(Ⅱ)若数列{an}满足f(),且a1=4,求数列{an}的通项公式;

(Ⅲ)对于(Ⅱ)中的数列{an},求证a1+a2+a3+…+ak<5(k =1,2,3…).

 

 

海 淀 区 高 三 年 级 第 一 学 期 期 末 练 习

   (文科)            

 

  • 答案

一、              选择题(本大题共8小题,每小题5分,共40分)

 

题号

(1)

(2)

(3)

(4)

(5)

(6)

(7)

(8)

答案

D

A

B

B

D

A

C

C

 

二、填空题(本大题共6小题,每小题5分,有两空的小题,第一空3分,第二空2分,共30分)

(9)2    (10)y=sin(2x+ )    (11)     (12)(-∞,-1)∪(-1,1)    (13)16,

(14)72,120

三、解答题(本大题共6小题,共80分)

(15)(共13分)

解:(Ⅰ)f(x)=cos2x+2sinxcosx-sin2x

=sin2x+cos2x……………………………………………………4分

=2sin(2x+)………………………………………………………5分

T=, f(x)∈[-2,2] ……………………………………………7分

(Ⅱ)由f()=2,有f()=2sin(A+)=2, ………………………………8分

∴sin(A+)=1.

∵0<A<,∴A+=,即A=.……………………………………10分

由余弦定理a2=b2+c2-2bccosAa2=bc,∴(b-c)2=0. ………………12分

b=c,∴B=C=.

∴△ABC为等边三角形. ……………………………………………13分

(16)(共13分)

解:(Ⅰ)∵S1=a1=1,且数列{Sn}是以2为公比的等比数列,

Sn=2n-1.……………………………………………………………2分

又当n≥2时,an=Sn-Sn-1=2n-2(2-1)=2n-2. …………………………5分

an=          ………………………………………………7分

 

(Ⅱ)a3,a5,…,a2n+1是以2为首项,以4为公比的等比数列,…………9分

a3+a5+…+a2n+1=…………………………11分

a1+a3+…+a2n+1=1+…………………………13分

(17)(共14分)

方法一:

(Ⅰ)证明:连结BDACE,连结ME.…………………………………1分

ABCD是正方形,∴EBD的中点.∵MSD的中点,∴ME是△DSB的中位线.

MESB.………………………………………………………………………2分

又∵ME?平面ACM,SB?平面ACM, ………………………………………3分

SB∥平面ACM.………………………………………………………………4分

(Ⅱ)解:取AD中点F,则MFSA.作FQACQ,连结MQ. ………5分

SA⊥底面ABCD,∴MF⊥底面ABCD.

FQMQ在平面ABCD内的射影.

FQAC,

MQAC.

∴∠FQM为二面角D-AC-M的平面角.………………………………………7分

SA=AB=a,在Rt△MFQ中,MF=SA=,FQ=DE=a,

∴tanFQM=

∴二面角D-AC-M的大小为arctan. ………………………………………9分

(Ⅲ)证明:由条件有DCSA,DCDA,∴DC⊥平面SAD,∴AMDC.…………10分

又∵SA=AD,MSD的中点,∴AMSD.

AM⊥平面SDC. ………………………………………………………………11分

SCAM.

由已知SCAN,∴SC⊥平面AMN.

SC?平面SAC,∴平面SAC⊥平面AMN. …………………………………14分

方法二:

解:(Ⅱ)如图,以A为坐标原点,建立空间直角坐

标系A-xyz, ……………………………5分

SA=AB,故设AB=AD=AS=1,则

A(0,0,0),B(0,1,0),C(1,1,0),

D(1,0,0),S(0,0,1),M,0,).

SA⊥底面ABCD,

是平面ABCD的法向量,

*=(0,0,1).

 

设平面ACM的法向量为n=(x, y, z),

=(1,1,0), =(),………………………………………………7分

 

      

 

x=1,则n=(1,-1,-1).  …………………………………………………………8分

∴cos<, n>=     =      =

∴二面角D-AC-M的大小为arccos.………………………………………9分

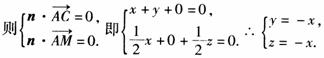
(Ⅲ)∵=(,0,),=(-1,-1,1),…………………………………………10分

= -+=0.

.…………………………………………………………………………12分

又∵SCANANAM=A,

SC⊥平面AMN.又SC平面SAC,

∴平面SAC⊥平面AMN.…………………………………………………………14分

(18)(共12分)

解:(Ⅰ)设“这4个家庭中恰好有3个家庭订阅了A报”的事件为A,………1分

P(A)=  (0.3)3(0.7)=0.0756 …………………………………………4分

答:这4个家庭中恰好有3个家庭订阅了A报的概率为0.0756.

(Ⅱ)设“这4个家庭中至多有3个家庭订阅了B报”的事件为B,………5分

P(B)=1-(0.6)4=1-0.1296=0.8704…………………………………………8分

答:这4个家庭中至多有3个家庭订阅了B报的概率为0.8704.

(Ⅲ)设“这4个家庭中恰好有2个家庭A,B报都没有订阅”的事件为C, …9分

因为有30%的家庭订阅了A报,有60%的家庭订阅了B报,

有20%的家庭同时订阅了A报和B报.所以两份报纸都没有订阅的家庭

有30%.

所以P(C)=  (0.3)2(0.7)2=0.2646 …………………………………12分

答:这4个家庭中恰好有2个家庭A,B报都没有订阅的概率为0.2646.

:第三问若写出两份报纸都没有订阅的家庭有30%,后面计算有误,给到10分.

(19)(共14分)

解:(Ⅰ)设抛物线S的方程为y2=2px.…………………………………………1分

可得2y2+py-20p=0.……………………………………3分

由Δ>0,有p>0,或p<-160.

B(x1,y1),C(x2,y2),则y1+y2=.

x1+x2=(5-)+(5-)=10- =10+.…………………………5分

A(x3,y3),由△ABC的重心为F,0),则

x3=

∵点A在抛物线S上,∴(2=2p),∴p=8.…………………6分

∴抛物线S的方程为y2=16x.……………………………………………………7分

(Ⅱ)当动直线PQ的斜率存在时,设PQ的方程为y=kx+b,显然k≠0,b≠0.………

……………………………………………………………………………………8分

P(xp, yp),Q(xQ, yQ),∵OPOQ,∴kOPkOQ=-1.

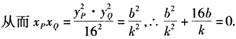
=-1,∴xP xQ + yP yQ=0.  …………………………………………10分

y=kx+b代入抛物线方程,得ky2-16y+16b=0,∴yPyQ=.

k≠0,b≠0,∴b=-16k,∴动直线方程为y=kx-16k=k(x-16).

此时动直线PQ过定点(16,0).………………………………………………12分

当直线PQ 的斜率不存在时,显然PQx轴,又OPOQ,∴△POQ为等腰直角三角形.

得到P(16,16),Q(16,-16).

此时直线PQ亦过点(16,0). …………………………………………………13分

综上所述,动直线PQ过定点M(16,0). ………………………………………14分

(20)(共14分)

解:(Ⅰ)由已知,可得f '(x)=2ax+b,  …………………………………………1分

解之得a=.…………………………………………3分

(Ⅱ)∵

=2×1

=2×2

=2×3

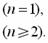
累加得=n2-n(n=2,3…).………………………………………………6分

an=n=2,3…).

n=1时,………………………………………………7分

an=n=1,2,3…).……………………………………………8分

(Ⅲ)当k=1时,由已知a1=4<5显然成立;………………………………………9分

k≥2时,ak=<(k2)……………………11分

a1+a2+a3+…+ak<4+[(1-)+()+…+ ()]=5-<5

………………………………………………………………………………13分

综上,a1+a2+a3+…+ak<5(k=1,2,3…)成立. ………………………………14分

 

说明:其他正确解法按相应步骤给分.

 

关闭