A.辆                            B.辆   

  • 答案

 

一、填空题

1.   2.    3.2   4.  5. 10   6.i100  7.  

8.    9.   10.   11.   12.

二、选择题

13.   14.A  15.A.  16. D

三、解答题

17.由已知可得该几何体是一个底面为矩形,高为4,顶点在底面的射影是矩形中心的四棱锥V-ABCD ;-----------------------------------------(3分)

   (1)     -------------(3分)

   (2)  该四棱锥有两个侧面VAD. VBC是全等的等腰三角形,且BC边上的高为

, ---------------------(2分)

另两个侧面VAB. VCD也是全等的等腰三角形,

AB边上的高为   -------(2分)

因此   ------(2分)

18.

   (1)由题意可得:=5---------------------------(2分)

由:  得:=314--------(4分)

或:

  (2)方法一:由:------(1分)

        或--------(2分)

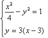
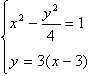
    得:0.0110-------------------------------------------------------------(1分)

方法二:由:

    得:----------------------------------------------------------------(1分)

由:点和点的纵坐标相等,可得点和点关于点对称---(1分)

即:------------------------------------------------------------(1分)

得:0.011-----------------------------------------------------------------------(1分)

(理科二种解法各1分)

19.解:(1)、函数的定义域为R;----------------------------(1分)

;当;当;----------(1分)

所以,函数在定义域R上不是单调函数,----------------------(1分)

所以它不是“类函数” -----------------------------------------------------------(1分)

   (2)函数上单调递增,--------------------------(2分)

要使它是“类函数”,即存在两个不相等的常数

使得同时成立,------------------------(1分)

即关于的方程有两个不相等的实根,-------------------(2分)

,--------------------------------------------------------------(1分)

亦即直线与曲线上有两个不同的交点,-(2分)

所以,----------------------------------------------------------------------------(2分)

20.解:

   (1)

,由,得数列构成等比数列------------------(3分)

,数列不构成等比数列--------------------------------------(1分)

   (2)由,得:-------------------------------------(1分)

---------------------------------------------------------(1分)

----------------------------------------------(1分)

----(1分)

------------------------------------------------------------------(1分)

---------------------------------------------------------------------(1分)

   (3)

由:

得:----------------------------------------------------(2分)

---------------------------------------------(1分)

所以,数列从第二项起单调递增数列----------------------(2分)

时,取得最小值为 -------------------------(1分)

21. 解:

   (1)双曲线焦点坐标为,渐近线方程---(2分)

双曲线焦点坐标,渐近线方程----(2分)

   (2)

得方程: -------------------------------------------(1分)

设直线分别与双曲线的交点  的坐标分别为,线段 中点为坐标为

----------------------------------------------------------(1分)

得方程: ----------------------------------------(1分)

设直线分别与双曲线的交点  的坐标分别为,线段 中点为坐标为

---------------------------------------------------(1分)

,-----------------------------------------------------------(1分)

所以,线段不相等------------------------------------(1分)

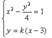
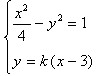
   (3)

若直线斜率不存在,交点总个数为4;-------------------------(1分)

若直线斜率存在,设斜率为,直线方程为

直线与双曲线

    得方程:   ①

直线与双曲线

     得方程:    ②-----------(1分)

 

的取值

直线与双曲线右支的交点个数

直线与双曲线右支的交点个数

交点总个数

1个(交点

1个(交点

2个

1个(

1个(

2个

1个(与渐进线平行)

1个(理由同上)

2个

2个(,方程①两根都大于2)

1个(理由同上)

3个

2个(理由同上)

1个(与渐进线平行)

3个

2个(理由同上)

2个(,方程②

两根都大于1)

4个

 

得:-------------------------------------------------------------------(3分)

 

 

 

由双曲线的对称性可得:

的取值

交点总个数

2个

2个

3个

3个

4个

 

得:-------------------------------------------------------------------(2分)

综上所述:(1)若直线斜率不存在,交点总个数为4;

   (2)若直线斜率存在,当时,交点总个数为2个;当 时,交点总个数为3个;当时,交点总个数为4个;---------------(1分)

 

 

上海市奉贤区2009年4月高考模拟考试

数学试题(文)

考生注意:

1.答卷前,考生务必在答题纸上将姓名、高考准考证号填写清楚,并在规定的区域内贴上条形码.

2.本试卷共有21道试题,满分150分.考试时间120分钟.

一、填空题(本大题满分60分)本大题共有12题,只要求在答题纸相应题序的空格内直接填写结果,每个空格填对得5分,否则一律得零分.

1.___________.

2.函数的定义域为__________ .

3.已知复数,则____________.

4.的值为           

5.的展开式中的系数为          .

6.右图给出的是计算的值的一个程序框图, 

其中判断框内应填入的条件是__________.

7.计算:设向量,若向量与向量垂直,则实数     .

8.若直线与圆没有公共点,则实数的取值范围是___________.

 

 

9.在等差数列中,设,对任意,有_____________.

10题

11.如图,目标函数在闭区域OACB的顶点C

处取得最小值,则的取值范围是____________ . 

12.抛一枚均匀硬币,正面或反面出现的概率相同。

数列定义如下:

N*),那么的概率是______.

二.选择题(本大题满分16分)本大题共有4题,每题都给出四个结论,其中有且只有一个结论是正确的,必须把答题纸上相应题序内的正确结论代号涂黑,选对得 4分,否则一律得零分.

13.辆汽车通过某一段公路时的时速的频率分布直方

图如右图所示,时速在的汽车大约有(    )

    A.辆                            B.辆   

    C.辆                            D.80辆

14.方程所表示的曲线不可能是(    )

    A.抛物线                           B.圆

    C.双曲线                           D.直线

15.“”是“对任意的正数”的(    )

    A.充分不必要条件                   B.必要不充分条件

    C.充要条件                         D.既不充分也不必要条件

 

16.下列条件中,不能确定A、B、C三点共线的是                            (    )

    A.   B.

    C.    D.

三.解答题(本大题满分74分)本大题共有5题,解答下列各题必须在答题纸的规定区域(对应的题号)内写出必要的步骤.

17.(本题满分12分) 本题共有2个小题,第1小题满分6分,第2小题满分6分.

已知某几何体的俯视图是如图5所示的矩形,正视图(或称主视图)是一个底边长为8、高为4的等腰三角形,侧视图(或称左视图)是一个底边长为6、高为4的等腰三角形.

   (1)求该几何体的体积V;

   (2)求该几何体的侧面积S

[解:]

 

 

 

 

 

 

 

 

 

 

 

 

 

 

 

 

 

 

20090521

 

 

 

 

 

18.(本题满分14分) 本题共有2个小题,第1小题满分6分,第2小题满分8分.

如图所示为电流强度(安培)随时间(秒)变化的关系式是: (其中>0)的图象。若点是图象上一最低点

   (1)求

   (2)已知点、点在图象上,点的坐标为,若点的坐标为,试用两种方法求出的值。(精确到0.0001秒)

 

 

 

 

 

 

 

 

 

 

 

 

 

 

 

 

 

 

 

 

 

 

 

 

 

 

 

19.(本题满分14分) 本题共有2个小题,第1小题满分4分,第2小题满分10分.

若函数同时满足以下条件:

①它在定义域上是单调函数;

②存在区间使得上的值域也是,我们将这样的函数称作“类函数”。

   (1)函数是不是“类函数”?如果是,试找出;如果不是,试说明理由;

   (2)求使得函数是“类函数”的常数的取值范围。

 

 

 

 

 

 

 

 

 

 

 

 

 

 

 

 

 

 

 

 

 

 

 

 

20.(本题满分16分)本题共有3个小题,第1小题满分4分,第2小题满分6分,第3小题满分6分.

        已)知数列的首项      ,若

   (1)问数列是否构成等比数列,并说明理由;

   (2)若已知设无穷数列的各项和为,求

   (3)在(2)的条件下,设),求数列的最小值

 

 

 

 

 

 

 

 

 

 

 

 

 

 

 

 

 

 

 

 

 

 

 

 

 

 

21.(本题满分

关闭