1.己知全集高考资源网(www.1010jiajiao.com),中国最大的高考网站,您身边的高考专家。高考资源网(www.1010jiajiao.com),中国最大的高考网站,您身边的高考专家。高考资源网(www.1010jiajiao.com),中国最大的高考网站,您身边的高考专家。高考资源网(www.1010jiajiao.com),中国最大的高考网站,您身边的高考专家。         (       )

试题详情>>

A.高考资源网(www.1010jiajiao.com),中国最大的高考网站,您身边的高考专家。             B.高考资源网(www.1010jiajiao.com),中国最大的高考网站,您身边的高考专家。          C.高考资源网(www.1010jiajiao.com),中国最大的高考网站,您身边的高考专家。         D. 高考资源网(www.1010jiajiao.com),中国最大的高考网站,您身边的高考专家。

试题详情>>

2、高考资源网(www.1010jiajiao.com),中国最大的高考网站,您身边的高考专家。高考资源网(www.1010jiajiao.com),中国最大的高考网站,您身边的高考专家。的                                              (       )

       A.充分而不必要条件      B.必要不而充分条件

       C.充要条件          D.既不充分也不必要条件

试题详情>>

3、已知高考资源网(www.1010jiajiao.com),中国最大的高考网站,您身边的高考专家。高考资源网(www.1010jiajiao.com),中国最大的高考网站,您身边的高考专家。等于                            (       )

试题详情>>

       A.高考资源网(www.1010jiajiao.com),中国最大的高考网站,您身边的高考专家。    B.高考资源网(www.1010jiajiao.com),中国最大的高考网站,您身边的高考专家。    C.高考资源网(www.1010jiajiao.com),中国最大的高考网站,您身边的高考专家。    D.高考资源网(www.1010jiajiao.com),中国最大的高考网站,您身边的高考专家。

试题详情>>

4、已知复数z=1-i,则高考资源网(www.1010jiajiao.com),中国最大的高考网站,您身边的高考专家。=                                           (       )

A.2i        B.-2i                 C.2           D.-2

试题详情>>

5.已知等差数列高考资源网(www.1010jiajiao.com),中国最大的高考网站,您身边的高考专家。中,高考资源网(www.1010jiajiao.com),中国最大的高考网站,您身边的高考专家。,则高考资源网(www.1010jiajiao.com),中国最大的高考网站,您身边的高考专家。的值是                                   (       )

       A.15                     B.30                      C.31                     D.64

试题详情>>

6.下列命题错误的是                                                     (       )

试题详情>>

高考资源网(www.1010jiajiao.com),中国最大的高考网站,您身边的高考专家。(A)高考资源网(www.1010jiajiao.com),中国最大的高考网站,您身边的高考专家。R,高考资源网(www.1010jiajiao.com),中国最大的高考网站,您身边的高考专家。

试题详情>>

(B)高考资源网(www.1010jiajiao.com),中国最大的高考网站,您身边的高考专家。R,高考资源网(www.1010jiajiao.com),中国最大的高考网站,您身边的高考专家。

试题详情>>

(C)高考资源网(www.1010jiajiao.com),中国最大的高考网站,您身边的高考专家。高考资源网(www.1010jiajiao.com),中国最大的高考网站,您身边的高考专家。

试题详情>>

(D)高考资源网(www.1010jiajiao.com),中国最大的高考网站,您身边的高考专家。R+高考资源网(www.1010jiajiao.com),中国最大的高考网站,您身边的高考专家。R,高考资源网(www.1010jiajiao.com),中国最大的高考网站,您身边的高考专家。

试题详情>>

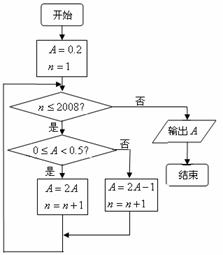
7、已知某程序框图如图所示,则该程序运行后

输出的结果为               (        )

试题详情>>

A.高考资源网(www.1010jiajiao.com),中国最大的高考网站,您身边的高考专家。               B.高考资源网(www.1010jiajiao.com),中国最大的高考网站,您身边的高考专家。     

试题详情>>

C.高考资源网(www.1010jiajiao.com),中国最大的高考网站,您身边的高考专家。               D.高考资源网(www.1010jiajiao.com),中国最大的高考网站,您身边的高考专家。

试题详情>>

8、已知m、n是不重合的直线,α、β是不重合的平面,有下列命题:

试题详情>>

①若m高考资源网(www.1010jiajiao.com),中国最大的高考网站,您身边的高考专家。α,n∥α,则m∥n;

②若m∥α,m∥β,则α∥β;

③若α∩β=n,m∥n,则m∥α且m∥β;

④若m⊥α,m⊥β,则α∥β.

其中真命题的个数是                                                                                         (       )

       A.0                 B.1                  C.2                 D.3

试题详情>>

9.高考资源网(www.1010jiajiao.com),中国最大的高考网站,您身边的高考专家。 直线高考资源网(www.1010jiajiao.com),中国最大的高考网站,您身边的高考专家。过定点(1,1),则高考资源网(www.1010jiajiao.com),中国最大的高考网站,您身边的高考专家。的最小值是      (       )

A.4                   B.8                  C.9                 D.10

试题详情>>

高考资源网(www.1010jiajiao.com),中国最大的高考网站,您身边的高考专家。10.如图,过抛物线y2=2px(p>0)的焦点F的直线L交抛物线于点A、B,交其准线于点C,

若|BC|=2|BF|,且|AF|=3,则此抛物线的方程为                             (      )

试题详情>>

    A.y2=高考资源网(www.1010jiajiao.com),中国最大的高考网站,您身边的高考专家。x         B.y2=3x

试题详情>>

    C.y2=高考资源网(www.1010jiajiao.com),中国最大的高考网站,您身边的高考专家。x         D.y2=9x

 

 

 

 

试题详情>>

高考资源网(www.1010jiajiao.com),中国最大的高考网站,您身边的高考专家。11、为了解一片经济林的生长情况,随机测量了其中100

株树木的底部周长(单位:cm)。根据所得数据画出样本

的频率分布直方图(如右图),那么在这100株树木中,底

部周长小于110cm的株数是    

试题详情>>

12、已知m为非零实数。若函数高考资源网(www.1010jiajiao.com),中国最大的高考网站,您身边的高考专家。的图像

关于原点对称,则m=________。

试题详情>>

13、已知高考资源网(www.1010jiajiao.com),中国最大的高考网站,您身边的高考专家。高考资源网(www.1010jiajiao.com),中国最大的高考网站,您身边的高考专家。的三个内角高考资源网(www.1010jiajiao.com),中国最大的高考网站,您身边的高考专家。的对边,

试题详情>>

向量高考资源网(www.1010jiajiao.com),中国最大的高考网站,您身边的高考专家。高考资源网(www.1010jiajiao.com),中国最大的高考网站,您身边的高考专家。.若高考资源网(www.1010jiajiao.com),中国最大的高考网站,您身边的高考专家。,且高考资源网(www.1010jiajiao.com),中国最大的高考网站,您身边的高考专家。,则角高考资源网(www.1010jiajiao.com),中国最大的高考网站,您身边的高考专家。    

试题详情>>

14、已知函数高考资源网(www.1010jiajiao.com),中国最大的高考网站,您身边的高考专家。 高考资源网(www.1010jiajiao.com),中国最大的高考网站,您身边的高考专家。  则不等式高考资源网(www.1010jiajiao.com),中国最大的高考网站,您身边的高考专家。的解集为____________。

试题详情>>

高考资源网(www.1010jiajiao.com),中国最大的高考网站,您身边的高考专家。15、在直角坐标系中,若不等式组高考资源网(www.1010jiajiao.com),中国最大的高考网站,您身边的高考专家。表示一个三角形区域,

则实数k的取值范围是_________________。

试题详情>>

16、已知正四面体棱长为高考资源网(www.1010jiajiao.com),中国最大的高考网站,您身边的高考专家。,则它的外接球表面积为_____________。

试题详情>>

17、已知:高考资源网(www.1010jiajiao.com),中国最大的高考网站,您身边的高考专家。,直线高考资源网(www.1010jiajiao.com),中国最大的高考网站,您身边的高考专家。和曲线高考资源网(www.1010jiajiao.com),中国最大的高考网站,您身边的高考专家。有两个不同的交点,它们围成的平面区域为M,向区域高考资源网(www.1010jiajiao.com),中国最大的高考网站,您身边的高考专家。上随机投一点A,点A落在区域M内的概率为高考资源网(www.1010jiajiao.com),中国最大的高考网站,您身边的高考专家。,若高考资源网(www.1010jiajiao.com),中国最大的高考网站,您身边的高考专家。,则高考资源网(www.1010jiajiao.com),中国最大的高考网站,您身边的高考专家。的取值范围为_____________。

试题详情>>

18、(本题14分)已知函数高考资源网(www.1010jiajiao.com),中国最大的高考网站,您身边的高考专家。(其中高考资源网(www.1010jiajiao.com),中国最大的高考网站,您身边的高考专家。),高考资源网(www.1010jiajiao.com),中国最大的高考网站,您身边的高考专家。.若函数高考资源网(www.1010jiajiao.com),中国最大的高考网站,您身边的高考专家。的图像与x轴的任意两个相邻交点间的距离为高考资源网(www.1010jiajiao.com),中国最大的高考网站,您身边的高考专家。,且直线高考资源网(www.1010jiajiao.com),中国最大的高考网站,您身边的高考专家。是函数高考资源网(www.1010jiajiao.com),中国最大的高考网站,您身边的高考专家。图像的一条对称轴.

试题详情>>

  (1)求高考资源网(www.1010jiajiao.com),中国最大的高考网站,您身边的高考专家。的表达式.

试题详情>>

  (2)求函数高考资源网(www.1010jiajiao.com),中国最大的高考网站,您身边的高考专家。的单调递增区间.

 

试题详情>>

19、(本题14分)已知等比数列{高考资源网(www.1010jiajiao.com),中国最大的高考网站,您身边的高考专家。}中, 高考资源网(www.1010jiajiao.com),中国最大的高考网站,您身边的高考专家。高考资源网(www.1010jiajiao.com),中国最大的高考网站,您身边的高考专家。高考资源网(www.1010jiajiao.com),中国最大的高考网站,您身边的高考专家。高考资源网(www.1010jiajiao.com),中国最大的高考网站,您身边的高考专家。的等差中项。

试题详情>>

(Ⅰ)求数列{高考资源网(www.1010jiajiao.com),中国最大的高考网站,您身边的高考专家。}的通项公式;

试题详情>>

(Ⅱ)记高考资源网(www.1010jiajiao.com),中国最大的高考网站,您身边的高考专家。,求数列{高考资源网(www.1010jiajiao.com),中国最大的高考网站,您身边的高考专家。}的前n项和高考资源网(www.1010jiajiao.com),中国最大的高考网站,您身边的高考专家。

 

试题详情>>

高考资源网(www.1010jiajiao.com),中国最大的高考网站,您身边的高考专家。20. (本题14分)如图,在矩形高考资源网(www.1010jiajiao.com),中国最大的高考网站,您身边的高考专家。中,高考资源网(www.1010jiajiao.com),中国最大的高考网站,您身边的高考专家。,高考资源网(www.1010jiajiao.com),中国最大的高考网站,您身边的高考专家。, 高考资源网(www.1010jiajiao.com),中国最大的高考网站,您身边的高考专家。高考资源网(www.1010jiajiao.com),中国最大的高考网站,您身边的高考专家。的中点。将高考资源网(www.1010jiajiao.com),中国最大的高考网站,您身边的高考专家。

试题详情>>

折起,使平面高考资源网(www.1010jiajiao.com),中国最大的高考网站,您身边的高考专家。平面高考资源网(www.1010jiajiao.com),中国最大的高考网站,您身边的高考专家。得到几何体高考资源网(www.1010jiajiao.com),中国最大的高考网站,您身边的高考专家。-高考资源网(www.1010jiajiao.com),中国最大的高考网站,您身边的高考专家。

试题详情>>

(Ⅰ)求证:高考资源网(www.1010jiajiao.com),中国最大的高考网站,您身边的高考专家。

试题详情>>

(Ⅱ) 求高考资源网(www.1010jiajiao.com),中国最大的高考网站,您身边的高考专家。与平面高考资源网(www.1010jiajiao.com),中国最大的高考网站,您身边的高考专家。所成角的正切值。

试题详情>>

高考资源网(www.1010jiajiao.com),中国最大的高考网站,您身边的高考专家。
 

 

 

 

 

试题详情>>

21、(本题15分)知实数高考资源网(www.1010jiajiao.com),中国最大的高考网站,您身边的高考专家。,函数高考资源网(www.1010jiajiao.com),中国最大的高考网站,您身边的高考专家。

试题详情>>

(Ⅰ)若函数高考资源网(www.1010jiajiao.com),中国最大的高考网站,您身边的高考专家。有极大值高考资源网(www.1010jiajiao.com),中国最大的高考网站,您身边的高考专家。,求实数高考资源网(www.1010jiajiao.com),中国最大的高考网站,您身边的高考专家。的值;

试题详情>>

(Ⅱ)若对高考资源网(www.1010jiajiao.com),中国最大的高考网站,您身边的高考专家。,不等式高考资源网(www.1010jiajiao.com),中国最大的高考网站,您身边的高考专家。恒成立,求实数高考资源网(www.1010jiajiao.com),中国最大的高考网站,您身边的高考专家。的取值范围.

 

 

 

试题详情>>

22、(本题15分)设抛物线高考资源网(www.1010jiajiao.com),中国最大的高考网站,您身边的高考专家。的焦点为高考资源网(www.1010jiajiao.com),中国最大的高考网站,您身边的高考专家。,经过点高考资源网(www.1010jiajiao.com),中国最大的高考网站,您身边的高考专家。的直线交抛物线于

试题详情>>

高考资源网(www.1010jiajiao.com),中国最大的高考网站,您身边的高考专家。高考资源网(www.1010jiajiao.com),中国最大的高考网站,您身边的高考专家。高考资源网(www.1010jiajiao.com),中国最大的高考网站,您身边的高考专家。两点,高考资源网(www.1010jiajiao.com),中国最大的高考网站,您身边的高考专家。是抛物线的准线上的一点,

试题详情>>

高考资源网(www.1010jiajiao.com),中国最大的高考网站,您身边的高考专家。是坐标原点,若直线高考资源网(www.1010jiajiao.com),中国最大的高考网站,您身边的高考专家。的斜率分别记为高考资源网(www.1010jiajiao.com),中国最大的高考网站,您身边的高考专家。,(如图)

试题详情>>

高考资源网(www.1010jiajiao.com),中国最大的高考网站,您身边的高考专家。(1)若高考资源网(www.1010jiajiao.com),中国最大的高考网站,您身边的高考专家。,求抛物线的方程;

试题详情>>

(2)当高考资源网(www.1010jiajiao.com),中国最大的高考网站,您身边的高考专家。时,求证:高考资源网(www.1010jiajiao.com),中国最大的高考网站,您身边的高考专家。为定值。

 

 

 

 

 

 

 

 

 

 

 

 

 

 

 

 

 

 

 

 

 

 

 

 

 

 

 

 

 

 

 

 

 

 

 

 

 

 

 

 

 

 

 

 

试题详情>>
关闭