1.(2008年江苏卷.物理.2)207年度诺贝尔物理学奖授予了法国和德国的两位科学家,以表彰他们发现“巨磁电阻效应”.基于巨磁电阻效应开发的用于读取硬盘数据的技术,被认为是纳米技术的第一次真正应用.在下列有关其它电阻应用的说法中。错误的是

  A.热敏电阻可应用于温度测控装置中   B.光敏电阻是一种光电传感器

  C.电阻丝可应用于电热设备中    D.电阻在电路中主要起到通过直流、阻碍交流的作用。

 

试题详情>>

2.(2008年宁夏卷.理综.15)一个T型电路如图1所示,电路中的电.另有一测试电源,电动势为100V,内阻忽略不计。则

试题详情>>

  A.当cd端短路时,ab之间的等效电阻是40

试题详情>>

B. 当ab端短路时,cd之间的等效电阻是40

  C. 当ab两端接通测试电源时, cd两端的电压为80 V

  D. 当cd两端接通测试电源时, ab两端的电压为80 V            图1

 

试题详情>>

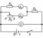
3.(2008年 广东卷.物理.7)电动势为E、内阻为r的电源与定值电阻R1、R2及滑动变阻器R连接成如图2所示的电路。当滑动变阻器的触头由中点滑向b端时,下列说法正确的是(      )

A.电压表和电流表读数都增大

试题详情>>

B.电压表和电流表读数都减小

C.电压表读数增大,电流表读数减小

D.电压表读数减小,电流表读数增大     

 

图2

试题详情>>

4.(2007年广东基础卷.物理.15)用电压表检查图3电路中的故障,测得Uad=5.0V,Ued=0V,Ube=0V,Uab=5.0V,则此故障可能是(  )

A.L断路      B.R断路      C.R′断路      D.S断路                             图3

 

试题详情>>

5.(2008年江苏卷.物理.4)在如图4所示的逻辑电路中,当A端输入电信号”1”、B端输入电信号”0”时,则在C和D端输出的电信号分别为

 A.1和0    B.0和1     C.1和l    D.0和0                         图4

 

试题详情>>

6.(2008年北京卷.理综.23)风能将成为21世纪大规模开发的一种可再生清洁能源。风力发电机是将风能(气流的功能)转化为电能的装置,其主要部件包括风轮机、齿轮箱,发电机等。如图5所示.(1)利用总电阻的线路向外输送风力发电机产生的电能。输送功率,输电电压,求异线上损失的功率与输送功率的比值;

试题详情>>

(2)风轮机叶片旋转所扫过的面积为风力发电机可接受风能的面积。  

设空气密度为p,气流速度为v,风轮机叶片长度为r。求单位时间内流向风轮机的最大风能Pm;在风速和叶片数确定的情况下,要提高风轮机单位时间接受的风能,简述可采取的措施。

(3)已知风力发电机的输出电功率P与Pm成正比。某风力发电机的风速v19m/s时能够输出电功率P1=540kW。            

图5

我国某地区风速不低于v2=6m/s的时间每年约为5000小时,试估算这台风力发电机在该地区的最小年发电量是多少千瓦时。

 

试题详情>>

7.(2008年宁夏卷.理综.22)图6为一正在测量中的多用电表表盘.

试题详情>>

(1)如果是用×10档测量电阻,则读数为             

试题详情>>

(2)如果是用直流10 mA档测量电流,则读数为             mA。

   (3)如果是用直流5 V档测量电压,则读数为               V。

                                                                                            图6

试题详情>>

8.(32008年山东卷.理综.23)2007年诺贝尔物理学奖授予了两位发现“巨磁电阻”效应的物理学家。材料的电阻随磁场的增加而增大的现象称为磁阻效应,利用这种效应可以测量磁感应强度。若图7为某磁敏电阻在室温下的电阻--磁感应强度特性曲线,      

图7

其中RBRO分别表示有、无磁敏电阻的阻值。为了测量磁感应强度B,需先测量磁敏电阻处于磁场中的电阻值RB。请按要求完成下列实验。                                     

试题详情>>

(1)设计一个可以测量磁场中该磁敏电阻阻值的电路,在图8的虚线框内画出实验电路原理图(磁敏电阻及所处磁场已给出,待测磁场磁感应强度大小约为0.6~1.0T,不考虑磁场对电路其它部分的影响)。要求误差较小。

     提供的器材如下:

试题详情>>

   A.磁敏电阻,无磁场时阻值

试题详情>>

   B.滑动变阻器R,全电阻约

试题详情>>

   C.电流表,量程2.5mA,内阻约

试题详情>>

   D.电压表,量程3V,内阻约3k

   E.直流电源E,电动势3V,内阻不计                        图8

    F.开关S,导线若干

(2)正确接线后,将磁敏电阻置入待测磁场中,测量数据如下表:

 

1

2

3

4

5

6

U(V)

试题详情>>

2.71

I(mA)

试题详情>>

根据上表可求出磁敏电阻的测量值RB=          ,结合图1可知待测磁场的磁感

应强度B=           T。

试题详情>>

(3)试结合图1简要回答,磁感应强度B在0~0.2T和0.4~1.0T范围内磁敏电阻阻值的变化规律有何不同?

(4)某同学查阅相关资料时看到了图9所示的磁敏电阻在一定温度下的电阻-磁感应强度特性曲线(关于纵轴对称),由图线可以得到什么结论?                                图9

 

试题详情>>

9.(2008年广卷.物理.15)某实验小组探究一种热敏电阻的温度特性.现在器材:直流恒流电源(在正常工作状态下输出的电流恒定)、电压表,待测热敏电阻、保温容器、温度计、开关和导线等.

(1)若用上述器材测量热敏电阻的阻的随温度变化的特性,请你在图10的实物图上连线.

试题详情>>

(2)实验的主要步骤:         图10

①正确连接电路,在保温容器中注入适量冷水,接通电源,调节并记录电源输出的电流值;②在保温容器中添加少量热水,待温度稳定后,闭合开关,                          ,断开开关;

③重复第②步操作若干次,测得多组数据.

(3)实验小组算得该热敏电阻在不同温度下的阻值,并据此绘得图10的R-t关系图线,请根据图线写出该热敏电阻的R-t关系式:R=        +        t(Ω)(保留3位有效数

 

试题详情>>


10.(2008年上海卷.物理.18)某同学利用图11(a)所示的电路研究灯泡L1(6V,1.5W)、L2(6V,10W)的发光情况(假设灯泡电阻恒定),图11(b)为实物图。

                                      图11

(1)他分别将L1、L2接入图(a)中的虚线框位置,移动滑动变阻器的滑片P,当电压表示数为6V时,发现灯泡均能正常发光。在图(b)中用笔线代替导线将电路连线补充完整。

(2)接着他将L1和L2串联后接入图11(a)中的虚线框位置,移动滑动变阻器的滑片P,当电压表示数为6V时,发现其中一个灯泡亮而另一个灯泡不亮,出现这种现象的原因是_____________________________。

试题详情>>

现有如下器材:电源E(6V,内阻不计),灯泡L1(6V,1.5W)、L2(6V,10W),L3(6V,10W),单刀双掷开关S。在图11(c)中设计一个机动车转向灯的控制电路:当单刀双掷开关S与1相接时,信号灯L1亮,右转向灯L2亮而左转向灯L3不亮;当单刀双掷开关S与2相接时,信号灯L1亮,左转向灯L3亮而右转向灯L2不亮。

 

试题详情>>

1.(山东济南市2009届月考卷.物理.7)如图12左所示是一火警报警器的部分电路示意图,其中R2为半导体热敏材料制成的传感器,其电阻R2随温度t变化的图线如图12右所示。电流表为值班室的显示器,a、b之间接报警器。当传感器R2所在处出现火情时,显示器的电流I和报警器两端的电压U的变化情况是(    )

A.I变大,U变大

B.I变大,U变小                                    

试题详情>>

C.I变小,U变大

D.I变小,U变小          

图12

 

 

试题详情>>

2.(山东德州市2009届质量检测卷.物理.6)日常生活用的电吹风中有电动机和电热丝,电动机带动风叶转动,电热丝给空气加热,得到热风可将头发吹干。没电动机线圈的电阻为R1,它与电热丝的电阻R2相串联,接到直流电源上,电吹风机两端电压为U,通过的电流为I,消耗的电功率为P,则以下选项正确的是(     )

A.IU?P     B.IU=P     C.P? I2(R1+R2)  D.P=I2(R1+R2

 

试题详情>>

3.(广东省中山一中2008―2009学年第一学期高三第一次统测试卷.物理.9)如图13所示电路中,将三个同样规格的灯泡接入电路中,当将滑动变阻器上的滑动头从开始的中点位置向右移动时,三个灯泡消耗功率的变化情况是(    )

A.L1减小             B.L2增大

C.L2减小             D.L3增大                                 图13

 

试题详情>>

4.(海南省海南中学2009届高三月考卷.物理.10)如图14所示的电路,将两个相同的电流表分别改装成A1(0―3A)和A2(0―0.6A)的电流表,把两个电流表并联接入电路中测量电流强度,则下列说法正确的是(     )

A.A1的指针半偏时,A2的指针也半偏

B.A1的指针还没半偏时,A2的指针已经半偏

试题详情>>

C.A1的读数为1A时,A2的读数为0.6A

试题详情>>

D.A1的读数为1A时,干路的电流I为1.2A                        图14

 

试题详情>>

5.(江苏省启东中学2008―2009学年度第一学期月考卷.物理.3)如图15所示,某自动控制车间的技术人员设计了一个简单的报警器电路图,满足下列哪个条件,该报警器将发出报警声(    )

试题详情>>

学科网(Zxxk.Com)A.S1断开,S2闭合       B.S1闭合,S2断开

C.S1、S2都断开         D.S1、S2都闭合

 

 

                                                              图15

 

试题详情>>

6.(广东侨中高三第二次月考卷.物理.12)如图19所示,电路中的电阻R2是光敏电阻,其它电阻的阻值不变。 已知不受光照时,电阻R1∶R2∶R3∶R4=1∶2∶3∶4,电路两端的电压U恒定不变,且左端接电源的正极。若用光照射光敏电阻R2,且逐渐增强照射光的强度至某一值,在此过程中电容器C所带的电荷量的变化情况可能是___________,也可能是______________________。                                          

 

试题详情>>

7.(2009届江苏盐城市高三摸底试题着卷.物理.10)

(1)图20为一正在测量中的多用电表表盘。

①如果是用×10Ω挡测量电阻,则读数为______Ω。

②如果是用直流10mA挡测量电流,则读数为

_____mA。                                                     图17  

试题详情>>

(2)现有一阻值已知的定值电阻、两个开关、若干根导线和一个电压表,要求设计一个能测定某电源内阻的实验电路。(已知电压表内阻很大,电源内阻与定值电阻相差不大),画出实验电路图。

 

试题详情>>

8.(海南省民族中学2009届高三上学期月考卷.物理.15)用伏安法测定一个待测电阻Rx的阻值(阻值约为200Ω),实验室提供如下器材:

试题详情>>

电池组E   电动势3V,内阻不计

电流表A1  量程0―10mA,内阻约为40Ω-60Ω

电流表A2  量程0―500μA,内阻为1kΩ

滑动变阻器R1,阻值范围0―20Ω,额定电流2A

电阻箱R2,阻值范围0―9999Ω,额定电流1A

电键S、导线若干

  要求实验中应尽可能准确的测量Rx的阻值,请回答下面问题:       图18

上述器材中缺少电压表,需选一只电流表将它改装成电压表进行测量, 请在图18方框中画出测量Rx阻值的电路图,并在图中表明器材代号;

② 实验中将电阻箱R2的阻值调到4000Ω,再调节滑动变阻器R1,两表的示数如图19所示,可读出电流表A1的示数是________mA,电流表A2的示数是_______μA,测得待测电阻Rx的阻值是__________。

试题详情>>

 

 

 

 

 

 

试题详情>>

9.(江苏南通市2009届基础调研测试卷.物理.14)用电动势为1.5V、内阻为1.0Ω的干电池5节串联,给一个“6.0V  0.6W”的用电器供电.

(1)求该用电器的额定电流;

(2)若要使该用电器在额定电压下工作,电路中还需要串联一个阻值多大的电阻?

(提示:串联电池组的电动势等于各个电池的电动势之和;串联电池组的内阻等于各个电池内阻之和.)

 

试题详情>>

10.(江苏如皋市2009届高三一轮复习卷.物理.12)如图20所示,电源电动势E=6V,电源内阻不计.定值电阻R1=2.4kΩ、R2=4.8kΩ.

⑴ 若在ab之间接一个C=100μF的电容器,闭合开关S,

电路稳定后,求电容器上所带的电量;

试题详情>>

⑵ 若在ab之间接一个内阻RV = 4.8kΩ的电压表,求电压表的示数.

 

试题详情>>

11.(海南省海南中学2009届高三第四次月考卷.物理.18)图21中电源电动势E=12V,内电阻r=0.5Ω.将一盏额定电压为8V,额定功率为16W的灯泡与一只线圈电阻为0.5Ω的直流电动机并联后和电源相连,灯泡刚好正常发光,通电100min问:

(1)电源提供的能量是多少?

(2)电流对灯泡和电动机所做的功各是多少?                          图21

(3)灯丝和电动机线圈产生的热量各是多少?

(4)电动机的效率为多少?                                           

试题详情>>

12.(广东华南师大附中2008―2009学年高三综合测试.物理16.)如图22所示,电阻,小灯泡上标有“3V,1.5W",电源内阻,滑动变阻器的最大阻值为(大小未知),当触头滑动到最上端时;’安培表的读数为l A,小灯泡恰好正常发光,求:

试题详情>>

(1)滑动变阻器的最大阻值

试题详情>>

    (2)当触头滑动到最下端时,求电源的总功率及输出功率。     图22

 

(一)文字介绍

预测2009年高考对本考点知识的考查,多是通过对电路的分析计算、对电压、电流、电阻等物理量的测量,以考查学生对基本概念、基本定律的理解和掌握。尤其动态直流电路的分析,非纯电阻电路的分析与计算,稳态、动态阻容电路的分析与计算,故障电路的分析与判断,非线性电路的分析与求解,是今高考命题的热点。同时要关注恒定电流中联系实际、联系现代科技的问题;电学实验除掌握伏安法测电阻、测电源有电动势和内阻等基础实验外,要特别注意体现课改理念,考查基本实验方法、过程和技能的探究实验问题.

(二 )考点预测题

试题详情>>

1.在如图23所示的电路中,E为电源电动势,r为电源内阻,R1和R3均为定值电阻,R2为滑动变阻器。当R2的滑动触点在a端时合上开关S,此时三个电表A1A2和V的示数分别为I1I2和U。现将R2的滑动触点向b端移动,则三个电表示数的变化情况是(  )

A.I1增大,I2不变,U增大

B.I1减小,I2增大,U减小                                  图23

C.I1增大,I2减小,U增大

D.I1减小,I2不变,U减小              

 

试题详情>>

2.在图24中所示电路中,直流发电机E=250V,内阻,电热器组中装有50只完全相同的电热器,每只电热器规格为“200V,1000W”,其他电阻不计,不考虑电热器电阻随温度的变化.问:

试题详情>>

    (1)当接通几只电热器时,实际使用的电热器都能正常工作?

    (2)当接通几只电热器时,发电机输出功率最大?

    (3)当接通几只电热器时,电热器组加热物体最快?

试题详情>>

   (4)当接通几只电热器时,电阻上消耗的功率最大?         图24

 

试题详情>>

3.图25为某一热敏电阻(电阻值随温度的改变而改变,且对温度很敏感)的I―U关系曲线图。

在图26电路中,电源电压恒为9V,电流表读数为70mA,定值电阻R1=250Ω。由热敏电阻的                                     图25              图26

I―U关系曲线可知,热敏电阻两端的电压为        V;电阻R2的阻值为         Ω。                                   

 

试题详情>>

4. 把晶体二极管D和电阻R串联起来,连接成如图27(a)的电路,电源的电动势E=5.0V,内阻不计,二极管两端电压U与其中的电流I的关系曲线(伏安特性曲线)如图27(b),但为简单起见,可近似地看作直线,直线与横轴的交点EO=1V

试题详情>>

 (见(b)图中的虚线),即二极管上所加电压U<EO时电流为零,U>EO时,I和U为线性关系,此二极管消耗的电功率超过4.0W时将被烧坏.试问:(1)电阻R最小要多大才不致烧坏二极管?

(2)在保证不致烧坏二极管的条件下R值为多大时,输入给R的功率为最大?此功率最大值等于多少瓦?

 

试题详情>>

5.汽车电动机启动时车灯会瞬时变暗,如图28所示,在打开车灯的情况下,电动机未启动时电流表读数为10 A,电动机启动时电流表读数为58 A,若电源电动势为12.5 V,内阻为0.05 Ω,电流表内阻不计,则因电动机启动,   图28

车灯的电功率降低了(  )            

试题详情>>

A.35.8 W       B.43.2 W         C.48.2 W            D.76.8 W

 

试题详情>>

6.如图29所示,电阻R1=20Ω,电动机绕线电阻R2=10Ω,当电键S断开时,电流表的示数是I1=0.5A,当电键合上后,电动机转动起来,电路两端的电压不变,电流表的示数I和电路消耗的电功率P应是:

试题详情>>

A.I=1.5A    B.I<1.5A

C.P=15W     D.P<15W

试题详情>>

7.如图30所示,已知电源内阻不计。为使电容器的带电量增大,可采取以下那些方法:

A.增大R1    B.增大R2

C.增大R3    D.减小R1                                              图30

试题详情>>

8.如图31所示,已知R1=30Ω,R2=15Ω,R3=20Ω,AB间电压U=6V,A端为正C=2μF,为使电容器带电量达到Q =2×10- 6C,应将R4的阻值调节到多大?                

 图31

 

试题详情>>

9.在图32所示电路的三根导线中,有一根是断的,电源、电阻器R1、R2及另外两根导线都是好的,为了查出断导线,某学生想先将万用表的红表笔连接在电源的正极a,再将黑表笔分别连电阻器R1的b端和R2的c端,并观察万用表指针的示数,在下列选档中,符合操作规程的是:

试题详情>>

       A.直流10V挡.   B.直流0.5A挡.

试题详情>>

       C.直流2.5V挡.   D.欧姆挡。

试题详情>>

10.如图33所示的电路中,闭合开关,灯正常发光.由于电路出现故障,突然发现灯变亮,灯变暗,电流表的示数变小,根据分析,发生的故障可能是(   )

试题详情>>

(A)断路    (B)断路   

试题详情>>

(C)短路    (D)短路                          

 

图33               

 

试题详情>>

11.环保汽车将为2008年奥运会场馆服务。某辆以蓄电池为驱动能源的环保汽车,总质量。当它在水平路面上以v=36km/h的速度匀速行驶时,驱动电机的输入电流I=50A,电压U=300V。在此行驶状态下

试题详情>>

(1)求驱动电机的输入功率

(2)若驱动电机能够将输入功率的90%转化为用于牵引汽车前进的机械功率P,求汽车所受阻力与车重的比值(g取10m/s2);

(3)设想改用太阳能电池给该车供电,其他条件不变,求所需的太阳能电池板的最小面积。

试题详情>>

已知太阳辐射的总功率,太阳到地球的距离,太阳光传播到达地面的过程中大约有30%的能量损耗,该车所用太阳能电池的能量转化效率约为15%。

 

试题详情>>

12.家用电热灭蚊器电热部分的主要器件是PCT元件,PCT元件是由钛酸钡等导体材料制成的电阻器,其电阻率ρ与温度t的关系如图34所示.由于这种特性,PCT元件具有发热、控温双重功能.对此,以下判断中正确的是(  )

A.通电后,其电功率先增大后减小

B.通电后,其电功率先减小后增大

C.当其产生的热量与散发的热量相等时,温度保持在t1或t2不变

D.当其产生的热量与散发的热量相等时,温度保持在t1至t2间的某一值不变                                                                 图34

 

试题详情>>

13.电热毯、电饭锅等是人们常用的电热式家用电器,他们一般具有加热和保温功能,其工作原理大致相同。图35①为某种电热式电器的简化电路图,主要远件有电阻丝R1、R2和自动开关S。

   (1)当自动开关 S闭合和断开时,用电器 分别处于什么状态?

试题详情>>

(2)用电器由照明电路供电(U=220V ),设加热时用电器的电功率为400W,保温时用电器的电动功率为40W,则R1和R2分虽为多大?                                          

 

图35

(3)若将图①中的自动开关S换成理想的晶体二极管D,如图35②所示,其它条件不变,求该用电器工作1小时消耗的电能。

 

试题详情>>

14.如图36所示是一种悬球式加速度仪,它可以用来测定沿水平轨道运动的列车的加速度,m是一个金属球,它系在金属丝的下端,金属丝的上端悬挂在O点,AB是一根长为l的电阻丝,其阻值为R。金属丝与电阻丝接触良好,摩擦不计,电阻丝的中点C焊接一根导线。从O点引出一根导线,两线之间

接入一个电压表V(金属丝和导线电阻不计),图中虚

线OC与AB相垂直,且OC=h,电阻丝AB接在电压

为U的直流稳压电源上,整个装置固定在列车中使A

B沿着车前进的方向,列车静止时金属丝呈竖直方向,                图36

从电压表的读数变化可以测出加速度的大小。

   (1)当列车向右做匀加速运动时,试写出加速度a与电压表读数U的对应关系,以便重新刻制电压表表面使它成为直读加速度数值的加速度计。

   (2)为什么C点设置在电阻丝AB的中间?对电压表的选择应有什么特殊要求?                                          图36

  

试题详情>>

15. 用以下器材测量一待测电阻的阻值。器材(代号)与规格如下:

电流表A1(量程250mA,内阻r1为5Ω);

标准电流表A2(量程300mA,内阻r2约为5Ω);

待测电阻R1(阻值约为100Ω),滑动变阻器R2(最大阻值10Ω);

试题详情>>

电源E(电动势约为10V,内阻约为1Ω),单刀单掷开关S,导线若干。

(1)要求方法简捷,并能测多组数据,画出实验电路原理图,并标明每个器材的代号。

(2)实验中,需要直接测量的物理量是         ,用测的量表示待测电阻R1的阻值的计算公式是R1=        。两端的电压为

 

试题详情>>

16.测量电源B的电动势E及内阻r(E约为4.5V,r约为1.5Ω)

试题详情>>

器材:量程3V的理想电压表V,量程0.5A的电流表A(具有一定内阻),固定电阻R=4Ω,滑线变阻器R′,电键K,导线若干.

①     画出实验电路原理图.图中各元件需用题目中给出的符号或字母标出.

②     实验中,当电流表读数为I1时,电压表读数为U1;当电流表读数为I2时,电压表读数为U2.则可以求出E=__________________,r=____________________.(用I1、I2、U1、U2及R表示)

 

试题详情>>

17.一直流电压表,量程为1 V,内阻为1000Ω。现将一阻值为5000~7000Ω之间的固定电阻R1与此电压表串联,以扩大电压表的量程。为求得扩大后量程的准确值,再给定一直流电源(电动势E为6~7 V,内阻可忽略不计),一阻值R2=2000Ω的固定电阻,两个单刀开关S1、S2及若干导线。

(1)为达到上述目的,将图37连成一个完整的实验电路图。            

                                                                    图37

试题详情>>

(2)连线完成以后,当S1与S2均闭合时,电压表的示数为0.90 V;当S1闭合,S2断开时,电压表的示数为0.70 V。由此可以计算出改装后电压表的量程为   V,电源电动势为    V。                          

 

试题详情>>
关闭