作匀加速直线飞行,飞行过程中每隔t秒进行投弹训练,当它飞经某观察点正上方时投放第一颗炸弹,炸弹落在距观察点正前方L1处,第二颗炸弹落地点距第一颗炸弹的落地点正前方L2处.空气阻力不计.

求(1)飞机经过观察点上方时的速度

(2)飞机飞行时的加速度

试题详情>>

23.(12分)如图所示,光滑的足够长的平行水平金属导轨MN、PQ相距l,在M 、P点和N、Q点间各连接一个额定电压为U、阻值恒为R的灯泡,在两导轨间cdfe矩形区域内有垂直导轨平面竖直向上、宽为d的有界匀强磁场,磁感应强度为B0,且磁场区域可以移动。一电阻也为R、长度也刚好为l的导体棒ab垂直固定在磁场左边的导轨上,离灯L1足够远。现让匀强磁场在导轨间以某一恒定速度向左移动,当棒ab处在磁场中时两灯恰好正常工作。棒ab与导轨始终保持良好接触,导轨电阻不计。

   (1)求磁场移动的速度;

   (2)求磁场区域经过棒ab的过程中灯L1所消耗的电能;

   (3)撤掉导体棒ab,并保持磁场不移动(仍在cdfe矩形区域),而是均匀改变磁感应强度,为使两灯正常发光,试求磁感应强度Bt随时间t 的变化规律。

试题详情>>

24.(14分)人骑自行车由静到动,除了要增加人和车的动能以外,还要克服空气及其他阻力做功。为了测量人骑自行车的功率,第一活动小组进行了如下实验:在离出发线5m10m20m30m、……70m的地方分别划上8条计时线,每条计时线上附近站几个学生,手持秒表测运动时间。听到发令员的信号后,受测者全力骑车由出发线启动,同时全体学生都开始计时。自行车每到达一条计时线,站在该计时线上的几个学生就停止计时,记下自行车从出发线到该条计时线的时间。实验数据记录如下(每个计时点的时间都取这几个同学计时的平均值),并计算出各段的平均速度:

试题详情>>

运动距 离s(m)

0

5

10

20

30

40

50

60

70

运动时间t(s)

0

试题详情>>

12.0

各段速度(m/s)

试题详情>>

10.0

第二小组通过测出自行车在各点的速度,作出了v-s图。第9秒时运动了40m的数据本次实验中,学生和自行车总质量约为75kg,设运动过程中,学生和自行车所受阻力与其速度大小成正比,整个过程中该同学骑车的功率P保持不变。

试题详情>>

   (1)第一小组的同学通过分析认为:因为自行车在每一路段内的速度变化不是很大,因此可以用每一段的平均速度代替该段的速度。则在20m30m路段的平均阻力f130 m40 m路段的平均阻力f2之比f1∶f2为多少?该同学的骑车的功率约为多少?速度为6m/s时的加速度多大?

   (2)第二组的同学结合图和(其曲线与横坐标在S=40m内所围的面积总为56格),测出的该同学的骑车的功率约为多少?

试题详情>>
关闭