若在曲线C上存在点M,使得高考资源网( www.1010jiajiao.com),中国最大的高考网站,您身边的高考专家。是以PQ为斜边的直角三角形,求直线的斜率高考资源网( www.1010jiajiao.com),中国最大的高考网站,您身边的高考专家。的取值范围。

  • 答案

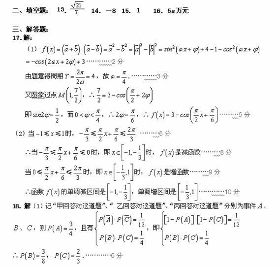
一、选择题: C  C  D  B  D   A   A   C  B  B     A  D

 

(2)由(Ⅰ)高考资源网( www.ks5u.com),中国最大的高考网站,您身边的高考专家。高考资源网( www.ks5u.com),中国最大的高考网站,您身边的高考专家。.

高考资源网( www.ks5u.com),中国最大的高考网站,您身边的高考专家。的可能取值为:高考资源网( www.ks5u.com),中国最大的高考网站,您身边的高考专家。高考资源网( www.ks5u.com),中国最大的高考网站,您身边的高考专家。高考资源网( www.ks5u.com),中国最大的高考网站,您身边的高考专家。高考资源网( www.ks5u.com),中国最大的高考网站,您身边的高考专家。.

高考资源网( www.ks5u.com),中国最大的高考网站,您身边的高考专家。

高考资源网( www.ks5u.com),中国最大的高考网站,您身边的高考专家。

高考资源网( www.ks5u.com),中国最大的高考网站,您身边的高考专家。

高考资源网( www.ks5u.com),中国最大的高考网站,您身边的高考专家。.…………9分

高考资源网( www.ks5u.com),中国最大的高考网站,您身边的高考专家。的分布列为

高考资源网( www.ks5u.com),中国最大的高考网站,您身边的高考专家。

高考资源网( www.ks5u.com),中国最大的高考网站,您身边的高考专家。

高考资源网( www.ks5u.com),中国最大的高考网站,您身边的高考专家。

高考资源网( www.ks5u.com),中国最大的高考网站,您身边的高考专家。

高考资源网( www.ks5u.com),中国最大的高考网站,您身边的高考专家。

高考资源网( www.ks5u.com),中国最大的高考网站,您身边的高考专家。

高考资源网( www.ks5u.com),中国最大的高考网站,您身边的高考专家。

高考资源网( www.ks5u.com),中国最大的高考网站,您身边的高考专家。

高考资源网( www.ks5u.com),中国最大的高考网站,您身边的高考专家。

高考资源网( www.ks5u.com),中国最大的高考网站,您身边的高考专家。

高考资源网( www.ks5u.com),中国最大的高考网站,您身边的高考专家。的数学期望高考资源网( www.ks5u.com),中国最大的高考网站,您身边的高考专家。.…………12分

高考资源网( www.ks5u.com),中国最大的高考网站,您身边的高考专家。故二面角高考资源网( www.ks5u.com),中国最大的高考网站,您身边的高考专家。的大小为高考资源网( www.ks5u.com),中国最大的高考网站,您身边的高考专家。…………………………12分

 

 

 

 

 

 

 

解法二:如图,以高考资源网( www.ks5u.com),中国最大的高考网站,您身边的高考专家。为原点,建立空间直角坐标系,使高考资源网( www.ks5u.com),中国最大的高考网站,您身边的高考专家。轴,高考资源网( www.ks5u.com),中国最大的高考网站,您身边的高考专家。高考资源网( www.ks5u.com),中国最大的高考网站,您身边的高考专家。分别在高考资源网( www.ks5u.com),中国最大的高考网站,您身边的高考专家。轴、高考资源网( www.ks5u.com),中国最大的高考网站,您身边的高考专家。轴上。

 

20.解:(1)由题意知高考资源网( www.ks5u.com),中国最大的高考网站,您身边的高考专家。高考资源网( www.ks5u.com),中国最大的高考网站,您身边的高考专家。……2分

高考资源网( www.ks5u.com),中国最大的高考网站,您身边的高考专家。  

高考资源网( www.ks5u.com),中国最大的高考网站,您身边的高考专家。……5分

检验知高考资源网( www.ks5u.com),中国最大的高考网站,您身边的高考专家。高考资源网( www.ks5u.com),中国最大的高考网站,您身边的高考专家。时,结论也成立,故高考资源网( www.ks5u.com),中国最大的高考网站,您身边的高考专家。.…………6分

(2)由于高考资源网( www.ks5u.com),中国最大的高考网站,您身边的高考专家。,故

高考资源网( www.ks5u.com),中国最大的高考网站,您身边的高考专家。高考资源网( www.ks5u.com),中国最大的高考网站,您身边的高考专家。.…………12分

21.解:(1)设高考资源网( www.ks5u.com),中国最大的高考网站,您身边的高考专家。,由高考资源网( www.ks5u.com),中国最大的高考网站,您身边的高考专家。知:R是TN的中点,…………………1分

    则T(-x,0),R(0, 高考资源网( www.ks5u.com),中国最大的高考网站,您身边的高考专家。),高考资源网( www.ks5u.com),中国最大的高考网站,您身边的高考专家。=O  则(-x,- 高考资源网( www.ks5u.com),中国最大的高考网站,您身边的高考专家。)・(1,- 高考资源网( www.ks5u.com),中国最大的高考网站,您身边的高考专家。)=0………………3分

     ∴ 点N的轨迹曲线C的方程为:高考资源网( www.ks5u.com),中国最大的高考网站,您身边的高考专家。……………5分

   (2)设直线高考资源网( www.ks5u.com),中国最大的高考网站,您身边的高考专家。的方程为高考资源网( www.ks5u.com),中国最大的高考网站,您身边的高考专家。,代入曲线C的方程高考资源网( www.ks5u.com),中国最大的高考网站,您身边的高考专家。得:   高考资源网( www.ks5u.com),中国最大的高考网站,您身边的高考专家。此方程有两个不等实根,

高考资源网( www.ks5u.com),中国最大的高考网站,您身边的高考专家。……………6分

 M在曲线C上,P、Q是直线高考资源网( www.ks5u.com),中国最大的高考网站,您身边的高考专家。与曲线C的交点,

高考资源网( www.ks5u.com),中国最大的高考网站,您身边的高考专家。高考资源网( www.ks5u.com),中国最大的高考网站,您身边的高考专家。

高考资源网( www.ks5u.com),中国最大的高考网站,您身边的高考专家。是以PQ为斜边的直角三角形高考资源网( www.ks5u.com),中国最大的高考网站,您身边的高考专家。……8分

高考资源网( www.ks5u.com),中国最大的高考网站,您身边的高考专家。,高考资源网( www.ks5u.com),中国最大的高考网站,您身边的高考专家。,有高考资源网( www.ks5u.com),中国最大的高考网站,您身边的高考专家。

由于高考资源网( www.ks5u.com),中国最大的高考网站,您身边的高考专家。

高考资源网( www.ks5u.com),中国最大的高考网站,您身边的高考专家。    ∴高考资源网( www.ks5u.com),中国最大的高考网站,您身边的高考专家。…………10分

t为点M的纵坐标,高考资源网( www.ks5u.com),中国最大的高考网站,您身边的高考专家。关于高考资源网( www.ks5u.com),中国最大的高考网站,您身边的高考专家。的方程高考资源网( www.ks5u.com),中国最大的高考网站,您身边的高考专家。有实根,

高考资源网( www.ks5u.com),中国最大的高考网站,您身边的高考专家。高考资源网( www.ks5u.com),中国最大的高考网站,您身边的高考专家。

直线高考资源网( www.ks5u.com),中国最大的高考网站,您身边的高考专家。的斜率高考资源网( www.ks5u.com),中国最大的高考网站,您身边的高考专家。高考资源网( www.ks5u.com),中国最大的高考网站,您身边的高考专家。高考资源网( www.ks5u.com),中国最大的高考网站,您身边的高考专家。高考资源网( www.ks5u.com),中国最大的高考网站,您身边的高考专家。…12分

22.解(1)高考资源网( www.ks5u.com),中国最大的高考网站,您身边的高考专家。

高考资源网( www.ks5u.com),中国最大的高考网站,您身边的高考专家。的增区间为高考资源网( www.ks5u.com),中国最大的高考网站,您身边的高考专家。高考资源网( www.ks5u.com),中国最大的高考网站,您身边的高考专家。减区间为高考资源网( www.ks5u.com),中国最大的高考网站,您身边的高考专家。高考资源网( www.ks5u.com),中国最大的高考网站,您身边的高考专家。.…………3分

极大值为高考资源网( www.ks5u.com),中国最大的高考网站,您身边的高考专家。,极小值为高考资源网( www.ks5u.com),中国最大的高考网站,您身边的高考专家。.…………5分

(2)原不等式可化为高考资源网( www.ks5u.com),中国最大的高考网站,您身边的高考专家。由(1)知,高考资源网( www.ks5u.com),中国最大的高考网站,您身边的高考专家。时,高考资源网( www.ks5u.com),中国最大的高考网站,您身边的高考专家。的最大值为高考资源网( www.ks5u.com),中国最大的高考网站,您身边的高考专家。.

高考资源网( www.ks5u.com),中国最大的高考网站,您身边的高考专家。的最大值为高考资源网( www.ks5u.com),中国最大的高考网站,您身边的高考专家。,由恒成立的意义知道高考资源网( www.ks5u.com),中国最大的高考网站,您身边的高考专家。,从而高考资源网( www.ks5u.com),中国最大的高考网站,您身边的高考专家。…8分

(3)设高考资源网( www.ks5u.com),中国最大的高考网站,您身边的高考专家。

高考资源网( www.ks5u.com),中国最大的高考网站,您身边的高考专家。.

∴当高考资源网( www.ks5u.com),中国最大的高考网站,您身边的高考专家。时,高考资源网( www.ks5u.com),中国最大的高考网站,您身边的高考专家。,故高考资源网( www.ks5u.com),中国最大的高考网站,您身边的高考专家。高考资源网( www.ks5u.com),中国最大的高考网站,您身边的高考专家。上是减函数,

又当高考资源网( www.ks5u.com),中国最大的高考网站,您身边的高考专家。高考资源网( www.ks5u.com),中国最大的高考网站,您身边的高考专家。高考资源网( www.ks5u.com),中国最大的高考网站,您身边的高考专家。高考资源网( www.ks5u.com),中国最大的高考网站,您身边的高考专家。是正实数时,高考资源网( www.ks5u.com),中国最大的高考网站,您身边的高考专家。

高考资源网( www.ks5u.com),中国最大的高考网站,您身边的高考专家。.

高考资源网( www.ks5u.com),中国最大的高考网站,您身边的高考专家。的单调性有:高考资源网( www.ks5u.com),中国最大的高考网站,您身边的高考专家。

高考资源网( www.ks5u.com),中国最大的高考网站,您身边的高考专家。.…………12′

 

 

 

 

 

 

关闭