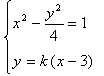
12.设全集
,集合
,则在直角平面上集合
内所有元素的对应点构成的图形的面积等于______.
- 答案
一、填空题
1.
2.
3.2 4.
5. i
100 6.
7. 2
8.
9.
10.
11.
12.![]()
二、选择题
13.
14.A 15.A. 16. D
三、解答题
17.
(1)由题意可得:
=5----------------------------------------------------------(2分)
由:
得:
=314---------------------------------------(4分)
或:
,![]()
(2)方法一:由:
或
------(1分)
或
---------(1分)
得:
0.0110-----------------------------------------------------------------(1分)
方法二:由:![]()
得:
-----------------------------------------------------------------(1分)
由:
点和
点的纵坐标相等,可得
点和
点关于
点对称
即:
------------------------------------------------------------(1分)
得:
0.011-----------------------------------------------------------------------(1分)
18.(1)
,
是等腰三角形,
又
是
的中点,
,--------------(1分)
又
底面
.
.----(2分)
-------------------------------(1分)
于是
平面
.----------------------(1分)
(2)过
作
,连接
----------------(1分)
平面
,
,-----------------------------------(1分)
平面
,---------------------------(1分)
就是直线
与平面
所成角。---(2分)
在
中,![]()
----------------------------------(2分)
所以,直线
与平面
所成角
--------(1分)
19.解:
(1)函数
的定义域为
;------------------------------------(1分)
当
时
;当
时
;--------------------------------------------------(1分)
所以,函数
在定义域
上不是单调函数,------------------(1分)
所以它不是“
类函数” ------------------------------------------------------------------(1分)
(2)当
小于0时,则函数
不构成单调函数;(1分)
当
=0时,则函数
单调递增,
但在
上不存在定义域是
值域也是
的区间
---------------(1分)
当
大于0时,函数
在定义域里单调递增,----(1分)
要使函数
是“
类函数”,
即存在两个不相等的常数
,![]()
使得
同时
成立,------------------------------------(1分)
即关于
的方程
有两个不相等的实根,--------------------------------(2分)
,--------------------------------------------------------------------------(1分)
亦即直线
与曲线
在
上有两个不同的交点,-(1分)
所以,
-------------------------------------------------------------------------------(2分)
20.解:
(1)![]()
![]()
若
,由
,得数列
构成等比数列------------------(3分)
若
,
,数列
不构成等比数列--------------------------------------(1分)
(2)由
,得:
-------------------------------------(1分)
---------------------------------------------------------(1分)
----------------------------------------------(1分)
![]()
![]()
----(1分)
------------------------------------------------------------------(1分)
---------------------------------------------------------------------(1分)
(3)若对任意
,不等式
恒成立,
即:![]()
-------------------------------------------(1分)
令:
,当
时,
有最大值为0---------------(1分)
令:![]()
------------------------------------------------------(1分)
当
时
![]()
---------------------------------------------------------(1分)
所以,数列
从第二项起单调递减
当
时,
取得最大值为1-------------------------------(1分)
所以,当
时,不等式
恒成立---------(1分)
21. 解:
(1)双曲线
焦点坐标为
,渐近线方程
---(2分)
双曲线
焦点坐标
,渐近线方程
----(2分)
(2)![]()
得方程:
-------------------------------------------(1分)
设直线分别与双曲线
的交点
、
的坐标分别为![]()
,线段![]()
中点为
坐标为![]()
----------------------------------------------------------(1分)
![]()
得方程:
----------------------------------------(1分)
设直线分别与双曲线
的交点
、
的坐标分别为![]()
,线段![]()
中点为
坐标为![]()
---------------------------------------------------(1分)
由
,-----------------------------------------------------------(1分)
所以,线段
与
不相等------------------------------------(1分)
(3)
若直线
斜率不存在,交点总个数为4;-------------------------(1分)
若直线
斜率存在,设斜率为
,直线
方程为![]()
直线
与双曲线
:
![]()
得方程:
①
直线
与双曲线
:
![]()
得方程:
②-----------(1分)
的取值
直线
与双曲线
右支的交点个数
直线
与双曲线
右支的交点个数
交点总个数
![]()
1个(交点
)
1个(交点
)
2个
![]()
1个(
,
)
1个(
,
)
2个
![]()
1个(与渐进线平行)
1个(理由同上)
2个
![]()
2个(
,方程①两根都大于2)
1个(理由同上)
3个
![]()
2个(理由同上)
1个(与渐进线平行)
3个
![]()
2个(理由同上)
2个(
,方程②
两根都大于1)
4个
得:-------------------------------------------------------------------(3分)
由双曲线的对称性可得:
的取值
交点总个数
![]()
2个
![]()
2个
![]()
3个
![]()
3个
![]()
4个
得:-------------------------------------------------------------------(2分)
综上所述:(1)若直线
斜率不存在,交点总个数为4;
(2)若直线
斜率存在,当
时,交点总个数为2个;当
或
时,交点总个数为3个;当
或
时,交点总个数为4个;---------------(1分)