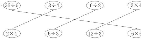
3. 找朋友。(把用同一句口诀计算的算式连一连)
$\boxed{36÷6}$ $\boxed{8÷4}$ $\boxed{6÷2}$ $\boxed{3×4}$
$\boxed{2×4}$ $\boxed{6÷3}$ $\boxed{12÷3}$ $\boxed{6×6}$
$\boxed{36÷6}$ $\boxed{8÷4}$ $\boxed{6÷2}$ $\boxed{3×4}$
$\boxed{2×4}$ $\boxed{6÷3}$ $\boxed{12÷3}$ $\boxed{6×6}$
答案:
4. 看图写出两道除法算式。
(1)
$□÷□=□$ $□÷□=□$
(2)
$□÷□=□$ $□÷□=□$
(1)
$□÷□=□$ $□÷□=□$
(2)
$□÷□=□$ $□÷□=□$
答案:
(1)$15 ÷ 3 = 5$ $15 ÷ 5 = 3$
(2)$12 ÷ 6 = 2$ $12 ÷ 2 = 6$
(1)$15 ÷ 3 = 5$ $15 ÷ 5 = 3$
(2)$12 ÷ 6 = 2$ $12 ÷ 2 = 6$
5. 花店订购了一批玫瑰花。

(1)一共有()枝玫瑰花。
$\square\bigcirc\square=\square$(枝)
(2)如果把6枝玫瑰花扎成一束,可以扎()束。
$\square\bigcirc\square=\square$(束)
(1)一共有()枝玫瑰花。
$\square\bigcirc\square=\square$(枝)
(2)如果把6枝玫瑰花扎成一束,可以扎()束。
$\square\bigcirc\square=\square$(束)
答案:
(1)24 $4 \times 6 = 24$
(2)4 $24 \div 6 = 4$
(1)24 $4 \times 6 = 24$
(2)4 $24 \div 6 = 4$
6. 小明有一些铁环,他用5个铁环拼成图案
,正好拼了6组。如果用这些铁环拼成图
案,能拼几组?
答案:
$5 × 6 = 30$ (个) $30 ÷ 6 = 5$ (组)
查看更多完整答案,请扫码查看