2025年暑假作业三年级科学苏教版安徽少年儿童出版社
注:目前有些书本章节名称可能整理的还不是很完善,但都是按照顺序排列的,请同学们按照顺序仔细查找。练习册 2025年暑假作业三年级科学苏教版安徽少年儿童出版社 答案主要是用来给同学们做完题方便对答案用的,请勿直接抄袭。
三 辨一辨。(正确的画“√”,错误的画“×”)
1. 铝合金就是一种合金,铝合金比纯铝具有更好的性能,如强度高。 (
2. 比较铜、铁、铝的软硬程度,可以采用它们两两相互划一划、刻一刻的方法。 (
1. 铝合金就是一种合金,铝合金比纯铝具有更好的性能,如强度高。 (
√
)2. 比较铜、铁、铝的软硬程度,可以采用它们两两相互划一划、刻一刻的方法。 (
√
)
答案:
1. √2. √
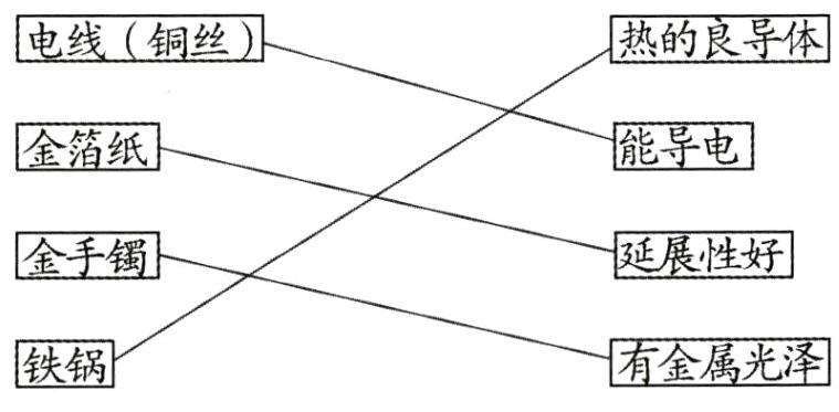
四 连一连。
电线(铜丝) 热的良导体
金箔纸 能导电
金手镯 延展性好
铁锅 有金属光泽
电线(铜丝) 热的良导体
金箔纸 能导电
金手镯 延展性好
铁锅 有金属光泽
答案:
五 做一做。
比较不同材料在水中的沉浮
实验材料:
木块、铁块、泡沫块、塑料块(这几种材料要求形状相同)、水槽。
实验方法:
1. 收集形状相同的木块、铁块、泡沫块、塑料块。
2. 给水槽装满水。
3. 先预测这些材料在水中的沉浮,将自己的预测结果记录在下表中。
4. 再依次往水槽中放入木块、铁块、泡沫块、塑料块,观察它们的沉浮,并把实验结果记录在下表中。
实验现象:
|材料名称|预测结果|实验结果|
|----|----|----|
|木块| | |
|铁块| | |
|泡沫块| | |
|塑料块| | |
思考:物体在水中的沉浮与它们的材料有关吗?
比较不同材料在水中的沉浮
实验材料:
木块、铁块、泡沫块、塑料块(这几种材料要求形状相同)、水槽。
实验方法:
1. 收集形状相同的木块、铁块、泡沫块、塑料块。
2. 给水槽装满水。
3. 先预测这些材料在水中的沉浮,将自己的预测结果记录在下表中。
4. 再依次往水槽中放入木块、铁块、泡沫块、塑料块,观察它们的沉浮,并把实验结果记录在下表中。
实验现象:
|材料名称|预测结果|实验结果|
|----|----|----|
|木块| | |
|铁块| | |
|泡沫块| | |
|塑料块| | |
思考:物体在水中的沉浮与它们的材料有关吗?
答案:
|材料名称|预测结果|实验结果|
|----|----|----|
|木块|漂浮|漂浮|
|铁块|下沉|下沉|
|泡沫块|漂浮|漂浮|
|塑料块|漂浮|漂浮|
思考答案:物体在水中的沉浮与它们的材料有关。
|----|----|----|
|木块|漂浮|漂浮|
|铁块|下沉|下沉|
|泡沫块|漂浮|漂浮|
|塑料块|漂浮|漂浮|
思考答案:物体在水中的沉浮与它们的材料有关。
查看更多完整答案,请扫码查看