1.2008年由德、法、美及波兰等多国科学家组成的科研小组合成了非常罕见的6ec8aac122bd4f6eFe原子,有关6ec8aac122bd4f6eFe的说法正确的是

试题详情>>

    A.它是一种新元素                 B.6ec8aac122bd4f6eFe 与6ec8aac122bd4f6eFe互为同位素

试题详情>>

C.6ec8aac122bd4f6eFe原子核外有19个电子       D这种铁原子发生衰变放出两个质子后变成6ec8aac122bd4f6eFe.

试题详情>>

2.最近,科学家用一种称为“超酸”的化合物H(CB11H6Cl6)和C60反应,使C60获得一个质子,得到一种新型的离子化合物[HC60]+[(CB11H6Cl6)]。该反应看起来很陌生,但反应类型上可以跟中学化学里某个熟悉的化学反应相比拟,该化学反应是

A. Zn+2HCl=ZnCl2+H2↑             B.NaOH+HCl=H2O+NaCl

C. NH3+HCl=NH4Cl                  D.H2O+CH3COOH=H3O++CH3COO

试题详情>>

3.实验室里不宜长期放置,应在使用时才配制的试剂是

①酚酞试液                  ②银氨溶液               ③Na2CO3溶液    ④Cu(OH)2悬浊液

⑤酸性FeCl3溶液    ⑥FeSO4溶液            ⑦NaCl溶液              ⑧氯水

A.②⑤⑥⑧                 B.①③④⑤               C.①②⑤⑦               D.②④⑥⑧

试题详情>>

4.下列各组物质中,不是6ec8aac122bd4f6e(“→”表示一步完成)关系相互转化的是:

选项

A

B

C

D

a

Fe

CH2=CH2

HNO3

Al(OH)3

b

FeCl3

CH3CH2Br

NO

NaAlO2

c

FeCl2

CH3CH2OH

NO2

Al2O3

试题详情>>

5.一定质量 Cu与某浓度足量的HNO3反应,将放出的气体与1.12 L O2(标准状况下)混合后,通入水中,恰好被全部吸收,则Cu的质量为

试题详情>>

A.3.2g                B.4.8g                C.6.4g                D.10.8g

试题详情>>

6. 下列有关物质分类或归类正确的是

①混合物:石炭酸、福尔马林、水玻璃、水银

②化合物:CaCl2、烧碱、聚苯乙烯、HD

③电解质:明矾、胆矾、冰醋酸、硫酸钡

④同系物:CH2O2、C2H4O2、C3H6O2、C4H8O2

⑤同素异形体:C60、C70、金刚石、石墨

A、①③④       B、③⑤        C、②③④        D、②④

试题详情>>

7.已知通过乙醇制取氢气有如下两条路线:

试题详情>>

6ec8aac122bd4f6ea.CH3CH2OH(g)+H2O(g)→4H2(g)+2CO(g)  6ec8aac122bd4f6e

试题详情>>

b.CH3CH2OH(g)+6ec8aac122bd4f6eO2(g)→3H2(g)+2CO(g) 6ec8aac122bd4f6e

则下列说法不正确的是

A.降低温度,可提高b路线中乙醇的转化率

B.从能量消耗的角度来看,b路线制氢更加有利

C.乙醇可通过淀粉等生物质原料发酵制得,属于可再生资源

试题详情>>

D.由a、b知:2 H2(g)+O2(g)==2 H2 O(g)  6ec8aac122bd4f6e

试题详情>>

8、下列各组离子在指定条件下,―定能大量共存的是

①能使红色石蕊试纸变蓝的溶液中:K+、Na+、CO32-、NO3、AlO2

②c(H+)=10―1mol/L的溶液中:Cu2+、Al3+、SO42、NO3

③能使碘化钾淀粉试纸变蓝的溶液中:Na+、NH4+、S2、Br

④水电离出的c(H+)=10-12mol/L的溶液中:Na+、Mg2+、Cl、SO42

⑤在加入铝粉能产生H2的溶液中:NH4+、Fe2+、SO42、NO3

⑥在含大量Fe3+的溶液中:NH4+、Na+、Cl、SCN

A.①②      B.①③      C.②④      D.②⑤⑥

试题详情>>

9.乙烯酮(CH2=C=O)在一定条件下能与含活泼氢的化合物发生加成反应,反应可表示成CH2=C=O+HA→CH3COA。乙烯酮在一定条件下与下列各试剂发生加成反应时所得产物不正确的是

A.与HCl加成时得CH3COCl              B.与H2O加成时得CH3COOH

C.与CH3OH加成时得CH3COCH2OH          D.与CH3COOH加成时得CH3COOCOCH3

 

试题详情>>

10.类推的思维方法在化学学习与研究中常会产生错误的结论,因此类推的结论最终要经过实践的检验才能确定其正确与否。下表中有关推论正确的是

 

已知事实

推论

A

Na2CO3溶液在空气中不易变质

水玻璃在空气中不易变质

B

乙烯分子内所有原子在同一平面上

丙烯分子内所有原子在同一平面上

C

乙烯在空气中燃烧有黑烟

苯在空气中燃烧产生的烟更浓

D

Na在空气中燃烧生成Na2O2

Li在空气中燃烧生成Li2O2

试题详情>>

11.设NA表示阿伏加德罗常数,下列叙述中正确的是 

    A.1mol金刚石晶体中含碳碳键数为2 NA

试题详情>>

B.常温常压下,22.4L的D2、H2组成的气体分子数为NA 

试题详情>>

C. 100 mL 0.5 mol/L的(NH4)2SO4溶液中,含有0.1NA个NH4+

D.1molNa2O2与足量CO2反应转移的电子数NA

试题详情>>

12.a、b、c、d是四种短周期元素。a、b、d同周期,c、d同主族。a的原子结构示意图为

试题详情>>

6ec8aac122bd4f6e6ec8aac122bd4f6e,b与c形成化合物的电子式为下列比较中正确的是

 

      A.原子半径:a>c>d>b                   B.最高价含氧酸的酸性c>d>a

 C.原子序数:a>d>b>c                   D.单质的氧化性a>b>d>c

 

试题详情>>

13.下列离子方程式正确的是

试题详情>>

A.碳酸钠溶液显碱性:CO32- + 2H2O 6ec8aac122bd4f6e  H2CO3 +2OH-

B.过量铁粉溶于稀硝酸中:Fe + 4H+ + NO3- == Fe3+ + NO↑+ 2H2O

  C.电解精炼铜的阴极反应是:Cu2+2e=Cu   

D.向次氯酸钙溶液中通入少量二氧化硫:

试题详情>>

Ca2++ClO+SO2+H26ec8aac122bd4f6eCaSO3+2HClO

试题详情>>

14.双球洗气管是一种多用途仪器,常用于除杂质、气体干燥、气体吸收(能防止倒吸)等实验操作。右图是用水吸收下列某种气体时的情形,根据下表数据判断由左方进入的被吸收气体是

试题详情>>

高考资源网( www.1010jiajiao.com),中国最大的高考网站,您身边的高考专家。

气     体

Cl2

HCl

H2S

CO2

1体积水约能吸收气体体积数

2

500

试题详情>>

2.6

1

 

 

 

 

试题详情>>

6ec8aac122bd4f6e15.将6ec8aac122bd4f6e逐渐加入到含有6ec8aac122bd4f6e6ec8aac122bd4f6e6ec8aac122bd4f6e的混合液中并微热,产生沉淀和气体的物质的量(mol)与加入6ec8aac122bd4f6e的物质的量(mol)的关系如图所示,则原溶液中6ec8aac122bd4f6e6ec8aac122bd4f6e6ec8aac122bd4f6e的物质的量分别为

A.2 mol、3 mol、8 mol               

B.3 mol、2 mol、8 mol 

C.2 mol、3 mol、4 mol                

D.3 mol、2 mol、4 mol

试题详情>>

16.下列溶液中有关物质的量浓度关系正确的是

A.pH=2的HA溶液与pH=12的MOH溶液任意比混合:

      c(H+) + c(M+) == c(OH-) + c(A-)

B. pH相等的CH3COONa、NaOH和Na2CO3三种溶液:

      c(NaOH)<c(CH3COONa)<c(Na2CO3)

C.物质的量浓度相等CH3COOH和CH3COONa溶液等体积混合:

c(CH3COO-) +2c(OH-) == 2c(H+) + c(CH3COOH)

试题详情>>

D.0.1mol・L-1的NaHA溶液,其pH=4:c(HA-)>c(H+)>c(H2A)>c(A2-)

试题详情>>

6ec8aac122bd4f6e17.右图中,两电极上发生的电极反应为: a极:Cu2++2e=Cu  b极:Fe-2e=Fe2+,下列说法中不正确的是(    )

    A.该装置可能是电解池

  B.a极上发生的是氧化反应

    C.a、b可能是同种电极材料

  D.该装置在工作时,溶液中的阳离子可能向b极移动

 

试题详情>>

18.在一密闭容器中有如下反应:aX(g)+bY(g) 6ec8aac122bd4f6enW(g);ΔH=Q。某化学兴趣小组的同学根据此反应在不同条件下的实验数据,作出了如下曲线图:

试题详情>>

6ec8aac122bd4f6e

其中,ω(W)表示W在反应混合物中的百分含量,t表示反应时间。其它条件不变时,下列分析可能正确的是

A.图Ⅰ可能是不同压强对反应的影响,且P2>P1,a+b<n

B.图Ⅲ可能是不同温度对反应的影响,且T1>T2,ΔH<0

C.图Ⅱ可能是不同压强对反应的影响,且P1>P2,n<a+b

D.图Ⅱ可能是在同温同压下催化剂对反应的影响,且1使用的催化剂效果好

 

 

 

 

第Ⅱ卷(共87分)

试题详情>>

19.(10分)已探明我国锰矿储量占世界第三位,但富矿仅占6.4%,每年尚需进口大量锰矿石。有人设计了把我国的贫菱锰矿(MnCO3含量较低)转化为高品位“菱锰矿砂”(MnCO3含量高)的绿色工艺。该工艺流程如下图所示:

试题详情>>

6ec8aac122bd4f6e

 

 

 

 

 

已知焙烧反应①的化学方程式:(NH4)2SO4+MnCO3MnSO4+2NH3↑+CO2↑+H2O。

(1)写出反应②的离子方程式_______________________________________。

(2)上述工艺流程中,可以循环利用的物质有(NH4)2SO4、____________、__________。从物料平衡角度看,理论上生产过程中_________(填“需要”或者“不需要”)添加(NH4)2SO4

试题详情>>

(3)向物质的量浓度均为0.01mol・L-1的MnCl2和BaCl2混合溶液中,滴加Na2CO3溶液,先沉淀的是________(填离子符号);当两种沉淀共存时,溶液中6ec8aac122bd4f6e=________。

试题详情>>

[Ksp(BaCO3)=8.1×10-9,Ksp(MnCO3)=1.8×10-11]

 

试题详情>>

20.(12分)某溶液中可能含有SO32―、SO42―、 HCO3三种离子中的两种或三种。为探究其组成,小明取出两份相同的样品溶液于试管中,向一份中加入过量的盐酸,产生无色气泡;向另一份中滴加过量的氯化钡溶液,产生白色沉淀。请设计合理实验,做进一步的探究,对小明的实验给出结论。

仅限选择的仪器、用品和试剂:烧杯、试管、玻璃棒、胶头滴管、量筒、集气瓶、铁架台、漏斗、滤纸、酒精灯、带单孔胶塞的导管;lmol/L硫酸;2mol/L盐酸;2mol/L硝酸、;lmol/L氯化钡、澄清石灰水、品红溶液、蒸馏水。

完成下列探究过程:

(1)提出假设:

假设 l :溶液中存在SO32―、SO42―    假设 2 :                  

假设 3 :                           假设 4 :溶液中存在SO32―、SO42―、 HCO3

(2) 基于假设4 , 设计出实验方案,将实验操作、预期的实验现象和结论填在下表中。

[提示]I、在答题卡上按照下表的方式作答,注意前后内容的对应。

Ⅱ、注意文字简洁,超出答题卡空间视为无效。

III 、可不填满,也可增加步骤。

步骤编号

实验操作

预期现象和结论

 

 

 

 

 

 

 

 

……

……

……

 

试题详情>>

21.(12分)近年来,江苏省酸雨污染较为严重,防治酸雨成了迫在眉睫的问题。

⑴有人提出了一种利用氯碱工业产品治理含二氧化硫废气的方法,流程如下: ( I )将含SO2的废气通入电解饱和食盐水所得溶液中,得NaHSO3溶液。(Ⅱ)将电解饱和食盐水所得气体反应后制得盐酸。(III)将盐酸加入NaHSO3溶液中得SO2气体回收,生成的NaCl循环利用。

① 写出步骤(I)反应的化学方程式:                             

② 写出步骤(III)反应的离子方程式:                            

⑵还有学者提出利用 Fe 2、Fe3等离子的催化作用,常温下将SO2氧化成SO42而实现SO2的回收利用。某研究性学习小组据此设计了如下方案,在实验室条件下测定转化器中SO2氧化成SO42的转化率。

试题详情>>

6ec8aac122bd4f6e

① 该小组采用下图装置在实验室测定模拟烟气中SO2的体积分数,X溶液可以是(填序号)              

试题详情>>

                  6ec8aac122bd4f6e

A.碘的淀粉溶液   B.酸性高锰酸钾溶液   C.氢氧化钠溶液    D.氯化钡溶液

② 若上述实验是在标准状况下进行的,X是已知体积和物质的量浓度的溶液,欲测定转化器中SO2氧化成SO42的转化率,已知气体流速,还需测定的数据是           

3 新型氨法烟气脱硫技术采用氨吸收烟气中SO2生成亚硫酸铵和亚硫酸氢铵,再用一定量的磷酸进行反应,在反应回收SO2后的混合物中通入适量的氨气得到一种产品。该技术的优点是             

试题详情>>

(4) 为进一步减少SO2的污染并变废为宝,人们正在探索用CO还原SO2得到单质硫的方法来除去SO2。该方法涉及到的化学反应为:SO2+2CO=2CO26ec8aac122bd4f6eSx 

试题详情>>

CO+6ec8aac122bd4f6eSx=COS、2COS+SO2=2CO26ec8aac122bd4f6eSx 。其中COS中“C”化合价为     

(5)若生活污水中含大量的氮化合物,通常用生物膜脱氮工艺进行处理:首先在消化细菌的作用下将NH4氧化为NO3:NH4+2O2=NO3+2H+H2O,然后加入甲醇,NO3和甲醇转化为两种无毒气体。请写出加入甲醇后反应的离子方程式                  。 

 

试题详情>>

22.(10分)广东沿海地区有着丰富的海水资源,海水中主要含有Na、K、Ca2、Mg2、Cl、SO42、Br、CO32、HCO3等离子。合理利用资源和保护环境是我省可持续发展的重要保证。

⑴海水经过处理后可以得到无水氯化镁,无水氯化镁是工业制取镁的原料。试写出电解熔融氯化镁制取金属镁的化学反应方程式                  

⑵某化工厂生产过程中会产生含有Cu2和Pb2的污水。排放前拟用沉淀法除去这两种离子,根据下列数据,你认为投入           (选填“Na2S”或“NaOH”)效果更好。

难溶电解质

Cu(OH)2

CuS

Pb(OH)2

PbS

Ksp

试题详情>>

4.8×1020

试题详情>>

6.3×1036

试题详情>>

1.2×1015

试题详情>>

1.0×1028

⑶火力发电在我国的能源利用中占较大比重,但是排放出的SO2会造成一系列环境和生态问题。利用海水脱硫是一种有效的方法,其工艺流程如下图所示:

试题详情>>

6ec8aac122bd4f6e

6ec8aac122bd4f6e

①天然海水的pH≈8,试用离子方程式解释天然海水呈弱碱性的原因                  (任写一个)。

②某研究小组为探究提高含硫烟气中SO2的吸收效率的措施,进行了天然海水吸收含硫烟气的模拟实验,实验结果如右图所示。

请你根据图示实验结果,就如何提高一定浓度含硫烟气中SO2的吸收效率,提出一条合理化建议:                        

                                  

③天然海水吸收了含硫烟气后会溶有H2SO3、HSO3等分子或离子,使用氧气将其氧化的化学原理是          (任写一个化学方程式或离子方程式)。氧化后的“海水”需要引入大量的天然海水与之混合后才能排放,该操作的主要目的是                               

 

试题详情>>

23.(12分)

黄铁矿是我国大多数硫酸厂制取硫酸的主要原料。某化学兴趣小组对某黄铁矿石(主要成分为FeS2)进行如下实验探究。

[实验一]为测定硫元素的含量

试题详情>>

Ⅰ.将m1 g该黄铁矿样品放入如下图所示装置(夹持和加热装置省略)的石英管中,从a处不断地缓缓通入空气,高温灼烧石英管中的黄铁矿样品至反应完全。石英管中发生反应的化学方程式为:4FeS2+11O26ec8aac122bd4f6e2Fe2O3+8SO2

试题详情>>

6ec8aac122bd4f6e

Ⅱ.反应结束后,将乙瓶中的溶液进行如下处理:

试题详情>>

6ec8aac122bd4f6e

问题讨论:

⑴.Ⅰ中,甲瓶内所盛试剂是________溶液。乙瓶内发生反应的离子方程式有_________________、_________________。

⑵.Ⅱ中,所加H2O2溶液(氧化剂)需足量的理由是_____________。

⑶.该黄铁矿中硫元素的质量分数为______________。

[实验二]设计以下实验方案测定铁元素的含量

试题详情>>

6ec8aac122bd4f6e

  问题讨论:

⑷.③中,需要用到的仪器除烧杯、玻璃棒、胶头滴管外,还有__________。

⑸.②中,若选用铁粉作还原剂,你认为合理吗?理由是:____________。

 

 

试题详情>>

6ec8aac122bd4f6e24.(12分)将2 mol SO2和1 mol O2混合置于体积可变的密闭容器中,在T1温度下发生如下反应:

试题详情>>

2SO2(g)+O2(g)6ec8aac122bd4f6e2SO3(g) △H<0

试题详情>>

当反应进行到时间t0点时达到平衡状态,测得混合气体的总物质的量为2.1 mol。试回答:

(1)该反应的平衡常数表达式为             

(2)反应进行到t0时SO2的体积分数为        

(3)保持温度不变,若使用催化剂,在图中作出从

反应开始到t0点这段时间SO2物质的量变化曲线。

(4)当反应进行到t1时间时(t1>t0),给上述反应容

器加热到温度T2 (T2>T1),反应在t2 时间时(t2>t1)

重新达到平衡状 态,这时K值        (填“增大”

“减小”或“不变”),新平衡混合物中气体的总物质

试题详情>>

的量  ______2.1 mol(填“<”、“>”或“=”)。

 

五、(本题包括1小题,9分)

试题详情>>

25.(9分)

试题详情>>

咖啡酸苯乙酯6ec8aac122bd4f6e是一种天然抗癌药物,在一定条件下能发生如下转化:

试题详情>>

6ec8aac122bd4f6e

请填写下列空白。

⑴.D分子中的官能团是________。

⑵.高分子M的结构简式是______________。

⑶.写出A→B反应的化学方程式:___________________。

⑷.B→C发生的反应类型有______________。

⑸.A的同分异构体很多种,其中,同时符合下列条件的同分异构体有____种。

①苯环上只有两个取代基;

②能发生银镜反应;

③能与碳酸氢钠溶液反应;

④能与氯化铁溶液发生显色反应。

 

六、选择题(本题包括2小题,考生只能选做一题。26小题为“有机化学基础”内容的试题,27小题为“物质结构与性质”内容的试题)

试题详情>>

26. (10分)某有机物X(C11H9O6Br)分子中有多种官能团,其结构简式为:

试题详情>>

6ec8aac122bd4f6e

(其中Ⅰ、Ⅱ为未知部分的结构),为推测X的分子结构,进行如下转化

试题详情>>

6ec8aac122bd4f6e

已知向D的水溶液中滴入FeCl3溶液发生显色反应,滴入NaHCO3溶液有无色无味

气体产生,且D苯环上的一氯代物有两种。                   

   (1)D中的官能团名称:          ;X的结构简式:               

   (2)写出E→F的化学方程式:                                            

   (3)D可能发生的反应有:           

        A.加成反应    B.消去反应   C.取代反应   D.氧化反应  E.加聚反应

   (4)D有多种同分异构体,遇FeCl3溶液发生显色反应,又能发生银镜反应,其中能水解的同分异构体的结构简式为:          ,不能水解的同分异构体的结构简式为:           (各写出一种)

试题详情>>

27.(10分)目前,全世界镍的消费量仅次于铜、铝、铅、锌,居有色金属第五位。镍行业发展蕴藏着巨大潜力。

⑴配合物Ni(CO)4常温为液态,易溶于CCl4、苯等有机溶剂。固态Ni(CO)4属于         晶体;基态Ni原子的电子排布式为                                    

试题详情>>

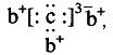
⑵配合物6ec8aac122bd4f6e分子内的作用力有             (填编号)。

A.氢键      B.离子键   C.共价键        D.配位键

试题详情>>

6ec8aac122bd4f6e⑶很多不饱和有机物在Ni催化下可以与H2发生加成反应。如①CH2=CH2、②CH≡CH、③6ec8aac122bd4f6e、④HCHO等,其中碳原子采取sp2杂化的分子有              (填物质序号),预测HCHO分子的立体结构为               形。

⑷氢气是新型清洁能源,镧(La)和镍(Ni)的合金可做储氢材料。该合金的晶胞如右图所示,晶胞中心有一个镍原子,其他镍原子都在晶胞面上,镧原子都在晶胞顶点。该晶体的化学式                    

 

 

 

 

 

 

 

 

 

 

 

 

 

 

2009年珠海市高三第二次调研化学试卷答案

试题详情>>
关闭