1.在力学中,我们选定下列哪些物理量的单位作为基本单位           

   A.力、时间、长度 B.质量、力、时间 C.长度、质量、时间 D.力、速度、加速度

试题详情>>

2.简谐波在给定的媒质中传播时,下列说法正确的是             

A.振幅越大,则波传播的速度越快

B.振幅越大,则波传播的速度越慢

C.在一个周期内,振动质元走过的路程等于一个波长

D.振动的频率越高,则波传播一个波长的距离所用的时间越短

试题详情>>

3.在探究做功与速度变化的关系实验中,我们先后用了1条、2条、3条・・・・・・橡皮筋进行第一次、第二次、第三次・・・・・实验。并使每次实验橡皮筋拉伸的长度都一样,这样做的目的是: 

A.可以定量测出每次实验橡皮筋对物体做功的具体数值

B.可以确定每次实验时橡皮筋对物体做功的倍数关系

C.使物体获得尽可能大的动能

D.多次实验,减小实验误差

试题详情>>

4.把一个质量为0.5kg的物体挂在弹簧秤下,在电梯中看到弹簧秤的示数为3N,g取10m/s2,则可知电梯的运动情况可能是                       

   A.以4m/s2的加速度加速上升          B.以4m/s2的加速度减速上升

   C.以4m/s2的加速度加速下降          D.以4m/s2的加速度减速下降

试题详情>>

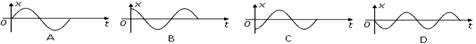
5.一个弹簧振子在A、B间做简谐运动,O为平衡位置,如图所示,以某一时刻t=0为计时起点,经1/4周期,振子具有正方向最大的加速度,那么,在下图所示的振动图线中,能正确反应振子振动情况是(以向右为正方向) 

试题详情>>

6.如图电路中,闭合开关K,当滑动变阻器滑片P从上向下移动时,则 

试题详情>>

A.灯变亮、内电路消耗的功率变大          B.灯变亮、内电路消耗的功率变小

C.灯变暗、内电路消耗的功率变大          D.灯变暗、内电路消耗的功率变小   

试题详情>>

7.已知质点1处为波源,波源的振动周期为T,如图所示,波沿绳子向右传播,根据图中给出的信息,试分析:

试题详情>>

A.质点1已经振动了0.5T

试题详情>>

B.质点4回到平衡位置需要0.25T

C.质点1与7之间的水平距离为一个波长

D.在以后的振动过程中质点1与7振动方向始终相反

试题详情>>

8.在远距离输电时,若输送电压是U时,线路上损失的功率是P,则在输送功率一样的条件下,当输送电压是2U时,则输电线上损失的功率为:  

试题详情>>

A.2P               B.4P             C.0.5P            D.0.25P

试题详情>>

9.如图所示为一理想变压器工作电路图,已知n1:n2=1:2;用则U1、 I1、P1分别表示原线圈两端的电压、原线圈中的电流和输入功率;U2、 I2、P2分别表示副线圈两端的电压、副线圈中的电流和输出功率;则有:

试题详情>>

       A.U1:U2=1:2          

       B.I1:I2=1:2

       C.P1:P2=1:2          

       D.若减小负载电阻R的阻值,则I2变大, I1也变大

试题详情>>

10.如图所示,A,B两球质量均为m,它们之间用轻弹簧连接,放在光滑的水平地面上,A球同时被一细绳系住。用水平力F将B球向右拉,达到平衡时,突然撤去外力F的瞬时,A、B的加速度aA,aB分别为 

试题详情>>

 A.aA=F/2m        B.aA0            C.aB=F/2m        D.aB=F/m

试题详情>>

11.人造卫星绕地球飞行时,轨道各处的磁感应强度不同,金属外壳的人造地球卫星运行时,外壳中总有微弱的感应电流,因此,可能使      

A.卫星的机械能减小,轨道高度变小     B.卫星的机械能减小,轨道高度变大

C.卫星的机械能减小,轨道高度不变     D.对卫星的运行无任何影响

试题详情>>

12.图甲为热敏电阻的R―t图象,图乙为用此热敏电阻与继电器组成的一个简单恒温箱温控电路,继电器线圈的电阻为150Ω,当线圈中的电流大于或等于20mA时,继电器衔铁被吸合。为继电器电路供电的电源电动势为E=6V,内阻不计。图中的电源是恒温箱加热器的电源

试题详情>>

    A.恒温箱应接在AB两端                       B.恒温箱应接在CD两端

C.若R/变大,则恒温箱内的温度会升高D.若R/变大,则恒温箱内的温度会降低

试题详情>>

13.有一个电热器,工作时的电阻为100Ω,接在电压为u=Umsinωt的交流电源上,其中Um=311V,ω=100πs-1,则该电热器消耗的功率为           W   

试题详情>>

14.电场中有一条电场线,电场线上有a、b两点,则a、b两点的电势哪点高?答            ;把正电荷由b移至a,电场力做什么功?答              ; 正电荷在a、b两点的电 势能哪点大?答              ;根据题中条件能否判断a、b点场强的大小?答     

试题详情>>

15.电饭锅工作时有二种状态:一种是锅内水烧干前的加热状态;另一种是水烧干后的保温状态。下图是电饭锅的电路图,R1是一个电阻,R2是一个加热用的电阻丝。请问:

试题详情>>

(1)当自动开关S闭合时,电饭锅处于哪种状态?答             

试题详情>>

   (2)要使R2在保温状态下的功率是加热状态下的0.25倍,则R2: R1=             

试题详情>>

16.多用电表的表盘如图所示,某同学用多用电表正确地测量了一个阻值为15Ω的电阻后,还需要继续测量一个阻值大约是2.2kΩ左右的电阻。在测量前,有以下操作步骤,请选择有用的,按操作顺序写出:                   

试题详情>>

A.用螺丝刀调节表盘下中间部位的调零螺丝,使 指针指零

B.将红、黑表笔接触

C.把选择开关旋到“×1kΩ”位置

D.把选择开关旋到“×100Ω”位置

E.调节调零旋钮使表针指着欧姆零点

17(12分)如图所示是一种特殊的游戏装置,CD是一段位于竖直平面内的轨道,CD间的高度为h1=3m,末端D处的切线方向水平,一个小孩坐着滑车从轨道的顶点C处静止下滑,滑到D端后水平飞出,落到水面上的B点时速度大小是10m/s。已知水面与D点的高度差为h2=4m。不计空气阻力,问:

(1)整个运动过程机械能量否守恒,请定量说明

(2)小孩滑到D端时速度的大小

试题详情>>

18(12分)如图所示,有均匀电阻丝做成的正方形线框abcd的电阻为R,ab=bc=cd=da=l,现将线框以与ab垂直的速度v匀速穿过一宽度为2l、磁感应强度为B的匀强磁场区域,整个过程中ab、cd两边始终保持与边界平行,若dc已进入磁场而ab还未进入磁场时,求:

(1)线圈中的感应电流有多大,cd两端的电压有多大

(2)如果线圈已经全部进入磁场,则线圈中的电流和cd两端的电压又是

多少?

(3)线框穿过整个匀强磁场区域,外力需要做功多少?

试题详情>>

19(12分)某物理工作者设计了一个测量电场强度的实验:用已知质量为m,电量为q的微粒,令其垂直电场进入一区域为矩形的电场,如图。电场方向与ad平行且竖直向上,微粒第一次是靠近矩形dc进入的,而且好从b点飞出。然后保持电场大小不变,让方向变得相反,再令微粒以同样的速度从靠近上边ad垂直进入电场,则正好从下边dc的中点e处飞出。试根据以上信息求出电场强度。

试题详情>>

20(12分)如图所示,在直角坐标系xoy内,有一质量为m,电量为+q的电荷从原点O点沿y轴正方向以初速度v0出发,电荷重力不计,现要求电荷能通过P点(a,-b),>,速度的大小不变。为了满足上述要求,需在电荷运动的空间范围内加上一个垂直于纸面的匀强磁场,试设计三种不同强度和空间区域的磁场以满足题中的要求。(说明:粒子过P点时速度的方向可以是任意的,但在xoy平面内)

试题详情>>
关闭