26. 某校地理教师组织七年级学生开展实践活动,请你加入一起完成。(18分)
活动一 经天纬地 笔绘世界

(1) 图13为某同学未完成的世界地图简笔画,请你替他完成此图。
任务要求:
①补全图中重要纬线的名称,并将20°和160°经线标注完整。
②补充缺失的大洲轮廓。
③补全七大洲、四大洋的名称。
④增加其他细节,完善地图。
活动二 沧海桑田 海陆变迁
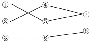
一批小海龟要到动物园安家啦!考虑到海龟的生活习性,饲养员为它们准备了既有“海洋”,又有“陆地”的家。动物专家看了以后,建议将“海洋”面积缩小一些。三个饲养员马上行动,每个人都提出了自己的改建方案(如图14所示)。
(2) 小海龟新家改建的方案(①~③)与造成海陆变迁的原因(④~⑥)原理相似,请先在两者间连线示意;再通过连线(⑦、⑧)为海陆变迁原因归类,构建知识逻辑关系。

活动三 地动山摇 板块运动
六位同学手持不同“板块”,模拟演示板块运动(如图15所示),体会其对地表形态的影响。

(3) 小亚和小非向箭头所指方向推动板块,使得_板块与非洲板块移动并_(填“挤压”或“张裂”),使甲海域面积_(填“扩大”或“缩小”)。
(4) 乙地位于_(填“环太平洋”或“地中海—喜马拉雅”)火山、地震带,这里属于板块_(填“内部”或“交界地带”)。
活动一 经天纬地 笔绘世界
(1) 图13为某同学未完成的世界地图简笔画,请你替他完成此图。
任务要求:
①补全图中重要纬线的名称,并将20°和160°经线标注完整。
②补充缺失的大洲轮廓。
③补全七大洲、四大洋的名称。
④增加其他细节,完善地图。
活动二 沧海桑田 海陆变迁
一批小海龟要到动物园安家啦!考虑到海龟的生活习性,饲养员为它们准备了既有“海洋”,又有“陆地”的家。动物专家看了以后,建议将“海洋”面积缩小一些。三个饲养员马上行动,每个人都提出了自己的改建方案(如图14所示)。
(2) 小海龟新家改建的方案(①~③)与造成海陆变迁的原因(④~⑥)原理相似,请先在两者间连线示意;再通过连线(⑦、⑧)为海陆变迁原因归类,构建知识逻辑关系。
活动三 地动山摇 板块运动
六位同学手持不同“板块”,模拟演示板块运动(如图15所示),体会其对地表形态的影响。
(3) 小亚和小非向箭头所指方向推动板块,使得_板块与非洲板块移动并_(填“挤压”或“张裂”),使甲海域面积_(填“扩大”或“缩小”)。
(4) 乙地位于_(填“环太平洋”或“地中海—喜马拉雅”)火山、地震带,这里属于板块_(填“内部”或“交界地带”)。
答案:
(1)(7分)绘图略【评分参考】:①—2分,经纬线各1分;②—2分,位置1分,形状1分;③—2分,大洲大洋各1分;④—1分
(2)(6分)
(3)(3分)亚欧 挤压 缩小
(4)(2分)环太平洋 交界地带
(1)(7分)绘图略【评分参考】:①—2分,经纬线各1分;②—2分,位置1分,形状1分;③—2分,大洲大洋各1分;④—1分
(2)(6分)
(3)(3分)亚欧 挤压 缩小
(4)(2分)环太平洋 交界地带
查看更多完整答案,请扫码查看