2024年对口单招一点通拓展模块数学第四册
注:目前有些书本章节名称可能整理的还不是很完善,但都是按照顺序排列的,请同学们按照顺序仔细查找。练习册 2024年对口单招一点通拓展模块数学第四册 答案主要是用来给同学们做完题方便对答案用的,请勿直接抄袭。
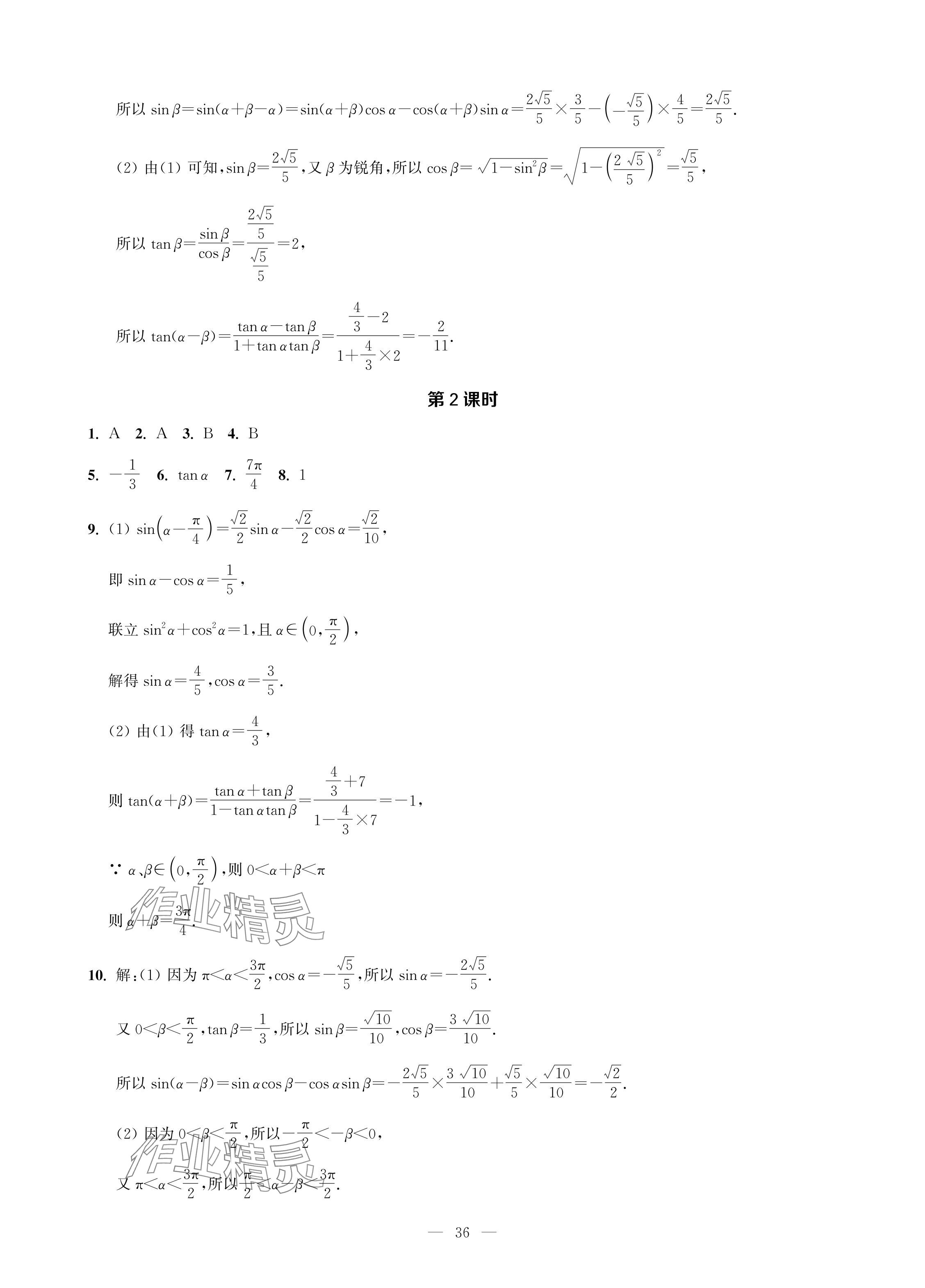
参考答案第36页
- 参考答案第1页
- 参考答案第2页
- 参考答案第3页
- 参考答案第4页
- 参考答案第5页
- 参考答案第6页
- 参考答案第7页
- 参考答案第8页
- 参考答案第9页
- 参考答案第10页
- 参考答案第11页
- 参考答案第12页
- 参考答案第13页
- 参考答案第14页
- 参考答案第15页
- 参考答案第16页
- 参考答案第17页
- 参考答案第18页
- 参考答案第19页
- 参考答案第20页
- 参考答案第21页
- 参考答案第22页
- 参考答案第23页
- 参考答案第24页
- 参考答案第25页
- 参考答案第26页
- 参考答案第27页
- 参考答案第28页
- 参考答案第29页
- 参考答案第30页
- 参考答案第31页
- 参考答案第32页
- 参考答案第33页
- 参考答案第34页
- 参考答案第35页
- 参考答案第36页
- 参考答案第37页
- 参考答案第38页
- 参考答案第39页
- 参考答案第40页
- 参考答案第41页
- 参考答案第42页
- 参考答案第43页
- 参考答案第44页
- 参考答案第45页
- 参考答案第46页
- 参考答案第47页
- 参考答案第48页
- 参考答案第49页
- 参考答案第50页
- 参考答案第51页
- 参考答案第52页
- 参考答案第53页
- 参考答案第54页
- 参考答案第55页
- 参考答案第56页
- 参考答案第57页
- 参考答案第58页
- 参考答案第59页
- 参考答案第60页
- 参考答案第61页
- 参考答案第62页
- 参考答案第63页
- 参考答案第64页
- 参考答案第65页
- 参考答案第66页
- 参考答案第67页
- 参考答案第68页
- 参考答案第69页
- 参考答案第70页
查看更多完整答案,请扫码查看