18.(本题 13 分)
- 答案
一、选择题:本大题共10小题,每小题5分,满分50分.在每小题给出的四个选项中,只有一项是符合题目要求的.
ADBAC BCABC
※1.A (1)
比
大,实数与虚数不能比较大小;(2)两个复数互为共轭复数时其和为实数,但是两个复数的和为实数不一定是共轭复数;
(3)
的充要条件为
是错误的,因为没有表明
是否是实数;
(4)当
时,没有纯虚数和它对应
※2.D
,虚部为![]()
※3.B
;
,反之不行,例如
;
为实数不能推出
,例如
;对于任何
,
都是实数
※4.A ![]()
※5.C ![]()
※6.B ![]()
※7.C
,![]()
※8.A
![]()
※9.B
![]()
※10.C
二、填空题(每小题5分, 4题共20分)。
※11.
![]()
※12.
![]()
※13.
![]()
![]()
※14.
记![]()
![]()
![]()
![]()
三、解答题:本大题共6小题,满分80分.解答须写出文字说明、证明过程和演算步骤.
15(本题 13 分)
解:设
,由
得
;
是纯虚数,则![]()
,![]()
16.(本题 13 分)
1)
![]()
(2)
![]()
(3)
![]()
(4)
![]()
17(本题 13 分)
解:设
,而
即![]()
则![]()
18.(本题 13 分)
略
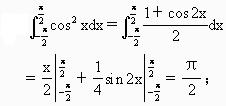
19.(本题 14 分)
解:首先求出函数
的零点:
,
,
.又易判断出在
内,图形在
轴下方,在
内,图形在
轴上方,
所以所求面积为![]()
![]()
![]()
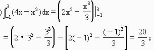
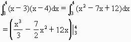
20.(本题 14 分)
解:(1)设f(x)=ax2+bx+c,则f′(x)=2ax+b,
又已知f′(x)=2x+2
∴a=1,b=2.
∴f(x)=x2+2x+c
又方程f(x)=0有两个相等实根,
∴判别式Δ=4-4c=0,即c=1.
故f(x)=x2+2x+1.
(2)依题意,有所求面积=
.
(3)依题意,有
,
∴
,-
t3+t2-t+
=
t3-t2+t,2t3-6t2+6t-1=0,
∴2(t-1)3=-1,于是t=1-
.