2025年赢在起跑线快乐暑假河北少年儿童出版社七年级地理湘教版
注:目前有些书本章节名称可能整理的还不是很完善,但都是按照顺序排列的,请同学们按照顺序仔细查找。练习册 2025年赢在起跑线快乐暑假河北少年儿童出版社七年级地理湘教版 答案主要是用来给同学们做完题方便对答案用的,请勿直接抄袭。
1. 亚洲的纬度位置:亚洲北部深入
北极圈
内,南部延伸到赤道
以南;海陆位置:亚洲东、北、南三面分别濒临太平
洋、北冰
洋和印度
洋。
答案:
北极圈 赤道 太平 北冰 印度
2. 世界上面积最大的大洲是………(
A. 欧洲
B. 亚洲
C. 非洲
D. 北美洲
B
)A. 欧洲
B. 亚洲
C. 非洲
D. 北美洲
答案:
B
3. 土耳其海峡沟通了哪两个海域且是哪两大洲的分界线……………………(
A. 地中海和咸海 亚洲和非洲
B. 黑海和地中海 亚洲和欧洲
C. 黑海和里海 亚洲和欧洲
D. 红海和地中海 欧洲和非洲
B
)A. 地中海和咸海 亚洲和非洲
B. 黑海和地中海 亚洲和欧洲
C. 黑海和里海 亚洲和欧洲
D. 红海和地中海 欧洲和非洲
答案:
B
4. 亚洲是世界上最大的大洲,主要依据有… ………………………………………(
①跨纬度最广 ②面积最大 ③周围被大面积海洋包围 ④东西距离最长 ⑤绝大部分位于北半球、东半球
A. ①②③
B. ①②④
C. ③④⑤
D. ②③⑤
B
)①跨纬度最广 ②面积最大 ③周围被大面积海洋包围 ④东西距离最长 ⑤绝大部分位于北半球、东半球
A. ①②③
B. ①②④
C. ③④⑤
D. ②③⑤
答案:
B
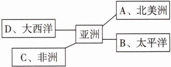
5. 下图描述亚洲的“左邻右舍”,错误的是 … ………………………………………(

A. A
B. B
C. C
D. D
D
)A. A
B. B
C. C
D. D
答案:
D
6. 下列关于亚洲的叙述,错误的是 …(
A. 亚洲是世界上面积最大的大洲
B. 亚洲大部分位于热带和南温带
C. 亚洲是世界上人口最多的大洲
D. 亚洲南北所跨纬度最广
B
)A. 亚洲是世界上面积最大的大洲
B. 亚洲大部分位于热带和南温带
C. 亚洲是世界上人口最多的大洲
D. 亚洲南北所跨纬度最广
答案:
B
7. 仅以海峡为分界线的两大洲是……(
A. 亚洲和欧洲
B. 亚洲和北美洲
C. 亚洲和大洋洲
D. 亚洲和非洲
B
)A. 亚洲和欧洲
B. 亚洲和北美洲
C. 亚洲和大洋洲
D. 亚洲和非洲
答案:
B
8. 世界上跨经度最广的大洲是………(
A. 亚洲
B. 欧洲
C. 大洋洲
D. 南极洲
D
)A. 亚洲
B. 欧洲
C. 大洋洲
D. 南极洲
答案:
D
9. 下列有关欧洲自然环境的叙述,错误的是 ………………………………………(
A. 三面临海
B. 大陆轮廓破碎,海岸线漫长
C. 大部分位于北纬 $ 40 ^ { \circ } \sim 60 ^ { \circ } $
D. 有赤道穿过,跨寒、温、热三带
D
)A. 三面临海
B. 大陆轮廓破碎,海岸线漫长
C. 大部分位于北纬 $ 40 ^ { \circ } \sim 60 ^ { \circ } $
D. 有赤道穿过,跨寒、温、热三带
答案:
D
10. 读图,回答下列问题。

(1) 亚洲在
(2) 亚洲在
(3) 亚洲在
(4) 亚洲在
(5) 填写亚洲周围大洋的名称:E
(6) 图中显示亚洲的纬度位置大致是…… ………………………………………(
A. $ 0 ^ { \circ } \sim 80 ^ { \circ } \mathrm { N } $
B. $ 10 ^ { \circ } \mathrm { S } \sim 80 ^ { \circ } \mathrm { N } $
C. $ 10 ^ { \circ } \mathrm { N } \sim 80 ^ { \circ } \mathrm { N } $
D. $ 0 ^ { \circ } \sim 70 ^ { \circ } \mathrm { N } $
(1) 亚洲在
西北
方向以乌拉尔
山脉、乌拉尔河、里海、大高加索山脉、黑海、土耳其
海峡与 A欧
洲为界。(2) 亚洲在
西南
方向以苏伊士
运河与 B非
洲为界。(3) 亚洲在
东南
方向隔海与 C大洋
洲相望。(4) 亚洲在
东北
方向隔白令
海峡与 D北美
洲相望。(5) 填写亚洲周围大洋的名称:E
印度洋
,F太平洋
,G北冰洋
。(6) 图中显示亚洲的纬度位置大致是…… ………………………………………(
B
)A. $ 0 ^ { \circ } \sim 80 ^ { \circ } \mathrm { N } $
B. $ 10 ^ { \circ } \mathrm { S } \sim 80 ^ { \circ } \mathrm { N } $
C. $ 10 ^ { \circ } \mathrm { N } \sim 80 ^ { \circ } \mathrm { N } $
D. $ 0 ^ { \circ } \sim 70 ^ { \circ } \mathrm { N } $
答案:
(1) 西北 乌拉尔 土耳其 欧
(2) 西南 苏伊士 非
(3) 东南 大洋
(4) 东北 白令 北美
(5) 印度洋 太平洋 北冰洋
(6) B
(1) 西北 乌拉尔 土耳其 欧
(2) 西南 苏伊士 非
(3) 东南 大洋
(4) 东北 白令 北美
(5) 印度洋 太平洋 北冰洋
(6) B
查看更多完整答案,请扫码查看