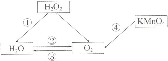
1.写出符合下列转化关系的化学方程式。

①
②
③
④
①
$2H_2O_2 \stackrel{MnO_2}{=\!=\!=} 2H_2O + O_2\uparrow$
②
$2H_2O \stackrel{通电}{=\!=\!=} 2H_2\uparrow + O_2\uparrow$
③
$2H_2 + O_2 \stackrel{点燃}{=\!=\!=} 2H_2O$
④
$2KMnO_4 \stackrel{\triangle}{=\!=\!=} K_2MnO_4 + MnO_2 + O_2\uparrow$
答案:
【解析】:
本题考查化学方程式的书写,需根据物质间的转化关系,结合常见化学反应来确定反应物、生成物和反应条件,进而写出化学方程式。
①过氧化氢($H_2O_2$)在二氧化锰的催化作用下分解生成水($H_2O$)和氧气($O_2$),这是一个常见的分解反应。
②水($H_2O$)在通电的条件下分解生成氢气和氧气,这是水的电解反应。
③氢气在氧气中燃烧生成水,这是氢气的燃烧反应。
④高锰酸钾($KMnO_4$)在加热的条件下分解生成锰酸钾、二氧化锰和氧气,这是实验室制取氧气的一个常见反应。
【答案】:
①$2H_2O_2 \stackrel{MnO_2}{=\!=\!=} 2H_2O + O_2\uparrow$
②$2H_2O \stackrel{通电}{=\!=\!=} 2H_2\uparrow + O_2\uparrow$
③$2H_2 + O_2 \stackrel{点燃}{=\!=\!=} 2H_2O$
④$2KMnO_4 \stackrel{\triangle}{=\!=\!=} K_2MnO_4 + MnO_2 + O_2\uparrow$
本题考查化学方程式的书写,需根据物质间的转化关系,结合常见化学反应来确定反应物、生成物和反应条件,进而写出化学方程式。
①过氧化氢($H_2O_2$)在二氧化锰的催化作用下分解生成水($H_2O$)和氧气($O_2$),这是一个常见的分解反应。
②水($H_2O$)在通电的条件下分解生成氢气和氧气,这是水的电解反应。
③氢气在氧气中燃烧生成水,这是氢气的燃烧反应。
④高锰酸钾($KMnO_4$)在加热的条件下分解生成锰酸钾、二氧化锰和氧气,这是实验室制取氧气的一个常见反应。
【答案】:
①$2H_2O_2 \stackrel{MnO_2}{=\!=\!=} 2H_2O + O_2\uparrow$
②$2H_2O \stackrel{通电}{=\!=\!=} 2H_2\uparrow + O_2\uparrow$
③$2H_2 + O_2 \stackrel{点燃}{=\!=\!=} 2H_2O$
④$2KMnO_4 \stackrel{\triangle}{=\!=\!=} K_2MnO_4 + MnO_2 + O_2\uparrow$
2.请根据微观反应示意图,写出该反应的化学方程式。

$H_{2}+Cl_{2}\xlongequal{点燃}2HCl$
答案:
【解析】:本题考查化学方程式的书写,由微观反应示意图可知,该反应是氢气和氯气在点燃的条件下反应生成氯化氢,反应的化学方程式为$H_{2}+Cl_{2}\xlongequal{点燃}2HCl$。
【答案】:$H_{2}+Cl_{2}\xlongequal{点燃}2HCl$
【答案】:$H_{2}+Cl_{2}\xlongequal{点燃}2HCl$
查看更多完整答案,请扫码查看