11.已知向量.若向量,则实数的值是      

试题详情>>

12. 在某项测量中,测量结果服从正态分布,若在(0,2)内取值的概率为0.4,则内取值的概率为       

试题详情>>

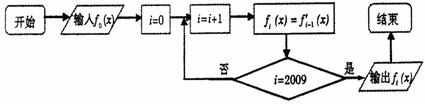
13.  在如下程序图框中,输入,则输出的是                

 

试题详情>>

14. 某师傅需用合板制作一个工作台,工作台由

主体和附属两部分组成,主体部分全封闭,附属

部分是为了防止工件滑出台面而设置的护墙,其

大致形状的三视图如右图所示(单位长度: cm), 则

按图中尺寸,做成的工作台用去的合板的面积为

             (制作过程合板损耗和合板厚度忽略不计)

 

试题详情>>

15.对于集合N={1, 2, 3,…, n}的每一个非空子集,定义一个“交替和”如下:按照递减的次序重新排列该子集,然后从最大数开始交替地减、加后继的数.例如集合{1, 2, 4, 6, 9}的交替和是9?6+4?2+1=6,集合{5}的交替和为5.当集合N中的n =2时,集合N={1, 2}的所有非空子集为{1},{2},{1, 2},则它的“交替和”的总和=1+2+(2?1)=4,则当时,= _____  , ;根据,猜想集合N ={1, 2, 3,…, n}的每一个非空子集的“交替和”的总和=_____

试题详情>>

16. (本小题满分13分)

试题详情>>

已知函数一个周期的图象如图所示,

试题详情>>

(1)求函数的表达式;

试题详情>>

(2)若,且的一个内角,求的值.

 

 

 

试题详情>>

17.(本小题满分13分)

试题详情>>

某校从参加高一年级期末考试的学生中抽出60名学生,将其成绩(均为整数)分成六段后画出如下部分频率分布直方图.观察图形的信息,回答下列问题:

(Ⅰ)求第四小组的频率,并补全这个频率分布直方图;

(Ⅱ)估计这次考试的及格率(60分及以上为及格)和

平均分;

(Ⅲ) 从成绩是70分以上(包括70分)的学生中选两人,

求他们在同一分数段的概率.

 

 

 

 

试题详情>>

18、(本小题满分13分)

试题详情>>

受金融危机的影响,三峡某旅游公司经济效益出现了一定程度的滑坡.现需要对某一景点进行改造升级,从而扩大内需,提高旅游增加值. 经过市场调查,旅游增加值万元与投入万元之间满足:,其中为大于的常数.当万元时万元.

试题详情>>

  (1)求的解析式和投入的取值范围;

试题详情>>

  (2)求出旅游增加值取得最大值时对应的值.

试题详情>>

19. (本小题满分13分)

试题详情>>

已知动圆过点并且与圆相外切,动圆圆心的轨迹为,轨迹轴的交点为

试题详情>>

 (1)求轨迹的方程;

试题详情>>

(2)设直线过点且与轨迹有两个不同的交点,求直线斜率的取值范围;

试题详情>>

(3)在(Ⅱ)的条件下,若,证明直线过定点,并求出这个定点的坐标.

试题详情>>

20.(本小题满分14分)

试题详情>>

已知函数,数列满足,且

试题详情>>

(1)试探究数列是否是等比数列?

试题详情>>

(2)试证明

试题详情>>

(3)设,试探究数列是否存在最大项和最小项?若存在求出最大项和最小项,若不存在,说明理由.

试题详情>>

21. (本小题满分14分)

本题有(Ⅰ)、(Ⅱ)、(Ⅲ)三个选答题,每题7分,请考生任选2题作答,满分14分.如果多做,则按所做的前两题记分.

(Ⅰ)二阶矩阵M对应的变换将点(1,-1)与(-2,1)分别变换成点(-1,-1)与(0,-2).

试题详情>>

(1)求矩阵M的逆矩阵

试题详情>>

(2)设直线在变换M作用下得到了直线m:2x-y=4,求的方程.

试题详情>>

(Ⅱ)在极坐标系中,设圆上的点到直线的距离为,求的最大值.

试题详情>>

(Ⅲ)已知,求证:   

试题详情>>
关闭