22.(本小题满分14分)
- 答案
一、选择题:
1.A 2. D 3.C 4.A 5.D 6.A 7.B 8.B 9.C 10.C
二、填空题:
11.
12.100 13.2 14.
15.
16.276
三、解答题:
17.解:
(I)![]()
----2分
![]()
-------------3分
函数
的最小正周期是
-------------4分
![]()
18.解:(Ⅰ)由已知得,
则
. -------------4分
(Ⅱ)中国乒乓球队获得金牌数是一随机变量
,
它的所有可能取值为0,1,2,3,4 (单位: 枚).那么-------------5分
-------------6分
,
-------------8分
![]()
19.解:
(I)
是矩形,
--------------1分
又
-------------2分
-------------3分
CD
----------4分
(II)由
,及(I)结论可知DA、DC、DS
两两互相垂直,
建立如图所示的空间直角坐标系
--------------5分
--------------6分
--------------7分
AD与SB所成的角的余弦为
--------------8分
(III)
设面SBD的一个法向量为![]()
--------------9分
![]()
CD是CS在面ABCD内的射影,且![]()
--------------6分
--------------8分
从而SB与AD的成的角的余弦为
(III)![]()
面ABCD.
BD为面SDB与面ABCD的交线.
SDB
于F,连接EF, 从而得:![]()
为二面角A―SB―D的平面角
--------------10分
在矩形ABCD中,对角线![]()
中,![]()
![]()
所以所求的二面角的余弦为
--------------12分
20.解:
(Ⅰ)由
----------1分
----------2分
![]()
------------3分
(Ⅱ)假设存在实数t,使得
为等差数列.
则
------------4分
------------5分
------------6分
![]()
存在t=1,使得数列
为等差数列. ------------7分
(Ⅲ)由(1)、(2)知:
------------8分
又
为等差数列.
![]()
------------9分
![]()
------------10分
--11分
![]()
![]()
………………12分
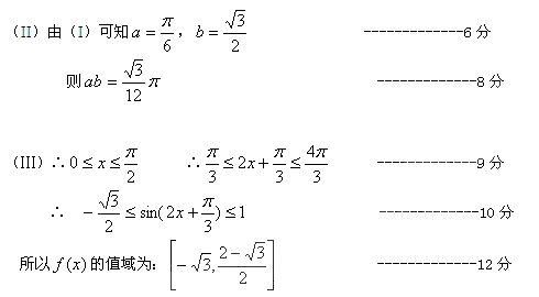
21.解:
|