1.2007年11月以来,各地不断出现大规模柴油紧缺现象,部分加油站甚至“闭门谢客”,继“油荒”之后,“电荒”不断。石油资源的短缺制约着多个行业的发展。针对这一现象,某学习小组提出如下方案,你认为不够科学合理的是     (     )

A.采用电解水法制取无污染的氢能

B.完善煤液化制汽油的技术

C.进一步提高石油加工工艺

D.发展混合动力汽车、燃气汽车、醇类燃料汽车、燃料电池汽车、太阳能汽车等清洁汽车,达到节约和替代石油工程的目的

试题详情>>

2.居室装修用石材的放射性常用226 88Ra作为标准,居里夫人(Marie Curie)因对Ra元素的研究两度获得诺贝尔奖,下列叙述中正确的是

A.Ra元素位于元素周期表中第六周期ⅡA族

B.一个226 88Ra原子中含有138个中子

C.RaCl2的熔点比CaCl2

D.Ra(OH)2是一种两性氢氧化物

试题详情>>

3.学习化学时会遇到一些与“相等”有关的规律,下列有关“相等”的说法中正确的是

  A.溶液稀释前后,溶质的质量一定相等    

B.中和反应中参加反应的酸和碱的质量一定相等

  C.微粒中的质子总数和电子总数一定相等 

D.物质发生化学变化前后,分子的总数一定相等

试题详情>>

4.下图是Zn和Cu形成的原电池,某实验兴趣小组做完试验后,在读书卡片上记录如下:

试题详情>>

在卡片上,描述合理的是                                      (      )

A.①②③         B. ④⑤⑥      C. ②③④      D. ③④⑤

试题详情>>

5.关于元素周期表和元素周期律的下列说法正确的是                (     )

A.目前发现的所有元素占据了周期表的全部位置,不可能再有新的元素被发现

B.元素的性质随着原子序数的增加而呈周期性变化

C.俄国化学家道尔顿为元素周期表的建立做出了巨大贡献

D.同一主族的元素从上到下,金属性呈周期性变化

试题详情>>

6.下图是分离乙酸乙酯、乙酸和乙醇混合物的实验操作流程图

试题详情>>

上述试验过程中,所涉及的三次分离操作分别是                    (     )

A.①蒸馏②过滤③分液   B.①分液②蒸馏③蒸馏

C.①蒸馏②分液③分液   D.①分液②蒸馏③结晶、过滤

 

试题详情>>

7.下列画有横线的物质,在反应中不能被完全消耗的是              (     )

A.将含有少量H2O(g)的H2通入盛有足量Na2O2容器中并不断用电火花点燃

B.将1molCu置于2molH2SO4的浓硫酸中加热

C.在一定条件下3体积H2和3体积Cl2在光照下反应

D.在强光持续照射下,向过量的Ca(ClO)2溶液中通入少量的CO2

 

试题详情>>

8.将某些化学知识用数轴表示,可以收到直观、简明、易于记忆理解的效果。用数轴表示的下列知识正确的是                          (    )

试题详情>>

9.分类方法在化学学科的发展中起到了非常重要的作用。下列分类标准合理的是

①根据酸分子中含有的氢原子数将酸分为一元酸、二元酸等 ②根据反应中是否有电子转移将化学反应分为氧化还原反应和非氧化还原反应 ③根据分散系是否具有丁达尔现象将分散系分为溶液、胶体和浊液 ④根据反应中的热效应将化学反应分为放热反应和吸热反应 

A.①③     B.②④   C.①②④    D.②③④

试题详情>>

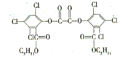
其发光原理是利用H2O2氧化草酸二酯产生

能量,该能量被传递给荧光物质后发出荧光,

草酸二酯(CPPO)结构简式如右图所示:

下列有关说法不正确的是:    (     )

A.草酸二酯属于芳香族化合物

B.草酸二酯的分子式为C26H23O8Cl6

C.草酸二酯难溶于水

D.1mol草酸二酯最多可与4molNaOH反应

试题详情>>

11.对下列各种溶液中所含离子的判断合理的是    (    )

  A.向无色溶液中加氯水变橙色,溶液巾可能含:SO42-、Br-、OH-、Ba2+

  B.在c(H+)=10-14mol/L的溶液中可能含:Na+、AlO2-、CO32-、SO32-

  C.某溶液,加铝粉有氢气放出,则溶液中可能含:K+、Na+、H+、NO3-

  D.使紫色石蕊试液变红色的溶液中可能含:K+、Na+、Ba2+、HCO3-

 

试题详情>>

12.F2和Xe在一定条件下可生成氧化性极强且极易水解的XeF2、XeF4和XeF6三种化合物。如XeF4与水可发生如下反应:6XeF4+12H2O==2XeO3+4Xe↑+24HF+3O2↑。

下列判断中正确的是 

  A.XeF2分子中各原子均达到八电子结构

B.XeF6分子中Xe的化合价为+6价

C.上述反应中氧化剂和还原剂的物质的量之比为1∶2

D.XeF4按已知方式水解,每生成4molXe,转移12mol电子

 

试题详情>>

13.下列A~D四组,每组有两个反应,其中两个反应可用同一个离子方程式表示的是(    )

 

(I)

(Ⅱ)

A

少量SO2通人Ba(OH)2溶液

过量SO2通入少量Ba(OH)2溶液

B

少量浓氨水滴入Al2(SO4)3溶液

少量Al2(SO4)3溶液滴入浓氨水

C

试题详情>>

0.1molCl2通人含0.2molFeBr2的溶液

试题详情>>

0.3molCl2通入0.2mol FeBr2溶液中

D

过量BaCl2溶液与少量Na2SO3溶液相混合

少量Ba(NO3)2溶液与过量MgSO4溶液相混合

 

试题详情>>

14.下列化学反应的离子方程式正确的是

  A.向Ba(OH)2溶液中滴加NH4HSO4。溶液至刚好沉淀完全:

    Ba2+2OH+NH4+H+SO42=BaSO4↓+NH3・H2O+H2O

  B.苯酚钠溶液通入二氧化碳气体:2C6H5O+CO2+H2O=2C6H5OH十CO32

  C.将少量SO2气体通入足量的NaClO溶液中:SO2+2ClO+H2O=SO32+2HClO

  D.稀硝酸中加入过量的铁屑:3Fe+8H+2NO3=3Fe2+2NO↑+4H2O

 

试题详情>>

15.实验是研究化学的基础,下图中所示的实验方法、装置或操作正确的是 (      )

试题详情>>

            A               B                   C             D

试题详情>>

16.可逆反应2SO2(g)+O2(g)2SO3(g) △H<0在一定条件下达到平衡状态,时间为t1时改变条件。化学反应速率与反应时间关系如图。下列说法中正确的是

A.维持温度、反应体系体积不变,t1时充入SO3(g)

B.维持压强不变,t1时升高反应体系温度

C.维持温度不变,t1时扩大反应体系体积

D.维持温度、压强不变,t1时充入SO3(g)

 

试题详情>>

17.向含 l mol HCl和l mol MgSO4的混合溶液中加入1 mol/L Ba(OH)2溶液,产生沉淀的物质的量(n)与加入Ba(OH)2溶液体积(V)间的关系图正确的是      (     )

试题详情>>

 

 

 

 

 

试题详情>>

18.有BaCl2和NaCl的混合溶液aL,将它均分成两份。一份滴加稀硫酸,使Ba2+离子完全沉淀;另一份滴加AgNO3溶液,使Cl离子完全沉淀。反应中消耗xmol H2SO4、ymol AgNO3。据此得知原混合溶液中的c(Na+)/ mol・L-1

A.(y-2x)/a       B.(y-x)/a        C.(2y-2x)/a        D.(2y-4x)/a

 

题号

1

2

3

4

5

6

7

8

9

答案

A

B

A

D

B

B

B

C

B

题号

10

11

12

13

14

15

16

17

18

答案

BD

B

BC

B

AD

CD

D

D

D

 

 

试题详情>>
关闭