2025年一本暑假衔接一年级数学人教版浙江专版
注:目前有些书本章节名称可能整理的还不是很完善,但都是按照顺序排列的,请同学们按照顺序仔细查找。练习册 2025年一本暑假衔接一年级数学人教版浙江专版 答案主要是用来给同学们做完题方便对答案用的,请勿直接抄袭。
第22页
- 第1页
- 第2页
- 第3页
- 第4页
- 第5页
- 第6页
- 第7页
- 第8页
- 第9页
- 第10页
- 第11页
- 第12页
- 第13页
- 第14页
- 第15页
- 第16页
- 第17页
- 第18页
- 第19页
- 第20页
- 第21页
- 第22页
- 第23页
- 第24页
- 第25页
- 第26页
- 第27页
- 第28页
- 第29页
- 第30页
- 第31页
- 第32页
- 第33页
- 第34页
- 第35页
- 第36页
- 第37页
- 第38页
- 第39页
- 第40页
- 第41页
- 第42页
- 第43页
- 第44页
- 第45页
- 第46页
- 第47页
- 第48页
- 第49页
- 第50页
- 第51页
- 第52页
- 第53页
- 第54页
- 第55页
- 第56页
- 第57页
- 第58页
- 第59页
- 第60页
- 第61页
- 第62页
- 第63页
- 第64页
- 第65页
- 第66页
- 第67页
- 第68页
(2)50以内个位上和十位上数字相同的两位数有()个。
①5
②4
③3
①5
②4
③3
答案:
②
(3)最小的两位数与55的和是()。
①64
②65
③66
①64
②65
③66
答案:
②
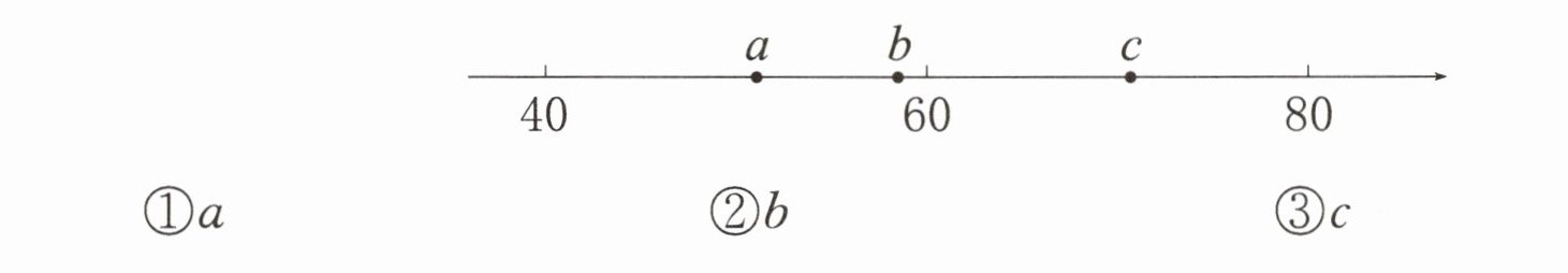
(4)一个数比40大得多,比80小一些,这个数在下图的位置可能是()处。
答案:
③
3. 直接写出得数。
75+5=
31-3=
65-40=
43+23=
30+40=
30+32=
87-53=
54-9=
75+5=
31-3=
65-40=
43+23=
30+40=
30+32=
87-53=
54-9=
答案:
80 28 25 66
70 62 34 45
70 62 34 45
4.
(1)聪聪一共要浇多少盆花?
(2)荣荣已经浇了多少盆花?
(1)聪聪一共要浇多少盆花?
(2)荣荣已经浇了多少盆花?
答案:
(1)$24 + 12 = 36$(盆)
聪聪一共要浇 36 盆花。
(2)$29 - 6 = 23$(盆)
荣荣已经浇了 23 盆花。
(1)$24 + 12 = 36$(盆)
聪聪一共要浇 36 盆花。
(2)$29 - 6 = 23$(盆)
荣荣已经浇了 23 盆花。
5. 用40个小三角形拼下面的小船,最多可以拼成几条?

答案:
拼一条小船需要 7 个小三角形。
$40\xrightarrow{-7}33\xrightarrow{-7}26\xrightarrow{-7}19\xrightarrow{-7}12\xrightarrow{-7}5$
最多可以拼成 5 条。
$40\xrightarrow{-7}33\xrightarrow{-7}26\xrightarrow{-7}19\xrightarrow{-7}12\xrightarrow{-7}5$
最多可以拼成 5 条。
查看更多完整答案,请扫码查看