第1页
- 第1页
- 第2页
- 第3页
- 第4页
- 第5页
- 第6页
- 第7页
- 第8页
- 第9页
- 第10页
- 第11页
- 第12页
- 第13页
- 第14页
- 第15页
- 第16页
- 第17页
- 第18页
- 第19页
- 第20页
- 第21页
- 第22页
- 第23页
- 第24页
- 第25页
- 第26页
- 第27页
- 第28页
- 第29页
- 第30页
- 第31页
- 第32页
- 第33页
- 第34页
- 第35页
- 第36页
- 第37页
- 第38页
- 第39页
- 第40页
- 第41页
- 第42页
- 第43页
- 第44页
- 第45页
- 第46页
- 第47页
- 第48页
- 第49页
- 第50页
- 第51页
- 第52页
- 第53页
- 第54页
- 第55页
- 第56页
- 第57页
- 第58页
- 第59页
- 第60页
- 第61页
- 第62页
- 第63页
- 第64页
- 第65页
- 第66页
1. 在 $42 + 8×7$ 这道题中,要先算(
乘
)法,再算(加
)法,最后得数是(98
)。
答案:
乘 加 98
2. 先填空,再列出综合算式。


(1)
(2)
(1)
30
25
综合算式:55-6×5=25
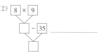
(2)
72
37
综合算式:8×9-35=37
答案:
(1)30 25 55-6×5=25
(2)72 37 8×9-35=37
(1)30 25 55-6×5=25
(2)72 37 8×9-35=37
1. 在 $39 - 5 + 5×7$ 这道题中,应该先算(
A.$5×7$
B.$39 - 5$
C.$5 + 5$
D.$39 + 5$
A
)。A.$5×7$
B.$39 - 5$
C.$5 + 5$
D.$39 + 5$
答案:
A
2. 笑笑和妈妈一起去超市购物,付钱时她发现可以用算式 $4×9 + 24$ 表示应付的钱,对于她这次购买的物品,下列说法正确的是(

A.她买了 4 箱牛奶和 1 瓶绿茶
B.她买了 4 箱牛奶和 6 瓶绿茶
C.她买了 4 盒牛奶和 1 瓶绿茶
D.她买了 4 盒牛奶和 6 瓶绿茶
D
)。A.她买了 4 箱牛奶和 1 瓶绿茶
B.她买了 4 箱牛奶和 6 瓶绿茶
C.她买了 4 盒牛奶和 1 瓶绿茶
D.她买了 4 盒牛奶和 6 瓶绿茶
答案:
D
三、想一想,填一填。

7
9
答案:
7 9
查看更多完整答案,请扫码查看