1.用于净化汽车尾气的反应:2NO(g)+2CO(g)6ec8aac122bd4f6e2CO2(g)+N2(g),已知该反应速率极慢,570K时平衡常数为1×1059。下列说法正确的是

A.装有尾气净化装置的汽车排出的气体中不再含有NO或CO

B.提高尾气净化效率的常用方法是升高温度

C.提高尾气净化效率的最佳途径是研制高效催化剂

D.570K时该反应正向进行的程度很大,故使用催化剂并无实际意义

试题详情>>

2.下列化学用语或模型图表示正确的是

试题详情>>

A.甲烷的球棍模型:   6ec8aac122bd4f6e     B.S2―的结构示意图为:6ec8aac122bd4f6e

试题详情>>

C.乙炔的最简式 CH≡CH             D.羟基的电子式 6ec8aac122bd4f6e

试题详情>>

3.据最新报道,科学家发现了如下反应:O2+PtF6=O2 (PtF6),已知O2(PtF6)为离子化合物,其中Pt为+5价,对于此反应,下列说法正确的是

A.O2 (PtF6) 中不存在共价键

B.在此反应中每生成1mol O2 (Pt F6)则转移lmol电子

C.在此反应中,O2是氧化剂,PtF6是还原剂

D.O2 (PtF6)中氧元素的化合价是+l价

试题详情>>

4.下列说法或表示方法正确的是

A.等物质的量的硫蒸气和硫固体分别完全燃烧,后者放出热量多

试题详情>>

B.由H(aq)+ OH(aq)= H2O(l)  △H = -57.3 kJ・mol-1可知,若将含1 LpH=1的 CH3COOH溶液与含1 mol NaOH的稀溶液混合,放出的热量小于57.3 kJ   

试题详情>>

C.由C(石墨)= C(金刚石)  △H = +1.90 kJ・mol-1可知,金刚石比石墨稳定

试题详情>>

D.在101 kPa时,2 g H2 完全燃烧生成液态水,放出285.8 kJ热量,则表示氢气燃烧热的热化学方程式为:2H2(g)+ O2(g)= 2H2O(l)   △H = -571.6 kJ・mol-1

试题详情>>

5.对于短周期元素,下列说法中正确的是

A.最外层电子数相同的元素一定位于同一主族

B.同一周期元素形成的简单离子的半径从左到右逐渐减小

C.若两种元素的原子序数相差8,一定是同一主族

D.同一主族的元素间也有可能形成离子化合物

试题详情>>

6.在下列溶液中,各组离子可能大量共存的是

A.使pH试纸呈红色的溶液中:Fe2+、ClO-、SO42-、Na+

B.加入铝粉后产生大量氢气的溶液中:NH4、Na、NO3-、SO42-

C.由水电离出c(H+)=10-12 mol・L-1的溶液:K+、Al3+、Cl-、SO42-

D.在含大量Fe3的溶液中:NH4、Na、Cl-、SCN-

试题详情>>

7.下列有关化工生产的叙述中正确的是

A.将煤液化、气化,有利于提高燃料的燃烧效率,减少污染物的排放

B.侯氏制碱法,向饱和NaCl溶液中先通入CO2再通入氨气制取纯碱

C.电解精炼铜时,同一时间内阳极溶解铜的质量与阴极析出铜的质量相等

D.工业生产硫酸中,建立高烟囱可以降低地面SO2的浓度,减少空气污染

试题详情>>

8. v mL密度为g・mL的某溶液中,含有相对分子质量为M的溶质m g,该溶液中溶质的质量分数为W%,物质的量浓度为c mol・L,那么下列关系式正确的是

试题详情>>

A.c=6ec8aac122bd4f6e        B.c=6ec8aac122bd4f6e      C.W%=6ec8aac122bd4f6e% D.m=6ec8aac122bd4f6e

试题详情>>

9. 根据下列实验现象,所得结论正确的是

试题详情>>

6ec8aac122bd4f6e

        A.                 B.               C.              D.

实验

实验现象

结论

A.

左烧杯中铁表面有气泡,右边烧杯中铜表面有气泡

活动性:Al>Fe>Cu

B.

左边棉花变为橙色,右边棉花变为蓝色

氧化性:Cl2>Br2>I2

C.

白色固体先变为淡黄色,后变为黑色(Ag2S)

Ksp:AgCl>AgBr>Ag2S

D.

锥形瓶中有气体产生,烧杯中液体变浑浊

非金属性:S>C>Si

试题详情>>

10.设NA为阿伏加德罗常数,下列说法中正确的是

A.标准状况下,密度为d g/L的某气体纯净物一个分子的质量为g

B.常温常压下,17g甲基(―14CH3)所含的中子数为9NA

C.25℃时,1 L pH=13的NaOH溶液中含有NA个氢氧根离子

试题详情>>

D.4.6 g Na在空气中完全反应生成Na2O、Na2O2,转移0.2NA个电子

试题详情>>

11.25℃时,下列各溶液中有关物质的量浓度关系正确的是

试题详情>>

A.0.1mol・L-1的NaHA溶液,其pH=4:c(HA-)>c(H+)>c(H2A)>c(A2-)

B.Na2CO3溶液中:2c(Na) =c(CO32)+c(HCO3) +c(H2CO3)

C.NH4HSO4溶液中滴加NaOH至溶液恰好呈中性:

c(Na)>c(SO42) >c(NH4) >c(OH) =c(H)

D.pH相同的CH3COONa溶液、C6H5ONa溶液、Na2CO3溶液、NaOH溶液:

c(CH3COONa)>c(Na2CO3) >c(C6H5ONa ) >c(NaOH)

试题详情>>

12.新鲜水果、蔬菜、果汁中富含的维生素C具有明显的抗衰老作用,但易被空气氧化。某课外小组利用碘滴定法测某橙汁中维生素C的含量,用淀粉溶液作指示剂,其化学方程式为:

试题详情>>

6ec8aac122bd4f6e

下列说法正确的是

A.上述反应为氧化反应              B.维生素C的分子式为C6H5O6

    C.滴定时碘溶液盛放在碱式滴定管中        D.终点时溶液由蓝色恰好变无色

试题详情>>

13.下列离子方程式的书写正确的是

A.实验室用浓盐酸与MnO2反应制Cl2

MnO2 +4HCl(浓) Cl2↑+Mn2 +2Cl+2H2O

试题详情>>

B.将标准状况下1.12 L氯气通入10 mL 1 mol / L的溴化亚铁溶液中: 

     2Fe2+4Br+3Cl2 =2Fe3+6Cl+2Br2

C.向NaOH溶液中滴加同浓度的少量Ca(HCO3)2溶液:

Ca2++ HCO3- +OH- =CaCO3↓+H2O

D.向Ba(OH)2溶液中逐滴加入NH4HSO4溶液至刚好沉淀完全:

Ba2++2OH-+H++ SO42- + NH4+ =BaSO4↓+ NH3・H2O +H2O

试题详情>>

14.一定质量的Fe2O3、ZnO、CuO的固体混合粉末,在加热条件下用足量CO还原,得到金属混合物4.82g,将生成的CO2气体用足量的澄清石灰水吸收后,产生l0g白色沉淀。若用2mol・L-1的盐酸溶解该混合物,至少需要盐酸的体积为

    A.50 mL            B.100 mL       C.200 mL       D.缺少数据,无法计算

试题详情>>

15.某研究性学习小组将一定浓度Na2CO3溶液滴入CuSO4溶液中得到蓝色沉淀。 

甲同学认为沉淀可能是CuCO3

乙同学认为沉淀可能是Cu(OH)2

丙同学认为沉淀可能是CuCO3和Cu(OH)2的混合物。(查阅资料知:CuCO3和Cu(OH)2均不带结晶水)

Ⅰ.(1)乙同学的观点,你认为其原理是    ▲   

(2)在探究沉淀成分前,须将沉淀从溶液中过滤、洗涤、低温干燥,检验沉淀是否洗涤干净的方法是    ▲   

Ⅱ.请用下图所示装置,选择必要的试剂,定性探究生成物的成分。

试题详情>>

6ec8aac122bd4f6e

(3)B装置中试剂的化学式是    ▲       , C装置中试剂的名称是      ▲      

(4)能证明乙同学观点正确的实验现象是      ▲        

(5) 若丙同学的观点正确,用上述装置通过B、C中质量的增加来定量测定沉淀的组成,请你说说该装置主要存在的缺点     ▲    (至少二点)

试题详情>>

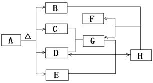
16.(8分)下图是无机物A~H在一定条件下的转化关系(部分反应中参加反应的水未列出)。其中,A是一种带有结晶水的正盐,B是形成酸雨的主要物质,G是一种常见的二元强酸,E是一种红棕色粉末。

试题详情>>

6ec8aac122bd4f6e

请填写下列空白:

(1)简述B形成的酸雨对环境的危害    ▲         ▲     (至少二点);

(2)配制F的溶液时要加     ▲     

(3)写出B+H→F+G的离子方程式     ▲    

(4)若A分解产生的B、C、D、E的质量比为16∶20∶63∶40,则A的化学式为  ▲

试题详情>>

17.(10分)如下图所示,在一定温度下,在一个容积为4L的密闭容器中,左室加入X molSO3,右室加入2 molSO2和1 molO2,中间是个可移动的隔板,在少量催化剂存在下分别发生反应:   

试题详情>>

6ec8aac122bd4f6e

左室:2SO3(g) 2SO2(g) + O2(g)   右室:2SO2(g) + O2(g) 2SO3(g)  △H=-197kJ/mol

回答下列问题:

(1) 能说明反应达到平衡的是     ▲    

A、隔板不再移动                    B、左右二室SO2和O2物质的量之比相等

C、左右两边SO2的物质的量相等      D、左右二边SO3的体积分数相等

试题详情>>

(2) 当X=0.5时,平衡后右室SO2的体积分数为a;X=1时,平衡后右室SO2的体积分数为b,则a和b的关系是    ▲   

   A、a>b            B、a=b          C、a<b          D、无法确定

(3) 若平衡时隔板在中央,则X=    ▲   , 左室吸收的热量为Q1 kJ,右室放出的热量为Q2 kJ,则Q1、Q间满足的关系是   ▲   

试题详情>>

(4) 若将隔板固定在中央,且X=1,达平衡时右室的压强是起始时的0.7倍,则左室反应的平衡常数K=    ▲   

五、(本题包括1小题,共10分)

试题详情>>

18.铬(Cr)属于重金属元素,含铬废水和废渣排放必须经过处理达到有关的安全标准。

(1)含铬废水排放到河水中一定浓度会使鱼类等水生动物死亡的原因是   ▲   

(2)铬元素以Cr2O72-离子的形式存在于酸性废水中,常用FeSO4将其还原为Cr3+离子,再用沉淀法进行分离。

试题详情>>

已知: 6ec8aac122bd4f6e

① FeSO4还原Cr2O72-的离子方程式为     ▲    

② Cr2 (SO4) 3溶液中加入过量NaOH浓溶液,反应的离子方程式为     ▲    

③ 沉淀法分离废水中的Cr3+离子,pH应控制在     ▲     范围内。

试题详情>>

6ec8aac122bd4f6e(3)铬冶炼工业的废渣粉碎后掺入煤矸石经过高温处理可以制砖,为了探究其中的铬元素在使用过程中是否会重新污染环境,研究组在一定条件下浸溶砖样,检测浸出液中Cr元素浓度,结果如图:

     

                               说明:1――用蒸馏水浸溶,      2――用稀硫酸浸溶,

3――冻融后用蒸馏水浸溶,4――曝晒后用蒸馏水浸溶;

3%等――制砖时含铬废渣掺入的比例。

已知我国规定“固体废弃物浸出标准值含铬不得超过10 mg・L1”。分析图表,可得出多个结论:

① 实验取用的砖样符合上述标准;

② 还能得出的其它结论是(写出2条即可)    ▲         ▲   

六、(本题包括1小题,共12分)

试题详情>>

19.奶油中含有一种用做香料的有机化合物A,该有机化合物只含有C、H、O三种元素,分子中C、H原子个数比为1:2,其相对分子质量为88,A的结构式中含有碳氧双键。与A相关的反应如下图:

试题详情>>

6ec8aac122bd4f6e

 

(1)写出反应②的反应类型:    ▲   

(2)写出A、C、F的结构简式:A    ▲    ;C    ▲    ;F    ▲   

(3)请写出同时符合下列条件的A的所有的同分异构体的结构简式:

     ①链状化合物;②不能与H2发生加成反应;③不能发生银镜反应。

              ▲   

(4)写出反应③的化学方程式:     ▲    

(5)在空气中长时间搅拌奶油,A可转化为相对分子质量为86的化合物G,G的一氯代物只有一种,写出G的结构简式:     ▲    

 

 

七、(本题包括1小题,共10分)

 

试题详情>>

20.取m g铁粉与含有0.8molHNO3的稀硝酸反应反应后硝酸和铁均无剩余,且硝酸的还原产物只有NO。

(1)若反应后的溶液中滴加KSCN溶液不变红色,则m=    ▲   

试题详情>>

6ec8aac122bd4f6e(2)若将铁粉慢慢加入到稀硝酸中,并搅拌,反应过程中溶液里Fe3+、Fe2+、NO3三种离子中的某离子的物质的量的变化曲线如图所示,则该曲线表示的是_ ▲ _物质的量变化,请你在此图中再画出另外2种离子的物质的量的变化曲线并注明离子种类。

 

试题详情>>

(3)在(2)反应后的溶液中加入含0.1molH2SO4的稀硫酸,计算还能产生的气体的体积(标况下)。

 

八、(本题包括1小题,共12分)

试题详情>>

21.材料(选修三课本第44页实验2-2):向盛有硫酸铜水溶液的试管里加入氨水,首先形成难溶物,继续加氨水,难溶物溶解,得到深蓝色的透明溶液;若加入极性较小的溶剂(如乙醇),将析出深蓝色的晶体。

Ⅰ.在化学实验和科学研究中,水是一种最常用的溶剂。水是生命之源,它与我们的生活密切相关。

(1)写出与H2O分子互为等电子体的微粒     ▲      (填2种)。

(2)水分子在特定条件下容易得到一个H,形成水合氢离子(H3O)。下列对上述过程的描述不合理的是     ▲     

     A.氧原子的杂化类型发生了改变          B.微粒的形状发生了改变

     C.微粒的化学性质发生了改变            D.微粒中的键角发生了改变

(3)下列是钠、碘、金刚石、干冰、氯化钠晶体的晶胞图(未按顺序排序)。与冰的晶体类型相同的是     ▲      (请用相应的编号填写)。

试题详情>>

6ec8aac122bd4f6e6ec8aac122bd4f6e

Ⅱ.胆矾晶体是配制波尔多液的主要原料,波尔多液是一种保护性杀菌剂,广泛应用于树木、果树和花卉上。

(4)写出铜原子价电子层的电子排布式     ▲      ,与铜同一周期的副族元素的基态原子中最外层电子数与铜原子相同的元素有     ▲      (填元素符号)。

(5)实验时形成的深蓝色溶液中的阳离子内存在的全部化学键类型有     ▲     

(6)实验过程中加入C2H5OH后可观察到析出深蓝色Cu(NH3)4SO4・H2O晶体。实验中所加C2H5OH的作用是     ▲     

 

 

 

 

 

 

 

 

(西亭中学高三备课组命题   通州教研室审定)

 

 

 

 

 

 

 

试题详情>>
关闭