2025年小学学霸作业本二年级数学下册北师大版广东专版


注:目前有些书本章节名称可能整理的还不是很完善,但都是按照顺序排列的,请同学们按照顺序仔细查找。练习册 2025年小学学霸作业本二年级数学下册北师大版广东专版 答案主要是用来给同学们做完题方便对答案用的,请勿直接抄袭。



《2025年小学学霸作业本二年级数学下册北师大版广东专版》

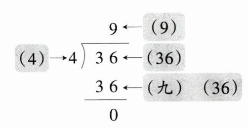
1. 广州塔等36个景点入选2024年广东必去景点榜,小明每天游4个景点,需要( )天游完这36个景点。
答案:
9@@天@@9@@36@@4@@九@@36
2. 用竖式计算。
答案: 3 6 7 6(竖式略)
3. [新趋势·开放式题]寒假实践作业展出。①二(1)班6个小组,②展出36幅剪纸,③展出24幅水彩画,④张贴在4块展板上。选择合适的信息,再提出一个除法问题并解答。
信息:( )(填序号),问题:( )。
解答:
答案: ③④@@平均每块展板上张贴多少幅水彩画?
4.
答案:
竖式计算: ``` 2 9)1 8 1 8 0 ``` ``` 8 7)5 6 5 6 0 ```
快乐口算
18÷3=
54÷6=
28÷7=
63÷9=
64÷8=
27÷9=
16÷4=
40÷5=
9÷3=
56÷7=
答案: 6
@@9
@@4
@@7
@@8
@@3
@@4
@@8
@@3
@@8
快乐口算
56÷8=
12÷4=
24÷3=
18÷9=
40÷8=
45÷9=
18÷6=
7÷7=
8×4=
25÷5=
答案: 7
@@3
@@8
@@2
@@5
@@5
@@3
@@1
@@32
@@5

查看更多完整答案,请扫码查看

关闭