1. 求下面各圆的周长与面积。

$C = 2\pi r$
$= 2\times3.14\times\square$
$=$
$S = 3.14\times4^{2}$
$= 3.14\times\square$
$=$

$C=\pi d$
$= 3.14\times\square$
$=$
$S = 3.14\times(10\div2)^{2}$
$= 3.14\times\square^{2}$
$=$
$C = 2\pi r$
$= 2\times3.14\times\square$
$=$
$S = 3.14\times4^{2}$
$= 3.14\times\square$
$=$
$C=\pi d$
$= 3.14\times\square$
$=$
$S = 3.14\times(10\div2)^{2}$
$= 3.14\times\square^{2}$
$=$
答案:
4@@25.12(cm)@@16@@50.24(cm²)@@10@@31.4(dm)@@5@@78.5(dm²)
2. 根据下面条件,求下面圆柱的底面积和底面周长。
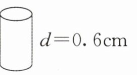
$d = 0.6cm$
$S =$
$C =$
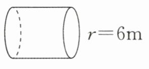
$r = 6m$
$S =$
$C =$
$S =$
$C =$
$S =$
$C =$
答案:
3.14×(0.6÷2)² = 0.2826(cm²)@@3.14×0.6 = 1.884(cm)@@3.14×6² = 113.04(m²)@@3.14×6×2 = 37.68(m)
3. 把下面的表格填写完整。
|半径($r$)|直径($d$)|周长($C$)|面积($S$)|
|----|----|----|----|
|$2cm$| | | |
| |$6dm$| | |
| | |$25.12cm$| |
|$0.5m$| | | |
|半径($r$)|直径($d$)|周长($C$)|面积($S$)|
|----|----|----|----|
|$2cm$| | | |
| |$6dm$| | |
| | |$25.12cm$| |
|$0.5m$| | | |
答案:
4cm@@12.56cm@@12.56cm²@@3dm@@18.84dm@@28.26dm²@@4cm@@8cm@@50.24cm²@@1m@@3.14m@@0.785m²
查看更多完整答案,请扫码查看