(II)求直线与平面所成的角.

 

 

 

 

 

 

 

 

 

  • 答案

 

一、填空题

1.   2.    3.2   4.  5. i100   6.  7. 2

8.    9.   10.   11.   12.

二、选择题

13.   14.A  15.A.  16. D

三、解答题

17.

   (1)由题意可得:=5----------------------------------------------------------(2分)

由:  得:=314---------------------------------------(4分)

或:

   (2)方法一:由:------(1分)

        或---------(1分)

得:0.0110-----------------------------------------------------------------(1分)

方法二:由:

得:-----------------------------------------------------------------(1分)

由:点和点的纵坐标相等,可得点和点关于点对称

即:------------------------------------------------------------(1分)

得:0.011-----------------------------------------------------------------------(1分)

 

 

 

18.(1)是等腰三角形,

的中点,,--------------(1分)

底面.----(2分)

-------------------------------(1分)

于是平面.----------------------(1分)

   (2)过,连接----------------(1分)

平面

,-----------------------------------(1分)

平面,---------------------------(1分)

就是直线与平面所成角。---(2分)

中,

----------------------------------(2分)

所以,直线与平面所成角--------(1分)

19.解:

   (1)函数的定义域为;------------------------------------(1分)

;当;--------------------------------------------------(1分)

所以,函数在定义域上不是单调函数,------------------(1分)

所以它不是“类函数” ------------------------------------------------------------------(1分)

   (2)当小于0时,则函数不构成单调函数;(1分)

=0时,则函数单调递增,

但在上不存在定义域是值域也是的区间---------------(1分)

大于0时,函数在定义域里单调递增,----(1分)

要使函数是“类函数”,

即存在两个不相等的常数

使得同时成立,------------------------------------(1分)

即关于的方程有两个不相等的实根,--------------------------------(2分)

,--------------------------------------------------------------------------(1分)

亦即直线与曲线上有两个不同的交点,-(1分)

所以,-------------------------------------------------------------------------------(2分)

20.解:

   (1)

,由,得数列构成等比数列------------------(3分)

,数列不构成等比数列--------------------------------------(1分)

   (2)由,得:-------------------------------------(1分)

---------------------------------------------------------(1分)

----------------------------------------------(1分)

----(1分)

------------------------------------------------------------------(1分)

---------------------------------------------------------------------(1分)

   (3)若对任意,不等式恒成立,

即:

-------------------------------------------(1分)

令:,当时,有最大值为0---------------(1分)

令:

------------------------------------------------------(1分)

---------------------------------------------------------(1分)

所以,数列从第二项起单调递减

时,取得最大值为1-------------------------------(1分)

所以,当时,不等式恒成立---------(1分)

21. 解:

   (1)双曲线焦点坐标为,渐近线方程---(2分)

双曲线焦点坐标,渐近线方程----(2分)

   (2)

得方程: -------------------------------------------(1分)

设直线分别与双曲线的交点  的坐标分别为,线段 中点为坐标为

----------------------------------------------------------(1分)

得方程: ----------------------------------------(1分)

设直线分别与双曲线的交点  的坐标分别为,线段 中点为坐标为

---------------------------------------------------(1分)

,-----------------------------------------------------------(1分)

所以,线段不相等------------------------------------(1分)

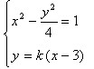
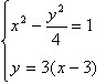
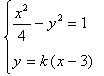
   (3)

若直线斜率不存在,交点总个数为4;-------------------------(1分)

若直线斜率存在,设斜率为,直线方程为

直线与双曲线

    得方程:   ①

直线与双曲线

     得方程:    ②-----------(1分)

 

的取值

直线与双曲线右支的交点个数

直线与双曲线右支的交点个数

交点总个数

1个(交点

1个(交点

2个

1个(

1个(

2个

1个(与渐进线平行)

1个(理由同上)

2个

2个(,方程①两根都大于2)

1个(理由同上)

3个

2个(理由同上)

1个(与渐进线平行)

3个

2个(理由同上)

2个(,方程②

两根都大于1)

4个

得:-------------------------------------------------------------------(3分)

由双曲线的对称性可得:

的取值

交点总个数

2个

2个

3个

3个

4个

得:-------------------------------------------------------------------(2分)

综上所述:(1)若直线斜率不存在,交点总个数为4;

   (2)若直线斜率存在,当时,交点总个数为2个;当 时,交点总个数为3个;当时,交点总个数为4个;---------------(1分)

 

 

 

关闭