2025年同步练习册智慧拓展五年级数学上册人教版菏泽专版
注:目前有些书本章节名称可能整理的还不是很完善,但都是按照顺序排列的,请同学们按照顺序仔细查找。练习册 2025年同步练习册智慧拓展五年级数学上册人教版菏泽专版 答案主要是用来给同学们做完题方便对答案用的,请勿直接抄袭。
第2页
- 第1页
- 第2页
- 第3页
- 第4页
- 第5页
- 第6页
- 第7页
- 第8页
- 第9页
- 第10页
- 第11页
- 第12页
- 第13页
- 第14页
- 第15页
- 第16页
- 第17页
- 第18页
- 第19页
- 第20页
- 第21页
- 第22页
- 第23页
- 第24页
- 第25页
- 第26页
- 第27页
- 第28页
- 第29页
- 第30页
- 第31页
- 第32页
- 第33页
- 第34页
- 第35页
- 第36页
- 第37页
- 第38页
- 第39页
- 第40页
- 第41页
- 第42页
- 第43页
- 第44页
- 第45页
- 第46页
- 第47页
- 第48页
- 第49页
- 第50页
- 第51页
- 第52页
- 第53页
- 第54页
- 第55页
- 第56页
- 第57页
- 第58页
- 第59页
- 第60页
- 第61页
- 第62页
- 第63页
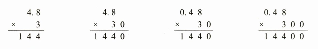
1. 给下面各题的积点上小数点。

答案:
14.4 144.0 14.40 144.00
2. 计算下面各题。
$3.3×7$
$2.4×3$
$9.6×7$
$4.3×9$
$3.3×7$
$2.4×3$
$9.6×7$
$4.3×9$
答案:
23.1 7.2 67.2 38.7(竖式略)
(1)由$48×16 = 768$,可以推出(
A.$48×1.6 = 76.8$
B.$480×1.6 = 76.8$
C.$48×0.16 = 76.8$
D.$480×0.16 = 7.68$
A
)是正确的。A.$48×1.6 = 76.8$
B.$480×1.6 = 76.8$
C.$48×0.16 = 76.8$
D.$480×0.16 = 7.68$
答案:
(1)A
(1)A
(2)妈妈买了26瓶牛奶,每瓶2.3元。右图方框中的数求的是(

A.2瓶牛奶的价格
B.6瓶牛奶的价格
C.26瓶牛奶的价格
D.20瓶牛奶的价格
D
)。A.2瓶牛奶的价格
B.6瓶牛奶的价格
C.26瓶牛奶的价格
D.20瓶牛奶的价格
答案:
(2)D
(2)D
4. 海豚能利用自身发出的超声波在海水中与同伴交流。在大海中有一只海豚发出的超声波的传播速度约为 1500 米/秒,1.8 秒后同伴听到它的叫声。这只海豚与同伴相距多少米?
答案:
1500×1.8=2700(m) 答:这只海豚与同伴相距2700 m。
5. 李明买了一根甘蔗,第一次砍去一半,第二次砍去剩下长度的一半,第三次再砍去剩下长度的一半,这时的甘蔗还剩 0.3 m。这根甘蔗原来长多少米?
答案:
0.3×2=0.6(m) 0.6×2=1.2(m) 1.2×2=2.4(m) 答:这根甘蔗原来长2.4 m。
查看更多完整答案,请扫码查看