第73页
- 第1页
- 第2页
- 第3页
- 第4页
- 第5页
- 第6页
- 第7页
- 第8页
- 第9页
- 第10页
- 第11页
- 第12页
- 第13页
- 第14页
- 第15页
- 第16页
- 第17页
- 第18页
- 第19页
- 第20页
- 第21页
- 第22页
- 第23页
- 第24页
- 第25页
- 第26页
- 第27页
- 第28页
- 第29页
- 第30页
- 第31页
- 第32页
- 第33页
- 第34页
- 第35页
- 第36页
- 第37页
- 第38页
- 第39页
- 第40页
- 第41页
- 第42页
- 第43页
- 第44页
- 第45页
- 第46页
- 第47页
- 第48页
- 第49页
- 第50页
- 第51页
- 第52页
- 第53页
- 第54页
- 第55页
- 第56页
- 第57页
- 第58页
- 第59页
- 第60页
- 第61页
- 第62页
- 第63页
- 第64页
- 第65页
- 第66页
- 第67页
- 第68页
- 第69页
- 第70页
- 第71页
- 第72页
- 第73页
- 第74页
- 第75页
- 第76页
- 第77页
- 第78页
- 第79页
- 第80页
- 第81页
- 第82页
- 第83页
- 第84页
- 第85页
- 第86页
- 第87页
- 第88页
Ⅲ. 根据短文内容,选择最佳答案。
My name is Jane. I'm a middle school student. I want to be a better person, so I make some resolutions to change myself.
Keep exercising.
Health is very important. To keep healthy, I am going to do some exercise, such as playing balls and running every day.
Become patient (耐心的).
Sometimes, I am tired of staying with my parents, but now I know it's not right. I am going to be more patient with them. I'm also going to talk with my friends patiently and get on well with them.
Improve myself.
I want to study at Peking University, and it's my dream. So I'm going to keep on studying. In my free time, I am going to play the piano to relax myself.
All these resolutions may be not easy for me to keep, but I am going to try my best to overcome the problems.
1. Why does Jane make some resolutions? (
A. To change herself.
B. To keep working.
C. To study better.
D. To become patient.
2. What might Jane be going to do to keep healthy according to paragraph 2? (
A. To walk.
B. To go skating.
C. To play volleyball.
D. To go cycling.
3. What does Jane decide to do to get on well with her parents? (
A. To spend time with them.
B. To be patient with them.
C. To help them do the housework.
D. To share problems with them.
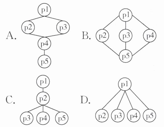
4. What's the structure of the text? (
A.
B.
C.
D.

My name is Jane. I'm a middle school student. I want to be a better person, so I make some resolutions to change myself.
Keep exercising.
Health is very important. To keep healthy, I am going to do some exercise, such as playing balls and running every day.
Become patient (耐心的).
Sometimes, I am tired of staying with my parents, but now I know it's not right. I am going to be more patient with them. I'm also going to talk with my friends patiently and get on well with them.
Improve myself.
I want to study at Peking University, and it's my dream. So I'm going to keep on studying. In my free time, I am going to play the piano to relax myself.
All these resolutions may be not easy for me to keep, but I am going to try my best to overcome the problems.
1. Why does Jane make some resolutions? (
A
)A. To change herself.
B. To keep working.
C. To study better.
D. To become patient.
2. What might Jane be going to do to keep healthy according to paragraph 2? (
C
)A. To walk.
B. To go skating.
C. To play volleyball.
D. To go cycling.
3. What does Jane decide to do to get on well with her parents? (
B
)A. To spend time with them.
B. To be patient with them.
C. To help them do the housework.
D. To share problems with them.
4. What's the structure of the text? (
B
)A.
B.
C.
D.
答案:
Ⅲ. 1—4 ACBB
查看更多完整答案,请扫码查看