2025年文轩图书暑假生活指导暑一年级数学
注:目前有些书本章节名称可能整理的还不是很完善,但都是按照顺序排列的,请同学们按照顺序仔细查找。练习册 2025年文轩图书暑假生活指导暑一年级数学 答案主要是用来给同学们做完题方便对答案用的,请勿直接抄袭。
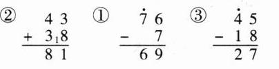
3. 把各个竖式的错因的序号填在括号里并改正。
①相同数位没有对齐。②没有加进位 1。③没有减退位 1。
$\begin{array}{r} 43\\ +38\\ \hline 71\end{array} $改正:$\begin{array}{r} 76\\ -7\\ \hline 6\end{array} $改正:$\begin{array}{r} 45\\ -18\\ \hline 37\end{array} $改正:
() () ()
①相同数位没有对齐。②没有加进位 1。③没有减退位 1。
$\begin{array}{r} 43\\ +38\\ \hline 71\end{array} $改正:$\begin{array}{r} 76\\ -7\\ \hline 6\end{array} $改正:$\begin{array}{r} 45\\ -18\\ \hline 37\end{array} $改正:
() () ()
答案:
1. 还有多少棵没有植?

答案:
$81 - 73 = 8$(棵)
2. 亮亮的妈妈开了一家手工制衣店,一共做了 34 件衣服,卖掉了一些后,还剩 19 件,卖掉了多少件衣服?

答案:
$34 - 19 = 15$(件)
查看更多完整答案,请扫码查看