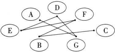
一、[新考法]听录音,将你所听到的字母依次连线。

答案:
二、听录音,选出你所听到的内容补全句子。
( )1. ____, boys and girls.
A. Good morning B. Good afternoon C. Goodbye
( )2. My name is ____.
A. Bobby B. Beibei C. Wang Bing
( )3. Nice to meet you, ____.
A. Mike Brown B. Miss Wang C. Mr Wang
( )4. I'm ____.
A. Su Hai B. a boy C. a girl
( )5. ____, Sam!
A. Hi B. Bye C. Hello
( )1. ____, boys and girls.
A. Good morning B. Good afternoon C. Goodbye
( )2. My name is ____.
A. Bobby B. Beibei C. Wang Bing
( )3. Nice to meet you, ____.
A. Mike Brown B. Miss Wang C. Mr Wang
( )4. I'm ____.
A. Su Hai B. a boy C. a girl
( )5. ____, Sam!
A. Hi B. Bye C. Hello
答案:
1. B 2. B 3. C 4. B 5. A
三、听录音,判断下列图片与所听内容是(T)否(F)相符。

1. ( )
2. ( )
3. ( )
4. ( )
1. ( )
2. ( )
3. ( )
4. ( )
答案:
1. F 2. F 3. F 4. T
四、听录音,根据所听句子,选择合适的应答句。
( )1. A. Hello, Beibei. B. Hello, Sam.
( )2. A. My name is Dai Min. B. What's your name?
( )3. A. Bye, Wang Bing. B. Nice to meet you too.
( )4. A. Good morning, Mr Green. B. Goodbye, Mr Green.
( )1. A. Hello, Beibei. B. Hello, Sam.
( )2. A. My name is Dai Min. B. What's your name?
( )3. A. Bye, Wang Bing. B. Nice to meet you too.
( )4. A. Good morning, Mr Green. B. Goodbye, Mr Green.
答案:
1. A 2. A 3. B 4. B
查看更多完整答案,请扫码查看